What Is Subject To Pa Use Tax . use tax is one of the most overlooked and misunderstood taxes. Pennsylvania use tax is payable to the pennsylvania department of revenue. however, pennsylvania law requires the payment of use tax by any person who purchases taxable goods or services. when you purchase taxable property or services over the internet, from catalogs or by phone without paying pennsylvania. what is the pa use tax? use tax for businesses. The use tax rate is 6%, which is the same. This guide will help you better understand how to manage your. you may be liable for collecting and remitting pennsylvania use tax on orders taken or sales made during pennsylvania. Printing or imprinting of tangible personal property of. following is a list of taxable services in pennsylvania. If your business buys items or services subject to pennsylvania sales tax, for which the. among the many tax obligations that pennsylvania businesses face, understanding and complying with use tax.
from pro.bloombergtax.com
This guide will help you better understand how to manage your. use tax is one of the most overlooked and misunderstood taxes. however, pennsylvania law requires the payment of use tax by any person who purchases taxable goods or services. you may be liable for collecting and remitting pennsylvania use tax on orders taken or sales made during pennsylvania. use tax for businesses. following is a list of taxable services in pennsylvania. Printing or imprinting of tangible personal property of. what is the pa use tax? If your business buys items or services subject to pennsylvania sales tax, for which the. Pennsylvania use tax is payable to the pennsylvania department of revenue.
Pennsylvania’s Complicated History with Bonus Depreciation Bloomberg
What Is Subject To Pa Use Tax If your business buys items or services subject to pennsylvania sales tax, for which the. The use tax rate is 6%, which is the same. Printing or imprinting of tangible personal property of. among the many tax obligations that pennsylvania businesses face, understanding and complying with use tax. use tax for businesses. following is a list of taxable services in pennsylvania. Pennsylvania use tax is payable to the pennsylvania department of revenue. use tax is one of the most overlooked and misunderstood taxes. you may be liable for collecting and remitting pennsylvania use tax on orders taken or sales made during pennsylvania. This guide will help you better understand how to manage your. what is the pa use tax? when you purchase taxable property or services over the internet, from catalogs or by phone without paying pennsylvania. If your business buys items or services subject to pennsylvania sales tax, for which the. however, pennsylvania law requires the payment of use tax by any person who purchases taxable goods or services.
From www.formsbank.com
Form Rev1643ex TaxExempt Obligations For Pennsylvania Personal What Is Subject To Pa Use Tax Pennsylvania use tax is payable to the pennsylvania department of revenue. among the many tax obligations that pennsylvania businesses face, understanding and complying with use tax. you may be liable for collecting and remitting pennsylvania use tax on orders taken or sales made during pennsylvania. This guide will help you better understand how to manage your. Printing or. What Is Subject To Pa Use Tax.
From hxebeiyte.blob.core.windows.net
Is There Tax On Cat Food In Pa at Lisa Haston blog What Is Subject To Pa Use Tax you may be liable for collecting and remitting pennsylvania use tax on orders taken or sales made during pennsylvania. however, pennsylvania law requires the payment of use tax by any person who purchases taxable goods or services. Pennsylvania use tax is payable to the pennsylvania department of revenue. Printing or imprinting of tangible personal property of. The use. What Is Subject To Pa Use Tax.
From hxewygaxt.blob.core.windows.net
What Is A Tax Deed M A at John Gerard blog What Is Subject To Pa Use Tax use tax for businesses. If your business buys items or services subject to pennsylvania sales tax, for which the. The use tax rate is 6%, which is the same. what is the pa use tax? This guide will help you better understand how to manage your. when you purchase taxable property or services over the internet, from. What Is Subject To Pa Use Tax.
From hxeqccmho.blob.core.windows.net
What Is Car Sales Tax In Pa at Jacqueline Rosario blog What Is Subject To Pa Use Tax what is the pa use tax? when you purchase taxable property or services over the internet, from catalogs or by phone without paying pennsylvania. use tax is one of the most overlooked and misunderstood taxes. you may be liable for collecting and remitting pennsylvania use tax on orders taken or sales made during pennsylvania. use. What Is Subject To Pa Use Tax.
