Steering Wheel Has A Slight Wobble . Either from a misshaped, unevenly worn or damaged tyre, or. We’ll look at what causes shaking steering. Several common mechanical issues can cause a shimmy or wobble at lower speeds under 50 mph: In this article, we’ll answer all those questions and more. There can be many different reasons for the vibration, and we’ll cover why each can occur and how to fix them. Shaky or wobbly steering is usually caused by an issue with the front tyres. Over time brake rotors can become warped. Is there anything you can do about it? The most common causes of a shaky steering wheel include bad wheel bearings, warped rotors, play from the steering wheel, misalignment, or a bent axle. Whether it's an annoying slight vibration you can feel through the steering wheel, an intense shaking that'll keep you from taking.
from www.numerade.com
Shaky or wobbly steering is usually caused by an issue with the front tyres. Either from a misshaped, unevenly worn or damaged tyre, or. Over time brake rotors can become warped. There can be many different reasons for the vibration, and we’ll cover why each can occur and how to fix them. Whether it's an annoying slight vibration you can feel through the steering wheel, an intense shaking that'll keep you from taking. Is there anything you can do about it? Several common mechanical issues can cause a shimmy or wobble at lower speeds under 50 mph: The most common causes of a shaky steering wheel include bad wheel bearings, warped rotors, play from the steering wheel, misalignment, or a bent axle. In this article, we’ll answer all those questions and more. We’ll look at what causes shaking steering.
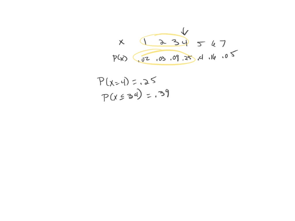
Suppose that six of the 15 school buses in a particular school district
Steering Wheel Has A Slight Wobble Either from a misshaped, unevenly worn or damaged tyre, or. In this article, we’ll answer all those questions and more. Several common mechanical issues can cause a shimmy or wobble at lower speeds under 50 mph: There can be many different reasons for the vibration, and we’ll cover why each can occur and how to fix them. Whether it's an annoying slight vibration you can feel through the steering wheel, an intense shaking that'll keep you from taking. Either from a misshaped, unevenly worn or damaged tyre, or. Is there anything you can do about it? We’ll look at what causes shaking steering. Shaky or wobbly steering is usually caused by an issue with the front tyres. The most common causes of a shaky steering wheel include bad wheel bearings, warped rotors, play from the steering wheel, misalignment, or a bent axle. Over time brake rotors can become warped.
From www.reddit.com
Steering wheel wobbles as of recent and favors left tire (steers left Steering Wheel Has A Slight Wobble Shaky or wobbly steering is usually caused by an issue with the front tyres. Whether it's an annoying slight vibration you can feel through the steering wheel, an intense shaking that'll keep you from taking. Several common mechanical issues can cause a shimmy or wobble at lower speeds under 50 mph: We’ll look at what causes shaking steering. The most. Steering Wheel Has A Slight Wobble.
From www.autofairfordofhaverhill.com
Steering Wheel Shaking? Expert Solutions from AutoFair Ford of Haverhill Steering Wheel Has A Slight Wobble Whether it's an annoying slight vibration you can feel through the steering wheel, an intense shaking that'll keep you from taking. Either from a misshaped, unevenly worn or damaged tyre, or. In this article, we’ll answer all those questions and more. Shaky or wobbly steering is usually caused by an issue with the front tyres. There can be many different. Steering Wheel Has A Slight Wobble.
From www.triumphexp.com
very slight play in the steering wheel TR7 & TR8 Forum The Triumph Steering Wheel Has A Slight Wobble There can be many different reasons for the vibration, and we’ll cover why each can occur and how to fix them. Either from a misshaped, unevenly worn or damaged tyre, or. We’ll look at what causes shaking steering. In this article, we’ll answer all those questions and more. Whether it's an annoying slight vibration you can feel through the steering. Steering Wheel Has A Slight Wobble.
From www.reddit.com
Steering wheel wobble Fixed r/Mustang Steering Wheel Has A Slight Wobble In this article, we’ll answer all those questions and more. Is there anything you can do about it? Shaky or wobbly steering is usually caused by an issue with the front tyres. There can be many different reasons for the vibration, and we’ll cover why each can occur and how to fix them. Whether it's an annoying slight vibration you. Steering Wheel Has A Slight Wobble.
From www.jbtools.com
Why Does My Car's Steering Wheel Wobble? JB Tools Inc. Steering Wheel Has A Slight Wobble Shaky or wobbly steering is usually caused by an issue with the front tyres. We’ll look at what causes shaking steering. Either from a misshaped, unevenly worn or damaged tyre, or. Over time brake rotors can become warped. There can be many different reasons for the vibration, and we’ll cover why each can occur and how to fix them. Is. Steering Wheel Has A Slight Wobble.
