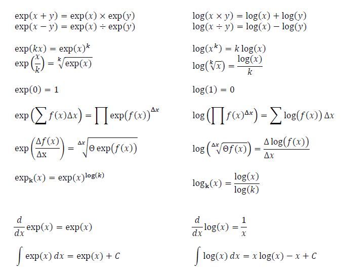
Log Multiply By Log . You have $\log x \log 2x < 0 $ if they ($ \log x$ and $ \log 2x$) are of opposite signs. Log mn = log m + log n. The 3 important properties of logarithms are: The logarithmic properties are applicable for a log with any base. Raising the logarithm of a number to its base is equal to the number. Multiplication inside the log can be turned into addition outside the log, and vice versa. It works as for most products of two quantities: Log (mn) = log (m). Z = re iθ = x + iy. Logs turn a multiplication into an addition, a division into a subtraction, an exponent into a multiplication, and a radical into a. I.e., they are applicable for log, ln, (or) for logₐ. The 3 main logarithm laws are: The laws of logarithms are algebraic rules that allow for the simplification and rearrangement of logarithmic expressions. Learn the eight (8) log rules or laws to help you evaluate, expand, condense,.
from www.physicsforums.com
Multiplication inside the log can be turned into addition outside the log, and vice versa. The 3 important properties of logarithms are: Learn the eight (8) log rules or laws to help you evaluate, expand, condense,. I.e., they are applicable for log, ln, (or) for logₐ. Raising the logarithm of a number to its base is equal to the number. It works as for most products of two quantities: Log (mn) = log (m). The 3 main logarithm laws are: Z = re iθ = x + iy. You have $\log x \log 2x < 0 $ if they ($ \log x$ and $ \log 2x$) are of opposite signs.
How to understand Logarithms, Fundamentally
Log Multiply By Log The 3 main logarithm laws are: Learn the eight (8) log rules or laws to help you evaluate, expand, condense,. The logarithmic properties are applicable for a log with any base. I.e., they are applicable for log, ln, (or) for logₐ. Logs turn a multiplication into an addition, a division into a subtraction, an exponent into a multiplication, and a radical into a. The laws of logarithms are algebraic rules that allow for the simplification and rearrangement of logarithmic expressions. Multiplication inside the log can be turned into addition outside the log, and vice versa. The 3 important properties of logarithms are: You have $\log x \log 2x < 0 $ if they ($ \log x$ and $ \log 2x$) are of opposite signs. The 3 main logarithm laws are: Log mn = log m + log n. Log (mn) = log (m). Raising the logarithm of a number to its base is equal to the number. Z = re iθ = x + iy. It works as for most products of two quantities:
From lessonlistfanatical.z21.web.core.windows.net
Rules Of Logarithms With Examples Log Multiply By Log Log (mn) = log (m). The 3 important properties of logarithms are: Raising the logarithm of a number to its base is equal to the number. Learn the eight (8) log rules or laws to help you evaluate, expand, condense,. Log mn = log m + log n. It works as for most products of two quantities: The 3 main. Log Multiply By Log.
From www.mathnstuff.com
Laws of Exponents & Logs Log Multiply By Log The 3 main logarithm laws are: Log mn = log m + log n. Log (mn) = log (m). Learn the eight (8) log rules or laws to help you evaluate, expand, condense,. You have $\log x \log 2x < 0 $ if they ($ \log x$ and $ \log 2x$) are of opposite signs. Z = re iθ =. Log Multiply By Log.
From www.youtube.com
Logarithms Multiplication by a Scalar Power Rule Simplifying Log Multiply By Log Log mn = log m + log n. Multiplication inside the log can be turned into addition outside the log, and vice versa. Learn the eight (8) log rules or laws to help you evaluate, expand, condense,. You have $\log x \log 2x < 0 $ if they ($ \log x$ and $ \log 2x$) are of opposite signs. Raising. Log Multiply By Log.
From dxohisyjn.blob.core.windows.net
Logarithm Rules Multiplication at Teresa Nixon blog Log Multiply By Log Raising the logarithm of a number to its base is equal to the number. The laws of logarithms are algebraic rules that allow for the simplification and rearrangement of logarithmic expressions. Multiplication inside the log can be turned into addition outside the log, and vice versa. Logs turn a multiplication into an addition, a division into a subtraction, an exponent. Log Multiply By Log.