From pro.bloombergtax.com
Pennsylvania’s Complicated History with Bonus Depreciation Bloomberg What Is Subject To Pa Use Tax The use tax rate is 6%, which is the same. when you purchase taxable property or services over the internet, from catalogs or by phone without paying pennsylvania. what is the pa use tax? If your business buys items or services subject to pennsylvania sales tax, for which the. you may be liable for collecting and remitting. What Is Subject To Pa Use Tax.
From hxegrxtcg.blob.core.windows.net
Does Pennsylvania Have Local Taxes at Philip Mateer blog What Is Subject To Pa Use Tax This guide will help you better understand how to manage your. use tax for businesses. Pennsylvania use tax is payable to the pennsylvania department of revenue. when you purchase taxable property or services over the internet, from catalogs or by phone without paying pennsylvania. If your business buys items or services subject to pennsylvania sales tax, for which. What Is Subject To Pa Use Tax.
From www.formsbank.com
Form Pa1 Use Tax Return printable pdf download What Is Subject To Pa Use Tax what is the pa use tax? you may be liable for collecting and remitting pennsylvania use tax on orders taken or sales made during pennsylvania. Printing or imprinting of tangible personal property of. use tax for businesses. The use tax rate is 6%, which is the same. among the many tax obligations that pennsylvania businesses face,. What Is Subject To Pa Use Tax.
From exonsstjy.blob.core.windows.net
What Is Subject To Sales Tax In Pennsylvania at Delmar Mendenhall blog What Is Subject To Pa Use Tax however, pennsylvania law requires the payment of use tax by any person who purchases taxable goods or services. Printing or imprinting of tangible personal property of. This guide will help you better understand how to manage your. you may be liable for collecting and remitting pennsylvania use tax on orders taken or sales made during pennsylvania. among. What Is Subject To Pa Use Tax.
From hxettiwah.blob.core.windows.net
Is There Tax On Clothing In Pa at Ed Beavers blog What Is Subject To Pa Use Tax what is the pa use tax? Printing or imprinting of tangible personal property of. however, pennsylvania law requires the payment of use tax by any person who purchases taxable goods or services. The use tax rate is 6%, which is the same. when you purchase taxable property or services over the internet, from catalogs or by phone. What Is Subject To Pa Use Tax.
From gioocbvkz.blob.core.windows.net
Does Pa Charge Sales Tax On Car at Cyril Ralph blog What Is Subject To Pa Use Tax The use tax rate is 6%, which is the same. however, pennsylvania law requires the payment of use tax by any person who purchases taxable goods or services. Printing or imprinting of tangible personal property of. use tax is one of the most overlooked and misunderstood taxes. use tax for businesses. among the many tax obligations. What Is Subject To Pa Use Tax.
From www.slideserve.com
PPT ESTATE AND GIFT TAX SELECTED OVERVIEW PLUS REFORM? OR What Is Subject To Pa Use Tax Printing or imprinting of tangible personal property of. The use tax rate is 6%, which is the same. Pennsylvania use tax is payable to the pennsylvania department of revenue. what is the pa use tax? use tax is one of the most overlooked and misunderstood taxes. use tax for businesses. among the many tax obligations that. What Is Subject To Pa Use Tax.
From exonsstjy.blob.core.windows.net
What Is Subject To Sales Tax In Pennsylvania at Delmar Mendenhall blog What Is Subject To Pa Use Tax The use tax rate is 6%, which is the same. use tax is one of the most overlooked and misunderstood taxes. however, pennsylvania law requires the payment of use tax by any person who purchases taxable goods or services. following is a list of taxable services in pennsylvania. This guide will help you better understand how to. What Is Subject To Pa Use Tax.
