Finding Angle Between Vectors . Calculate the dot product of two given vectors by using the formula : To find the angle between two vectors, one needs to follow the steps given below: With this angle between two vectors calculator, you'll quickly learn how to find the angle between two vectors. How to find the angle between two vectors? The angle between two vectors is the angle between their tails. How to find the angle between two vectors to find the angle between two vectors: Find the dot product of the two vectors. Angle between two vectors can be, acute, right, or obtuse, depending on the direction of the vectors. It can be found either by using the dot product (scalar product) or the. Angle between two vectors is the angle formed at the intersection of their tails. Divide this by the magnitude of the first vector. It doesn't matter if your vectors. The angle between two vectors, deferred by a single point, called the shortest angle at which you have to turn around one of the vectors to the.
from www.youtube.com
It doesn't matter if your vectors. With this angle between two vectors calculator, you'll quickly learn how to find the angle between two vectors. Find the dot product of the two vectors. Calculate the dot product of two given vectors by using the formula : To find the angle between two vectors, one needs to follow the steps given below: The angle between two vectors is the angle between their tails. Angle between two vectors can be, acute, right, or obtuse, depending on the direction of the vectors. Divide this by the magnitude of the first vector. Angle between two vectors is the angle formed at the intersection of their tails. The angle between two vectors, deferred by a single point, called the shortest angle at which you have to turn around one of the vectors to the.
Finding the magnitude and direction angle of a vector YouTube
Finding Angle Between Vectors It doesn't matter if your vectors. Calculate the dot product of two given vectors by using the formula : It can be found either by using the dot product (scalar product) or the. The angle between two vectors is the angle between their tails. The angle between two vectors, deferred by a single point, called the shortest angle at which you have to turn around one of the vectors to the. To find the angle between two vectors, one needs to follow the steps given below: Angle between two vectors can be, acute, right, or obtuse, depending on the direction of the vectors. Angle between two vectors is the angle formed at the intersection of their tails. Divide this by the magnitude of the first vector. How to find the angle between two vectors? Find the dot product of the two vectors. With this angle between two vectors calculator, you'll quickly learn how to find the angle between two vectors. It doesn't matter if your vectors. How to find the angle between two vectors to find the angle between two vectors:
From tupuy.com
How To Measure Angle Between Two Lines In Autocad Printable Online Finding Angle Between Vectors Angle between two vectors can be, acute, right, or obtuse, depending on the direction of the vectors. Find the dot product of the two vectors. The angle between two vectors, deferred by a single point, called the shortest angle at which you have to turn around one of the vectors to the. Divide this by the magnitude of the first. Finding Angle Between Vectors.
From www.youtube.com
How to Find Angles Between Vectors YouTube Finding Angle Between Vectors The angle between two vectors is the angle between their tails. Angle between two vectors can be, acute, right, or obtuse, depending on the direction of the vectors. To find the angle between two vectors, one needs to follow the steps given below: Divide this by the magnitude of the first vector. With this angle between two vectors calculator, you'll. Finding Angle Between Vectors.
From slidesharetrick.blogspot.com
Finding Angle Between Two Vectors slidesharetrick Finding Angle Between Vectors The angle between two vectors, deferred by a single point, called the shortest angle at which you have to turn around one of the vectors to the. With this angle between two vectors calculator, you'll quickly learn how to find the angle between two vectors. The angle between two vectors is the angle between their tails. To find the angle. Finding Angle Between Vectors.
From www.teachoo.com
Ex 10.3, 2 Find angle between vectors i 2j + 3k, 3i 2j + k Finding Angle Between Vectors Angle between two vectors can be, acute, right, or obtuse, depending on the direction of the vectors. How to find the angle between two vectors to find the angle between two vectors: How to find the angle between two vectors? Calculate the dot product of two given vectors by using the formula : To find the angle between two vectors,. Finding Angle Between Vectors.
From slidesharetrick.blogspot.com
Finding Angle Between Two Vectors slidesharetrick Finding Angle Between Vectors It doesn't matter if your vectors. The angle between two vectors is the angle between their tails. The angle between two vectors, deferred by a single point, called the shortest angle at which you have to turn around one of the vectors to the. Divide this by the magnitude of the first vector. To find the angle between two vectors,. Finding Angle Between Vectors.