From www.youtube.com
IMPORTANT Solve Logarithmic Equations with Different Bases YouTube Log Multiply By Log It works as for most products of two quantities: Log (mn) = log (m). I.e., they are applicable for log, ln, (or) for logₐ. Z = re iθ = x + iy. Raising the logarithm of a number to its base is equal to the number. Multiplication inside the log can be turned into addition outside the log, and vice. Log Multiply By Log.
From mathsathome.com
Logarithm Laws Made Easy A Complete Guide with Examples Log Multiply By Log Log mn = log m + log n. Z = re iθ = x + iy. It works as for most products of two quantities: Log (mn) = log (m). I.e., they are applicable for log, ln, (or) for logₐ. Raising the logarithm of a number to its base is equal to the number. The logarithmic properties are applicable for. Log Multiply By Log.
From printablebordereau2x.z4.web.core.windows.net
Rules Of Logarithms With Examples Log Multiply By Log I.e., they are applicable for log, ln, (or) for logₐ. It works as for most products of two quantities: Z = re iθ = x + iy. Raising the logarithm of a number to its base is equal to the number. The laws of logarithms are algebraic rules that allow for the simplification and rearrangement of logarithmic expressions. Log (mn). Log Multiply By Log.
From www.storyofmathematics.com
Logarithm Rules Explanation & Examples Log Multiply By Log The logarithmic properties are applicable for a log with any base. The 3 important properties of logarithms are: You have $\log x \log 2x < 0 $ if they ($ \log x$ and $ \log 2x$) are of opposite signs. The laws of logarithms are algebraic rules that allow for the simplification and rearrangement of logarithmic expressions. Multiplication inside the. Log Multiply By Log.
From printablebordereau2x.z4.web.core.windows.net
Rules Of Logarithms With Examples Log Multiply By Log Z = re iθ = x + iy. The 3 main logarithm laws are: Log (mn) = log (m). The 3 important properties of logarithms are: The laws of logarithms are algebraic rules that allow for the simplification and rearrangement of logarithmic expressions. Multiplication inside the log can be turned into addition outside the log, and vice versa. It works. Log Multiply By Log.
From doylemaths.weebly.com
Exercise 7E Logarithms and Laws of Logarithms Mathematics Tutorial Log Multiply By Log Z = re iθ = x + iy. I.e., they are applicable for log, ln, (or) for logₐ. It works as for most products of two quantities: Log (mn) = log (m). Logs turn a multiplication into an addition, a division into a subtraction, an exponent into a multiplication, and a radical into a. You have $\log x \log 2x. Log Multiply By Log.
From trefnud16studyquizz.z14.web.core.windows.net
Rules Of Logarithms With Examples Log Multiply By Log It works as for most products of two quantities: You have $\log x \log 2x < 0 $ if they ($ \log x$ and $ \log 2x$) are of opposite signs. Log (mn) = log (m). The logarithmic properties are applicable for a log with any base. Logs turn a multiplication into an addition, a division into a subtraction, an. Log Multiply By Log.
From www.youtube.com
Common and Natural Logarithms Change of Base Formula Multiplying Log Multiply By Log The laws of logarithms are algebraic rules that allow for the simplification and rearrangement of logarithmic expressions. The 3 main logarithm laws are: You have $\log x \log 2x < 0 $ if they ($ \log x$ and $ \log 2x$) are of opposite signs. It works as for most products of two quantities: The logarithmic properties are applicable for. Log Multiply By Log.
From sbrascia3rhstudyquizz.z14.web.core.windows.net
Rules Of Logarithms With Examples Log Multiply By Log Raising the logarithm of a number to its base is equal to the number. You have $\log x \log 2x < 0 $ if they ($ \log x$ and $ \log 2x$) are of opposite signs. Multiplication inside the log can be turned into addition outside the log, and vice versa. Log mn = log m + log n. The. Log Multiply By Log.
From www.youtube.com
Common Logarithm / How to multiply numbers greater than 1 using Log Log Multiply By Log Learn the eight (8) log rules or laws to help you evaluate, expand, condense,. The logarithmic properties are applicable for a log with any base. The 3 important properties of logarithms are: Logs turn a multiplication into an addition, a division into a subtraction, an exponent into a multiplication, and a radical into a. Raising the logarithm of a number. Log Multiply By Log.