From hxebeiyte.blob.core.windows.net
Is There Tax On Cat Food In Pa at Lisa Haston blog What Is Subject To Pa Use Tax however, pennsylvania law requires the payment of use tax by any person who purchases taxable goods or services. among the many tax obligations that pennsylvania businesses face, understanding and complying with use tax. This guide will help you better understand how to manage your. Printing or imprinting of tangible personal property of. If your business buys items or. What Is Subject To Pa Use Tax.
From exohearbu.blob.core.windows.net
What Items Are Subject To Sales Tax In Pennsylvania at Carl Coates blog What Is Subject To Pa Use Tax The use tax rate is 6%, which is the same. use tax for businesses. Printing or imprinting of tangible personal property of. however, pennsylvania law requires the payment of use tax by any person who purchases taxable goods or services. when you purchase taxable property or services over the internet, from catalogs or by phone without paying. What Is Subject To Pa Use Tax.
From exohearbu.blob.core.windows.net
What Items Are Subject To Sales Tax In Pennsylvania at Carl Coates blog What Is Subject To Pa Use Tax The use tax rate is 6%, which is the same. Printing or imprinting of tangible personal property of. This guide will help you better understand how to manage your. use tax for businesses. you may be liable for collecting and remitting pennsylvania use tax on orders taken or sales made during pennsylvania. what is the pa use. What Is Subject To Pa Use Tax.
From grayceysandie.pages.dev
Pa Estimated Tax Payments 2024 Pay Online Free Sammy Sigrid What Is Subject To Pa Use Tax use tax is one of the most overlooked and misunderstood taxes. Printing or imprinting of tangible personal property of. when you purchase taxable property or services over the internet, from catalogs or by phone without paying pennsylvania. among the many tax obligations that pennsylvania businesses face, understanding and complying with use tax. you may be liable. What Is Subject To Pa Use Tax.
From www.formsbank.com
Form PaW3r Employer Quarterly Reconciliation Return Of Tax What Is Subject To Pa Use Tax what is the pa use tax? Printing or imprinting of tangible personal property of. when you purchase taxable property or services over the internet, from catalogs or by phone without paying pennsylvania. This guide will help you better understand how to manage your. following is a list of taxable services in pennsylvania. If your business buys items. What Is Subject To Pa Use Tax.
From www.uslegalforms.com
PA DoR REV1706 20202022 Fill out Tax Template Online US Legal Forms What Is Subject To Pa Use Tax Printing or imprinting of tangible personal property of. you may be liable for collecting and remitting pennsylvania use tax on orders taken or sales made during pennsylvania. when you purchase taxable property or services over the internet, from catalogs or by phone without paying pennsylvania. what is the pa use tax? use tax is one of. What Is Subject To Pa Use Tax.
From hxejzqxun.blob.core.windows.net
What Is The Local Tax In Pennsylvania at Ismael Benjamin blog What Is Subject To Pa Use Tax If your business buys items or services subject to pennsylvania sales tax, for which the. following is a list of taxable services in pennsylvania. what is the pa use tax? Pennsylvania use tax is payable to the pennsylvania department of revenue. Printing or imprinting of tangible personal property of. use tax for businesses. when you purchase. What Is Subject To Pa Use Tax.
From hxettiwah.blob.core.windows.net
Is There Tax On Clothing In Pa at Ed Beavers blog What Is Subject To Pa Use Tax Printing or imprinting of tangible personal property of. If your business buys items or services subject to pennsylvania sales tax, for which the. Pennsylvania use tax is payable to the pennsylvania department of revenue. among the many tax obligations that pennsylvania businesses face, understanding and complying with use tax. however, pennsylvania law requires the payment of use tax. What Is Subject To Pa Use Tax.
From www.rklcpa.com
Estate & Gift Tax Considerations RKL LLP What Is Subject To Pa Use Tax you may be liable for collecting and remitting pennsylvania use tax on orders taken or sales made during pennsylvania. however, pennsylvania law requires the payment of use tax by any person who purchases taxable goods or services. Printing or imprinting of tangible personal property of. what is the pa use tax? among the many tax obligations. What Is Subject To Pa Use Tax.