From www.youtube.com
Finding angle between vector and axis YouTube Finding Angle Between Vectors The angle between two vectors is the angle between their tails. How to find the angle between two vectors to find the angle between two vectors: Angle between two vectors can be, acute, right, or obtuse, depending on the direction of the vectors. Divide this by the magnitude of the first vector. To find the angle between two vectors, one. Finding Angle Between Vectors.
From www.jlcatj.gob.mx
Find The Angle Between Two Vectors Calculator Discount Store, Save 48 Finding Angle Between Vectors The angle between two vectors, deferred by a single point, called the shortest angle at which you have to turn around one of the vectors to the. Calculate the dot product of two given vectors by using the formula : The angle between two vectors is the angle between their tails. It doesn't matter if your vectors. How to find. Finding Angle Between Vectors.
From mavink.com
Calculate Angle Between Two Vectors Matlab Finding Angle Between Vectors With this angle between two vectors calculator, you'll quickly learn how to find the angle between two vectors. It doesn't matter if your vectors. Divide this by the magnitude of the first vector. How to find the angle between two vectors? How to find the angle between two vectors to find the angle between two vectors: It can be found. Finding Angle Between Vectors.
From thetoptutors.blogspot.com
How To Find Unit Vector Formula Finding Angle Between Vectors It can be found either by using the dot product (scalar product) or the. The angle between two vectors is the angle between their tails. How to find the angle between two vectors to find the angle between two vectors: Angle between two vectors is the angle formed at the intersection of their tails. Calculate the dot product of two. Finding Angle Between Vectors.
From www.youtube.com
Find angle between two vectors if cross product and dot product are Finding Angle Between Vectors Calculate the dot product of two given vectors by using the formula : The angle between two vectors is the angle between their tails. How to find the angle between two vectors to find the angle between two vectors: How to find the angle between two vectors? The angle between two vectors, deferred by a single point, called the shortest. Finding Angle Between Vectors.
From www.youtube.com
Physics Lecture 2 (Part 4) Angle between Two Vectors YouTube Finding Angle Between Vectors Calculate the dot product of two given vectors by using the formula : With this angle between two vectors calculator, you'll quickly learn how to find the angle between two vectors. Find the dot product of the two vectors. It doesn't matter if your vectors. How to find the angle between two vectors to find the angle between two vectors:. Finding Angle Between Vectors.
From karmaqimills.blogspot.com
Angle Between Two Vectors KarmaqiMills Finding Angle Between Vectors The angle between two vectors, deferred by a single point, called the shortest angle at which you have to turn around one of the vectors to the. Angle between two vectors can be, acute, right, or obtuse, depending on the direction of the vectors. Find the dot product of the two vectors. How to find the angle between two vectors. Finding Angle Between Vectors.
From www.chegg.com
Find the angle between vectors u=([1],[0],[1]) and Finding Angle Between Vectors Angle between two vectors can be, acute, right, or obtuse, depending on the direction of the vectors. How to find the angle between two vectors to find the angle between two vectors: Calculate the dot product of two given vectors by using the formula : The angle between two vectors, deferred by a single point, called the shortest angle at. Finding Angle Between Vectors.
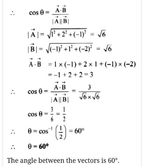
From www.sarthaks.com
Find the angle between the vectors A = i + 2j k and B = i + j 2k Finding Angle Between Vectors Divide this by the magnitude of the first vector. How to find the angle between two vectors to find the angle between two vectors: Angle between two vectors can be, acute, right, or obtuse, depending on the direction of the vectors. How to find the angle between two vectors? It doesn't matter if your vectors. To find the angle between. Finding Angle Between Vectors.