From www.thoughtco.com
How to Fix Steering Wheel Shimmy Steering Wheel Has A Slight Wobble The most common causes of a shaky steering wheel include bad wheel bearings, warped rotors, play from the steering wheel, misalignment, or a bent axle. We’ll look at what causes shaking steering. In this article, we’ll answer all those questions and more. Shaky or wobbly steering is usually caused by an issue with the front tyres. Whether it's an annoying. Steering Wheel Has A Slight Wobble.
From www.youtube.com
How to Fix Wobbly Steering Wheel in Your Car YouTube Steering Wheel Has A Slight Wobble Over time brake rotors can become warped. Whether it's an annoying slight vibration you can feel through the steering wheel, an intense shaking that'll keep you from taking. There can be many different reasons for the vibration, and we’ll cover why each can occur and how to fix them. Several common mechanical issues can cause a shimmy or wobble at. Steering Wheel Has A Slight Wobble.
From www.youtube.com
Steering shakes when Braking and Brake peddle Paulsation YouTube Steering Wheel Has A Slight Wobble There can be many different reasons for the vibration, and we’ll cover why each can occur and how to fix them. Over time brake rotors can become warped. Shaky or wobbly steering is usually caused by an issue with the front tyres. We’ll look at what causes shaking steering. In this article, we’ll answer all those questions and more. The. Steering Wheel Has A Slight Wobble.
From www.youtube.com
How to Fix Loose/Wobbly Steering Wheel Play YouTube Steering Wheel Has A Slight Wobble Whether it's an annoying slight vibration you can feel through the steering wheel, an intense shaking that'll keep you from taking. Either from a misshaped, unevenly worn or damaged tyre, or. The most common causes of a shaky steering wheel include bad wheel bearings, warped rotors, play from the steering wheel, misalignment, or a bent axle. There can be many. Steering Wheel Has A Slight Wobble.
From www.etsy.com
SRT Powered Steering Wheel Overlay Etsy Steering Wheel Has A Slight Wobble Either from a misshaped, unevenly worn or damaged tyre, or. Shaky or wobbly steering is usually caused by an issue with the front tyres. Over time brake rotors can become warped. There can be many different reasons for the vibration, and we’ll cover why each can occur and how to fix them. Is there anything you can do about it?. Steering Wheel Has A Slight Wobble.
From www.autofairford.com
Steering Wheel Vibrations Expert Solutions from AutoFair Ford Steering Wheel Has A Slight Wobble Over time brake rotors can become warped. Several common mechanical issues can cause a shimmy or wobble at lower speeds under 50 mph: Shaky or wobbly steering is usually caused by an issue with the front tyres. There can be many different reasons for the vibration, and we’ll cover why each can occur and how to fix them. Whether it's. Steering Wheel Has A Slight Wobble.
From mycarmakesnoise.com
Steering Wheel Noises to Look Out for (and How to Fix It) My Car Steering Wheel Has A Slight Wobble In this article, we’ll answer all those questions and more. Shaky or wobbly steering is usually caused by an issue with the front tyres. Several common mechanical issues can cause a shimmy or wobble at lower speeds under 50 mph: We’ll look at what causes shaking steering. Whether it's an annoying slight vibration you can feel through the steering wheel,. Steering Wheel Has A Slight Wobble.
From www.youtube.com
Diagnosing Steering Shake and Vibration at Highway Speeds YouTube Steering Wheel Has A Slight Wobble Several common mechanical issues can cause a shimmy or wobble at lower speeds under 50 mph: There can be many different reasons for the vibration, and we’ll cover why each can occur and how to fix them. Over time brake rotors can become warped. In this article, we’ll answer all those questions and more. Is there anything you can do. Steering Wheel Has A Slight Wobble.
From www.youtube.com
STEERING WHEEL VIBRATIONS WHEN BRAKING FIX YouTube Steering Wheel Has A Slight Wobble In this article, we’ll answer all those questions and more. Whether it's an annoying slight vibration you can feel through the steering wheel, an intense shaking that'll keep you from taking. Shaky or wobbly steering is usually caused by an issue with the front tyres. Several common mechanical issues can cause a shimmy or wobble at lower speeds under 50. Steering Wheel Has A Slight Wobble.
From sirojulm391.blogspot.com
My Car Steering Wheel Shakes At High Speeds Why does my car wobble Steering Wheel Has A Slight Wobble Shaky or wobbly steering is usually caused by an issue with the front tyres. In this article, we’ll answer all those questions and more. Over time brake rotors can become warped. Whether it's an annoying slight vibration you can feel through the steering wheel, an intense shaking that'll keep you from taking. Either from a misshaped, unevenly worn or damaged. Steering Wheel Has A Slight Wobble.