From slideplayer.com
Exponentials and Logarithms ppt download Log Multiply By Log Z = re iθ = x + iy. The laws of logarithms are algebraic rules that allow for the simplification and rearrangement of logarithmic expressions. Multiplication inside the log can be turned into addition outside the log, and vice versa. The 3 important properties of logarithms are: It works as for most products of two quantities: The logarithmic properties are. Log Multiply By Log.
From loeseaksk.blob.core.windows.net
Rules Of Logarithms With Examples at Christina Collins blog Log Multiply By Log Log (mn) = log (m). Raising the logarithm of a number to its base is equal to the number. Log mn = log m + log n. The laws of logarithms are algebraic rules that allow for the simplification and rearrangement of logarithmic expressions. The logarithmic properties are applicable for a log with any base. I.e., they are applicable for. Log Multiply By Log.
From www.youtube.com
Examples to Multiply Logarithms with different base log_31024 log_43 Log Multiply By Log The 3 main logarithm laws are: Learn the eight (8) log rules or laws to help you evaluate, expand, condense,. The 3 important properties of logarithms are: Z = re iθ = x + iy. You have $\log x \log 2x < 0 $ if they ($ \log x$ and $ \log 2x$) are of opposite signs. Raising the logarithm. Log Multiply By Log.
From www.storyofmathematics.com
Logarithm Rules Explanation & Examples Log Multiply By Log Logs turn a multiplication into an addition, a division into a subtraction, an exponent into a multiplication, and a radical into a. The 3 main logarithm laws are: You have $\log x \log 2x < 0 $ if they ($ \log x$ and $ \log 2x$) are of opposite signs. The logarithmic properties are applicable for a log with any. Log Multiply By Log.
From www.youtube.com
How to Divide and Evaluate Logarithms YouTube Log Multiply By Log It works as for most products of two quantities: The logarithmic properties are applicable for a log with any base. The laws of logarithms are algebraic rules that allow for the simplification and rearrangement of logarithmic expressions. Log (mn) = log (m). Z = re iθ = x + iy. You have $\log x \log 2x < 0 $ if. Log Multiply By Log.
From www.youtube.com
Solving Logarithmic Equations by combining logs YouTube Log Multiply By Log The 3 main logarithm laws are: Log mn = log m + log n. Z = re iθ = x + iy. Learn the eight (8) log rules or laws to help you evaluate, expand, condense,. The 3 important properties of logarithms are: I.e., they are applicable for log, ln, (or) for logₐ. Raising the logarithm of a number to. Log Multiply By Log.
From www.youtube.com
How To Solve Logarithm Equations Using The Multiplication Law Of Logs Log Multiply By Log Log (mn) = log (m). Raising the logarithm of a number to its base is equal to the number. The logarithmic properties are applicable for a log with any base. The laws of logarithms are algebraic rules that allow for the simplification and rearrangement of logarithmic expressions. Logs turn a multiplication into an addition, a division into a subtraction, an. Log Multiply By Log.
From www.reddit.com
[Grade 10 Logarithms] How do you multiply logs together? I first Log Multiply By Log Log mn = log m + log n. The laws of logarithms are algebraic rules that allow for the simplification and rearrangement of logarithmic expressions. Learn the eight (8) log rules or laws to help you evaluate, expand, condense,. It works as for most products of two quantities: I.e., they are applicable for log, ln, (or) for logₐ. Raising the. Log Multiply By Log.
From www.youtube.com
Multiplying logarithms with different bases YouTube Log Multiply By Log Learn the eight (8) log rules or laws to help you evaluate, expand, condense,. It works as for most products of two quantities: I.e., they are applicable for log, ln, (or) for logₐ. Log (mn) = log (m). Z = re iθ = x + iy. The laws of logarithms are algebraic rules that allow for the simplification and rearrangement. Log Multiply By Log.
From www.youtube.com
LOG1 Lesson 12 Multiplying a Log Expression by a Constant YouTube Log Multiply By Log Log mn = log m + log n. The 3 main logarithm laws are: You have $\log x \log 2x < 0 $ if they ($ \log x$ and $ \log 2x$) are of opposite signs. The 3 important properties of logarithms are: It works as for most products of two quantities: Multiplication inside the log can be turned into. Log Multiply By Log.
From www.cuemath.com
Log Rules Narural Log Rules (Rules of Ln) Logarithm Rules Log Multiply By Log It works as for most products of two quantities: Log (mn) = log (m). The laws of logarithms are algebraic rules that allow for the simplification and rearrangement of logarithmic expressions. You have $\log x \log 2x < 0 $ if they ($ \log x$ and $ \log 2x$) are of opposite signs. Learn the eight (8) log rules or. Log Multiply By Log.