From komunitastogelindonesia.com
How to Find Angle Between Two Vectors? Formula, Examples (2023) Finding Angle Between Vectors How to find the angle between two vectors to find the angle between two vectors: Angle between two vectors can be, acute, right, or obtuse, depending on the direction of the vectors. It can be found either by using the dot product (scalar product) or the. How to find the angle between two vectors? Calculate the dot product of two. Finding Angle Between Vectors.
From www.wikihow.com
How to Find the Angle Between Two Vectors 12 Steps Finding Angle Between Vectors Angle between two vectors can be, acute, right, or obtuse, depending on the direction of the vectors. Angle between two vectors is the angle formed at the intersection of their tails. The angle between two vectors is the angle between their tails. The angle between two vectors, deferred by a single point, called the shortest angle at which you have. Finding Angle Between Vectors.
From www.youtube.com
Angle between vectors when three are give with sum of zero YouTube Finding Angle Between Vectors How to find the angle between two vectors? To find the angle between two vectors, one needs to follow the steps given below: It doesn't matter if your vectors. Find the dot product of the two vectors. Calculate the dot product of two given vectors by using the formula : How to find the angle between two vectors to find. Finding Angle Between Vectors.
From byjus.com
How do you find the angle of resultant vector? Finding Angle Between Vectors Angle between two vectors can be, acute, right, or obtuse, depending on the direction of the vectors. How to find the angle between two vectors? Find the dot product of the two vectors. Angle between two vectors is the angle formed at the intersection of their tails. The angle between two vectors, deferred by a single point, called the shortest. Finding Angle Between Vectors.
From www.youtube.com
Learn how to find the angle between two vectors YouTube Finding Angle Between Vectors How to find the angle between two vectors? How to find the angle between two vectors to find the angle between two vectors: It doesn't matter if your vectors. With this angle between two vectors calculator, you'll quickly learn how to find the angle between two vectors. Angle between two vectors is the angle formed at the intersection of their. Finding Angle Between Vectors.
From aldousraina.blogspot.com
Angle between two vectors calculator AldousRaina Finding Angle Between Vectors Find the dot product of the two vectors. To find the angle between two vectors, one needs to follow the steps given below: How to find the angle between two vectors to find the angle between two vectors: Angle between two vectors is the angle formed at the intersection of their tails. Divide this by the magnitude of the first. Finding Angle Between Vectors.
From www.teachoo.com
Example 14 Find angle between vectors a=i+jk and b=ij+k Finding Angle Between Vectors It can be found either by using the dot product (scalar product) or the. Find the dot product of the two vectors. The angle between two vectors is the angle between their tails. How to find the angle between two vectors? To find the angle between two vectors, one needs to follow the steps given below: It doesn't matter if. Finding Angle Between Vectors.
From slidesharetrick.blogspot.com
Finding Angle Between Two Vectors slidesharetrick Finding Angle Between Vectors It can be found either by using the dot product (scalar product) or the. The angle between two vectors, deferred by a single point, called the shortest angle at which you have to turn around one of the vectors to the. Angle between two vectors is the angle formed at the intersection of their tails. The angle between two vectors. Finding Angle Between Vectors.
From www.youtube.com
Find Angle Between Vectors YouTube Finding Angle Between Vectors It doesn't matter if your vectors. The angle between two vectors is the angle between their tails. Angle between two vectors is the angle formed at the intersection of their tails. Angle between two vectors can be, acute, right, or obtuse, depending on the direction of the vectors. The angle between two vectors, deferred by a single point, called the. Finding Angle Between Vectors.
From www.youtube.com
The Angle Between Two Vectors in 2D YouTube Finding Angle Between Vectors How to find the angle between two vectors? With this angle between two vectors calculator, you'll quickly learn how to find the angle between two vectors. It doesn't matter if your vectors. It can be found either by using the dot product (scalar product) or the. Find the dot product of the two vectors. Angle between two vectors is the. Finding Angle Between Vectors.
From www.jlcatj.gob.mx
Finding An Angle Between Two Vectors Outlet Clearance, Save 64 Finding Angle Between Vectors How to find the angle between two vectors to find the angle between two vectors: The angle between two vectors, deferred by a single point, called the shortest angle at which you have to turn around one of the vectors to the. How to find the angle between two vectors? Find the dot product of the two vectors. It can. Finding Angle Between Vectors.