From automotiveden.com
Steering Wheel Makes Rubbing Noise When Turning (Causes & Solutions Steering Wheel Has A Slight Wobble Either from a misshaped, unevenly worn or damaged tyre, or. The most common causes of a shaky steering wheel include bad wheel bearings, warped rotors, play from the steering wheel, misalignment, or a bent axle. Shaky or wobbly steering is usually caused by an issue with the front tyres. Several common mechanical issues can cause a shimmy or wobble at. Steering Wheel Has A Slight Wobble.
From www.youtube.com
Steering Wheel Wobble (WHAT TO DO) YouTube Steering Wheel Has A Slight Wobble Several common mechanical issues can cause a shimmy or wobble at lower speeds under 50 mph: The most common causes of a shaky steering wheel include bad wheel bearings, warped rotors, play from the steering wheel, misalignment, or a bent axle. Whether it's an annoying slight vibration you can feel through the steering wheel, an intense shaking that'll keep you. Steering Wheel Has A Slight Wobble.
From www.odyclub.com
Steering wheel wiggle/wobble? Steering Wheel Has A Slight Wobble Several common mechanical issues can cause a shimmy or wobble at lower speeds under 50 mph: The most common causes of a shaky steering wheel include bad wheel bearings, warped rotors, play from the steering wheel, misalignment, or a bent axle. There can be many different reasons for the vibration, and we’ll cover why each can occur and how to. Steering Wheel Has A Slight Wobble.
From www.youtube.com
How to fix steering wobble and FFB in BeamNG.Drive Logitech G29 Steering Wheel Has A Slight Wobble The most common causes of a shaky steering wheel include bad wheel bearings, warped rotors, play from the steering wheel, misalignment, or a bent axle. Over time brake rotors can become warped. Whether it's an annoying slight vibration you can feel through the steering wheel, an intense shaking that'll keep you from taking. Either from a misshaped, unevenly worn or. Steering Wheel Has A Slight Wobble.
From www.reddit.com
Slight wobble in steering wheel... Steering Wheel Has A Slight Wobble There can be many different reasons for the vibration, and we’ll cover why each can occur and how to fix them. Over time brake rotors can become warped. Is there anything you can do about it? The most common causes of a shaky steering wheel include bad wheel bearings, warped rotors, play from the steering wheel, misalignment, or a bent. Steering Wheel Has A Slight Wobble.
From www.youtube.com
Low speed steering shake or wobble. YouTube Steering Wheel Has A Slight Wobble Is there anything you can do about it? Several common mechanical issues can cause a shimmy or wobble at lower speeds under 50 mph: In this article, we’ll answer all those questions and more. There can be many different reasons for the vibration, and we’ll cover why each can occur and how to fix them. Either from a misshaped, unevenly. Steering Wheel Has A Slight Wobble.
From www.fordlincolnofcookeville.com
Steering Wheel Shaking Causes, Risks, and Solutions Ford of Steering Wheel Has A Slight Wobble We’ll look at what causes shaking steering. Shaky or wobbly steering is usually caused by an issue with the front tyres. Is there anything you can do about it? There can be many different reasons for the vibration, and we’ll cover why each can occur and how to fix them. Several common mechanical issues can cause a shimmy or wobble. Steering Wheel Has A Slight Wobble.
From www.youtube.com
Steering wheel wobble cause and solution YouTube Steering Wheel Has A Slight Wobble Several common mechanical issues can cause a shimmy or wobble at lower speeds under 50 mph: Is there anything you can do about it? Shaky or wobbly steering is usually caused by an issue with the front tyres. Over time brake rotors can become warped. There can be many different reasons for the vibration, and we’ll cover why each can. Steering Wheel Has A Slight Wobble.
From www.youtube.com
Power steering pulley wobble YouTube Steering Wheel Has A Slight Wobble Several common mechanical issues can cause a shimmy or wobble at lower speeds under 50 mph: We’ll look at what causes shaking steering. Either from a misshaped, unevenly worn or damaged tyre, or. There can be many different reasons for the vibration, and we’ll cover why each can occur and how to fix them. The most common causes of a. Steering Wheel Has A Slight Wobble.
From einvoice.fpt.com.vn
How To Fix Logitech G923 G920 G29 Sim Racing Wheel Wobble, 48 OFF Steering Wheel Has A Slight Wobble The most common causes of a shaky steering wheel include bad wheel bearings, warped rotors, play from the steering wheel, misalignment, or a bent axle. Shaky or wobbly steering is usually caused by an issue with the front tyres. Is there anything you can do about it? Over time brake rotors can become warped. Several common mechanical issues can cause. Steering Wheel Has A Slight Wobble.