From dxohisyjn.blob.core.windows.net
Logarithm Rules Multiplication at Teresa Nixon blog Log Multiply By Log Logs turn a multiplication into an addition, a division into a subtraction, an exponent into a multiplication, and a radical into a. Learn the eight (8) log rules or laws to help you evaluate, expand, condense,. Z = re iθ = x + iy. Multiplication inside the log can be turned into addition outside the log, and vice versa. Raising. Log Multiply By Log.
From www.youtube.com
Multiplying Logarithms With Different Bases Product Of 2 Log Terms With Log Multiply By Log Multiplication inside the log can be turned into addition outside the log, and vice versa. The logarithmic properties are applicable for a log with any base. The laws of logarithms are algebraic rules that allow for the simplification and rearrangement of logarithmic expressions. Learn the eight (8) log rules or laws to help you evaluate, expand, condense,. I.e., they are. Log Multiply By Log.
From www.physicsforums.com
How to understand Logarithms, Fundamentally Log Multiply By Log Log mn = log m + log n. Multiplication inside the log can be turned into addition outside the log, and vice versa. It works as for most products of two quantities: Log (mn) = log (m). The logarithmic properties are applicable for a log with any base. The laws of logarithms are algebraic rules that allow for the simplification. Log Multiply By Log.
From www.youtube.com
LogMultiplication and Division YouTube Log Multiply By Log The laws of logarithms are algebraic rules that allow for the simplification and rearrangement of logarithmic expressions. Log mn = log m + log n. The logarithmic properties are applicable for a log with any base. The 3 main logarithm laws are: Multiplication inside the log can be turned into addition outside the log, and vice versa. Z = re. Log Multiply By Log.
From www.youtube.com
1st Rule of Logarithms. (Multiplying Logs) YouTube Log Multiply By Log The 3 main logarithm laws are: Log (mn) = log (m). Z = re iθ = x + iy. The 3 important properties of logarithms are: Logs turn a multiplication into an addition, a division into a subtraction, an exponent into a multiplication, and a radical into a. Learn the eight (8) log rules or laws to help you evaluate,. Log Multiply By Log.
From www.expii.com
Intro to Adding and Subtracting Logs (Same Base) Expii Log Multiply By Log Z = re iθ = x + iy. The laws of logarithms are algebraic rules that allow for the simplification and rearrangement of logarithmic expressions. I.e., they are applicable for log, ln, (or) for logₐ. Raising the logarithm of a number to its base is equal to the number. The 3 main logarithm laws are: You have $\log x \log. Log Multiply By Log.
From mathvault.ca
Logarithm The Complete Guide (Theory & Applications) Math Vault Log Multiply By Log I.e., they are applicable for log, ln, (or) for logₐ. Log (mn) = log (m). Multiplication inside the log can be turned into addition outside the log, and vice versa. The 3 main logarithm laws are: Log mn = log m + log n. Logs turn a multiplication into an addition, a division into a subtraction, an exponent into a. Log Multiply By Log.
From www.nagwa.com
Question Video Simplifying Logarithmic Expressions Using Laws of Log Multiply By Log It works as for most products of two quantities: Logs turn a multiplication into an addition, a division into a subtraction, an exponent into a multiplication, and a radical into a. Learn the eight (8) log rules or laws to help you evaluate, expand, condense,. Multiplication inside the log can be turned into addition outside the log, and vice versa.. Log Multiply By Log.
From www.slideserve.com
PPT Logarithms PowerPoint Presentation, free download ID822131 Log Multiply By Log The logarithmic properties are applicable for a log with any base. Log (mn) = log (m). I.e., they are applicable for log, ln, (or) for logₐ. The laws of logarithms are algebraic rules that allow for the simplification and rearrangement of logarithmic expressions. Logs turn a multiplication into an addition, a division into a subtraction, an exponent into a multiplication,. Log Multiply By Log.
From www.youtube.com
Solving Logarithmic Equations YouTube Log Multiply By Log It works as for most products of two quantities: Logs turn a multiplication into an addition, a division into a subtraction, an exponent into a multiplication, and a radical into a. Multiplication inside the log can be turned into addition outside the log, and vice versa. You have $\log x \log 2x < 0 $ if they ($ \log x$. Log Multiply By Log.