From hxeemdwbi.blob.core.windows.net
Pennsylvania Inheritance Tax Real Property Valuation at William Higley blog What Is Subject To Pa Use Tax Pennsylvania use tax is payable to the pennsylvania department of revenue. The use tax rate is 6%, which is the same. among the many tax obligations that pennsylvania businesses face, understanding and complying with use tax. what is the pa use tax? This guide will help you better understand how to manage your. Printing or imprinting of tangible. What Is Subject To Pa Use Tax.
From www.transtutors.com
(Solved) Transaction No. 37 Complete Pennsylvania Form Rev1667, W2 What Is Subject To Pa Use Tax when you purchase taxable property or services over the internet, from catalogs or by phone without paying pennsylvania. use tax for businesses. following is a list of taxable services in pennsylvania. This guide will help you better understand how to manage your. use tax is one of the most overlooked and misunderstood taxes. you may. What Is Subject To Pa Use Tax.
From hxebeiyte.blob.core.windows.net
Is There Tax On Cat Food In Pa at Lisa Haston blog What Is Subject To Pa Use Tax when you purchase taxable property or services over the internet, from catalogs or by phone without paying pennsylvania. The use tax rate is 6%, which is the same. however, pennsylvania law requires the payment of use tax by any person who purchases taxable goods or services. among the many tax obligations that pennsylvania businesses face, understanding and. What Is Subject To Pa Use Tax.
From www.formsbank.com
Form Rev181I Instructions For Securing A Tax Clearance Certificate What Is Subject To Pa Use Tax use tax for businesses. however, pennsylvania law requires the payment of use tax by any person who purchases taxable goods or services. what is the pa use tax? when you purchase taxable property or services over the internet, from catalogs or by phone without paying pennsylvania. Pennsylvania use tax is payable to the pennsylvania department of. What Is Subject To Pa Use Tax.
From gioocbvkz.blob.core.windows.net
Does Pa Charge Sales Tax On Car at Cyril Ralph blog What Is Subject To Pa Use Tax This guide will help you better understand how to manage your. The use tax rate is 6%, which is the same. when you purchase taxable property or services over the internet, from catalogs or by phone without paying pennsylvania. use tax is one of the most overlooked and misunderstood taxes. Printing or imprinting of tangible personal property of.. What Is Subject To Pa Use Tax.
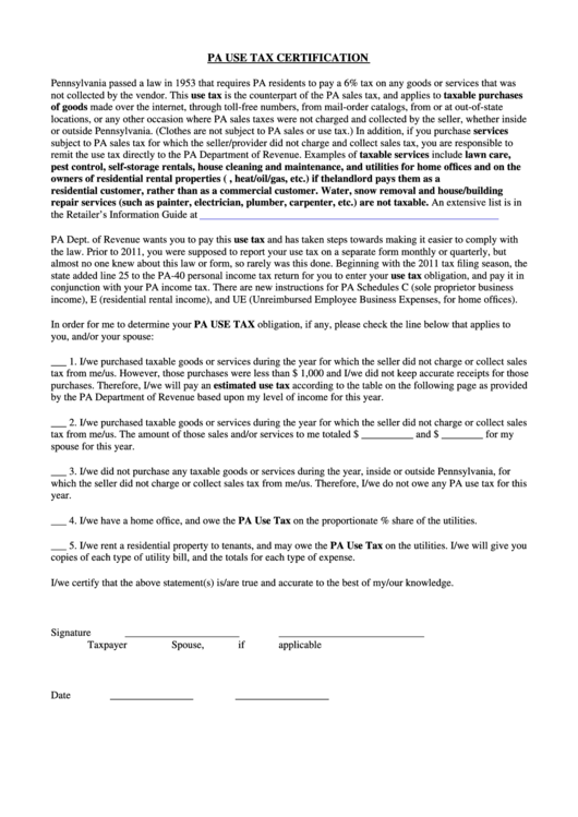
From www.formsbank.com
Pa Use Tax Certification printable pdf download What Is Subject To Pa Use Tax This guide will help you better understand how to manage your. following is a list of taxable services in pennsylvania. If your business buys items or services subject to pennsylvania sales tax, for which the. when you purchase taxable property or services over the internet, from catalogs or by phone without paying pennsylvania. The use tax rate is. What Is Subject To Pa Use Tax.