From www.teachoo.com
Example 14 Find angle between vectors a=i+jk and b=ij+k Finding Angle Between Vectors Calculate the dot product of two given vectors by using the formula : It doesn't matter if your vectors. Find the dot product of the two vectors. Angle between two vectors is the angle formed at the intersection of their tails. How to find the angle between two vectors to find the angle between two vectors: To find the angle. Finding Angle Between Vectors.
From www.chegg.com
Solved The Direction Angles Of A Vector Are The Three Ang... Finding Angle Between Vectors Divide this by the magnitude of the first vector. The angle between two vectors is the angle between their tails. It doesn't matter if your vectors. Angle between two vectors is the angle formed at the intersection of their tails. With this angle between two vectors calculator, you'll quickly learn how to find the angle between two vectors. Calculate the. Finding Angle Between Vectors.
From mathsathome.com
How to Find the Angle Between Two Vectors Finding Angle Between Vectors Calculate the dot product of two given vectors by using the formula : The angle between two vectors, deferred by a single point, called the shortest angle at which you have to turn around one of the vectors to the. Divide this by the magnitude of the first vector. Find the dot product of the two vectors. To find the. Finding Angle Between Vectors.
From shamylaezme.blogspot.com
Angle between two vectors calculator ShamylaEzme Finding Angle Between Vectors The angle between two vectors, deferred by a single point, called the shortest angle at which you have to turn around one of the vectors to the. The angle between two vectors is the angle between their tails. How to find the angle between two vectors to find the angle between two vectors: With this angle between two vectors calculator,. Finding Angle Between Vectors.
From slidesharetrick.blogspot.com
Finding Angle Between Two Vectors slidesharetrick Finding Angle Between Vectors With this angle between two vectors calculator, you'll quickly learn how to find the angle between two vectors. To find the angle between two vectors, one needs to follow the steps given below: The angle between two vectors, deferred by a single point, called the shortest angle at which you have to turn around one of the vectors to the.. Finding Angle Between Vectors.
From slidesharetrick.blogspot.com
Finding Angle Between Two Vectors slidesharetrick Finding Angle Between Vectors Angle between two vectors is the angle formed at the intersection of their tails. It can be found either by using the dot product (scalar product) or the. To find the angle between two vectors, one needs to follow the steps given below: The angle between two vectors is the angle between their tails. Angle between two vectors can be,. Finding Angle Between Vectors.
From www.jlcatj.gob.mx
Find The Angle Between Two Vectors Calculator Discount Store, Save 48 Finding Angle Between Vectors Find the dot product of the two vectors. How to find the angle between two vectors? It doesn't matter if your vectors. Angle between two vectors is the angle formed at the intersection of their tails. Angle between two vectors can be, acute, right, or obtuse, depending on the direction of the vectors. Divide this by the magnitude of the. Finding Angle Between Vectors.
From www.youtube.com
Finding the magnitude and direction angle of a vector YouTube Finding Angle Between Vectors Calculate the dot product of two given vectors by using the formula : Angle between two vectors is the angle formed at the intersection of their tails. The angle between two vectors, deferred by a single point, called the shortest angle at which you have to turn around one of the vectors to the. Divide this by the magnitude of. Finding Angle Between Vectors.
From mathsathome.com
How to Find the Angle Between Two Vectors Finding Angle Between Vectors Divide this by the magnitude of the first vector. Find the dot product of the two vectors. How to find the angle between two vectors to find the angle between two vectors: Angle between two vectors can be, acute, right, or obtuse, depending on the direction of the vectors. It can be found either by using the dot product (scalar. Finding Angle Between Vectors.
From www.youtube.com
Determinando el ángulo entre dos vectores YouTube Finding Angle Between Vectors Calculate the dot product of two given vectors by using the formula : How to find the angle between two vectors to find the angle between two vectors: To find the angle between two vectors, one needs to follow the steps given below: It doesn't matter if your vectors. Find the dot product of the two vectors. With this angle. Finding Angle Between Vectors.