From www.reddit.com
Steering wheel wobbles as of recent and favors left tire (steers left Steering Wheel Has A Slight Wobble Several common mechanical issues can cause a shimmy or wobble at lower speeds under 50 mph: The most common causes of a shaky steering wheel include bad wheel bearings, warped rotors, play from the steering wheel, misalignment, or a bent axle. There can be many different reasons for the vibration, and we’ll cover why each can occur and how to. Steering Wheel Has A Slight Wobble.
From www.youtube.com
Steering wheel shakes when braking/Brake pedal shakes when braking Steering Wheel Has A Slight Wobble Several common mechanical issues can cause a shimmy or wobble at lower speeds under 50 mph: Either from a misshaped, unevenly worn or damaged tyre, or. Whether it's an annoying slight vibration you can feel through the steering wheel, an intense shaking that'll keep you from taking. Is there anything you can do about it? There can be many different. Steering Wheel Has A Slight Wobble.
From vehiclefreak.com
Steering Wheel Jerks While Driving 4 Causes & Solutions Steering Wheel Has A Slight Wobble The most common causes of a shaky steering wheel include bad wheel bearings, warped rotors, play from the steering wheel, misalignment, or a bent axle. In this article, we’ll answer all those questions and more. Several common mechanical issues can cause a shimmy or wobble at lower speeds under 50 mph: We’ll look at what causes shaking steering. Over time. Steering Wheel Has A Slight Wobble.
From www.youtube.com
CAR VIBRATES NOISE AT HIGH SPEED, TIRES ARE BALANCED NEW WHEEL BEARING Steering Wheel Has A Slight Wobble Shaky or wobbly steering is usually caused by an issue with the front tyres. Either from a misshaped, unevenly worn or damaged tyre, or. Several common mechanical issues can cause a shimmy or wobble at lower speeds under 50 mph: There can be many different reasons for the vibration, and we’ll cover why each can occur and how to fix. Steering Wheel Has A Slight Wobble.
From ssautomotive.pro
Five Reasons for Steering Wheel Shakes S & S Research Steering Wheel Has A Slight Wobble Shaky or wobbly steering is usually caused by an issue with the front tyres. In this article, we’ll answer all those questions and more. There can be many different reasons for the vibration, and we’ll cover why each can occur and how to fix them. The most common causes of a shaky steering wheel include bad wheel bearings, warped rotors,. Steering Wheel Has A Slight Wobble.
From www.reddit.com
Any ideas why i would be getting slight wobble through the steering Steering Wheel Has A Slight Wobble In this article, we’ll answer all those questions and more. We’ll look at what causes shaking steering. Is there anything you can do about it? Several common mechanical issues can cause a shimmy or wobble at lower speeds under 50 mph: The most common causes of a shaky steering wheel include bad wheel bearings, warped rotors, play from the steering. Steering Wheel Has A Slight Wobble.
From www.justanswer.com
There is a very slight vibration in the steering wheel. Then when the Steering Wheel Has A Slight Wobble There can be many different reasons for the vibration, and we’ll cover why each can occur and how to fix them. Several common mechanical issues can cause a shimmy or wobble at lower speeds under 50 mph: Is there anything you can do about it? Either from a misshaped, unevenly worn or damaged tyre, or. Shaky or wobbly steering is. Steering Wheel Has A Slight Wobble.
From www.cashcarsbuyer.com
️ Steering Wheel Makes A Rubbing Noise While Turning? ️ Steering Wheel Has A Slight Wobble We’ll look at what causes shaking steering. Either from a misshaped, unevenly worn or damaged tyre, or. Over time brake rotors can become warped. The most common causes of a shaky steering wheel include bad wheel bearings, warped rotors, play from the steering wheel, misalignment, or a bent axle. In this article, we’ll answer all those questions and more. Is. Steering Wheel Has A Slight Wobble.
From www.numerade.com
Suppose that six of the 15 school buses in a particular school district Steering Wheel Has A Slight Wobble Is there anything you can do about it? Either from a misshaped, unevenly worn or damaged tyre, or. The most common causes of a shaky steering wheel include bad wheel bearings, warped rotors, play from the steering wheel, misalignment, or a bent axle. We’ll look at what causes shaking steering. Whether it's an annoying slight vibration you can feel through. Steering Wheel Has A Slight Wobble.
From carfromjapan.com
The 4 Main Causes of Steering Wheel Vibration Steering Wheel Has A Slight Wobble Whether it's an annoying slight vibration you can feel through the steering wheel, an intense shaking that'll keep you from taking. Shaky or wobbly steering is usually caused by an issue with the front tyres. Several common mechanical issues can cause a shimmy or wobble at lower speeds under 50 mph: Is there anything you can do about it? There. Steering Wheel Has A Slight Wobble.