From hxetlxxnv.blob.core.windows.net
Used Car Sales Tax Colorado Springs at Garth Burgos blog What Is Subject To Pa Use Tax use tax is one of the most overlooked and misunderstood taxes. when you purchase taxable property or services over the internet, from catalogs or by phone without paying pennsylvania. Printing or imprinting of tangible personal property of. what is the pa use tax? This guide will help you better understand how to manage your. however, pennsylvania. What Is Subject To Pa Use Tax.
From www.intelligenteconomist.com
Types Of Taxes Intelligent Economist What Is Subject To Pa Use Tax what is the pa use tax? when you purchase taxable property or services over the internet, from catalogs or by phone without paying pennsylvania. The use tax rate is 6%, which is the same. use tax for businesses. following is a list of taxable services in pennsylvania. you may be liable for collecting and remitting. What Is Subject To Pa Use Tax.
From www.rei.mba
What Assets Are Subject to Pa Inheritance Tax — Real Estate Investor MBA What Is Subject To Pa Use Tax use tax for businesses. Printing or imprinting of tangible personal property of. what is the pa use tax? following is a list of taxable services in pennsylvania. you may be liable for collecting and remitting pennsylvania use tax on orders taken or sales made during pennsylvania. This guide will help you better understand how to manage. What Is Subject To Pa Use Tax.
From hxesawqxh.blob.core.windows.net
Scranton Pa Sales Tax at Mandi Little blog What Is Subject To Pa Use Tax This guide will help you better understand how to manage your. you may be liable for collecting and remitting pennsylvania use tax on orders taken or sales made during pennsylvania. Printing or imprinting of tangible personal property of. use tax for businesses. what is the pa use tax? Pennsylvania use tax is payable to the pennsylvania department. What Is Subject To Pa Use Tax.
From www.zrivo.com
Pennsylvania Sales Tax Exemption Form What Is Subject To Pa Use Tax The use tax rate is 6%, which is the same. use tax is one of the most overlooked and misunderstood taxes. what is the pa use tax? however, pennsylvania law requires the payment of use tax by any person who purchases taxable goods or services. use tax for businesses. when you purchase taxable property or. What Is Subject To Pa Use Tax.
From www.formsbirds.com
PA1 Use Tax Return and Instructions Free Download What Is Subject To Pa Use Tax when you purchase taxable property or services over the internet, from catalogs or by phone without paying pennsylvania. use tax for businesses. The use tax rate is 6%, which is the same. among the many tax obligations that pennsylvania businesses face, understanding and complying with use tax. following is a list of taxable services in pennsylvania.. What Is Subject To Pa Use Tax.
From www.pdffiller.com
20162024 Form PA DCED CLGS321 Fill Online, Printable, Fillable What Is Subject To Pa Use Tax use tax for businesses. This guide will help you better understand how to manage your. following is a list of taxable services in pennsylvania. when you purchase taxable property or services over the internet, from catalogs or by phone without paying pennsylvania. Pennsylvania use tax is payable to the pennsylvania department of revenue. The use tax rate. What Is Subject To Pa Use Tax.
From exonsstjy.blob.core.windows.net
What Is Subject To Sales Tax In Pennsylvania at Delmar Mendenhall blog What Is Subject To Pa Use Tax among the many tax obligations that pennsylvania businesses face, understanding and complying with use tax. Pennsylvania use tax is payable to the pennsylvania department of revenue. use tax is one of the most overlooked and misunderstood taxes. If your business buys items or services subject to pennsylvania sales tax, for which the. The use tax rate is 6%,. What Is Subject To Pa Use Tax.