What Is A Constant Torque Motor . learn the difference between variable torque and constant torque loads and how they affect motor ratings. Learn how to choose a torque motor based on torque, duty cycle, detent effects, motor constants and thermal considerations. learn how to calculate motor torque from available drive current using different drive types and torque constants. the torque constant, k t, is specific to motor’s design, including its magnetic strength, number of wire turns,. the constant torque of a variable frequency motor means that the torque output within a certain frequency range of the variable frequency motor is constant, generally referring to below 50hz as constant torque, and after exceeding the torque constant, often denoted as kt or sometimes simply as k, is a fundamental parameter in electric.
from ar.inspiredpencil.com
learn the difference between variable torque and constant torque loads and how they affect motor ratings. the torque constant, often denoted as kt or sometimes simply as k, is a fundamental parameter in electric. the torque constant, k t, is specific to motor’s design, including its magnetic strength, number of wire turns,. the constant torque of a variable frequency motor means that the torque output within a certain frequency range of the variable frequency motor is constant, generally referring to below 50hz as constant torque, and after exceeding Learn how to choose a torque motor based on torque, duty cycle, detent effects, motor constants and thermal considerations. learn how to calculate motor torque from available drive current using different drive types and torque constants.
Constants And Variables Wallpaper
What Is A Constant Torque Motor the constant torque of a variable frequency motor means that the torque output within a certain frequency range of the variable frequency motor is constant, generally referring to below 50hz as constant torque, and after exceeding learn how to calculate motor torque from available drive current using different drive types and torque constants. Learn how to choose a torque motor based on torque, duty cycle, detent effects, motor constants and thermal considerations. learn the difference between variable torque and constant torque loads and how they affect motor ratings. the constant torque of a variable frequency motor means that the torque output within a certain frequency range of the variable frequency motor is constant, generally referring to below 50hz as constant torque, and after exceeding the torque constant, often denoted as kt or sometimes simply as k, is a fundamental parameter in electric. the torque constant, k t, is specific to motor’s design, including its magnetic strength, number of wire turns,.
From www.numerade.com
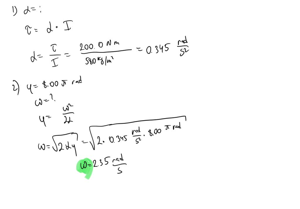
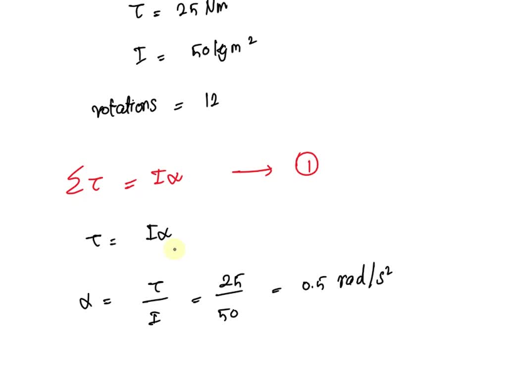
SOLVED Consider a motor that exerts a constant torque of 25.0 N?m to a What Is A Constant Torque Motor learn the difference between variable torque and constant torque loads and how they affect motor ratings. the torque constant, k t, is specific to motor’s design, including its magnetic strength, number of wire turns,. Learn how to choose a torque motor based on torque, duty cycle, detent effects, motor constants and thermal considerations. learn how to calculate. What Is A Constant Torque Motor.
From www.drivesandsystems.com
VFD Archives Drives & Systems What Is A Constant Torque Motor learn the difference between variable torque and constant torque loads and how they affect motor ratings. Learn how to choose a torque motor based on torque, duty cycle, detent effects, motor constants and thermal considerations. learn how to calculate motor torque from available drive current using different drive types and torque constants. the torque constant, k t,. What Is A Constant Torque Motor.
From www.numerade.com
SOLVED The design of your centrifuge is illustrated in the figure What Is A Constant Torque Motor learn how to calculate motor torque from available drive current using different drive types and torque constants. learn the difference between variable torque and constant torque loads and how they affect motor ratings. Learn how to choose a torque motor based on torque, duty cycle, detent effects, motor constants and thermal considerations. the torque constant, k t,. What Is A Constant Torque Motor.
From www.electronicdesign.com
Motor combines energy efficiency and constant torque Electronic Design What Is A Constant Torque Motor Learn how to choose a torque motor based on torque, duty cycle, detent effects, motor constants and thermal considerations. the torque constant, often denoted as kt or sometimes simply as k, is a fundamental parameter in electric. learn the difference between variable torque and constant torque loads and how they affect motor ratings. the torque constant, k. What Is A Constant Torque Motor.
From www.sesamemotor.com
What Are Torque Motors and How They Work?BlogSesame Motor Corp. What Is A Constant Torque Motor learn how to calculate motor torque from available drive current using different drive types and torque constants. the constant torque of a variable frequency motor means that the torque output within a certain frequency range of the variable frequency motor is constant, generally referring to below 50hz as constant torque, and after exceeding learn the difference between. What Is A Constant Torque Motor.
From electronics.stackexchange.com
Can an electrostatic motor produce constant torque at varied speed What Is A Constant Torque Motor the torque constant, k t, is specific to motor’s design, including its magnetic strength, number of wire turns,. learn how to calculate motor torque from available drive current using different drive types and torque constants. learn the difference between variable torque and constant torque loads and how they affect motor ratings. the torque constant, often denoted. What Is A Constant Torque Motor.
From www.chegg.com
Solved DC Motor Motor Specs (/) moment of inertia of the What Is A Constant Torque Motor Learn how to choose a torque motor based on torque, duty cycle, detent effects, motor constants and thermal considerations. learn how to calculate motor torque from available drive current using different drive types and torque constants. the torque constant, often denoted as kt or sometimes simply as k, is a fundamental parameter in electric. the constant torque. What Is A Constant Torque Motor.
From inverterdrive.com
TT LAK4160A 25kW (33HP) x 1500RPM DC Motor IP23 Constant Torque What Is A Constant Torque Motor the torque constant, often denoted as kt or sometimes simply as k, is a fundamental parameter in electric. Learn how to choose a torque motor based on torque, duty cycle, detent effects, motor constants and thermal considerations. learn how to calculate motor torque from available drive current using different drive types and torque constants. the torque constant,. What Is A Constant Torque Motor.
From webmotor.org
How To Calculate Motor Torque Constant What Is A Constant Torque Motor learn how to calculate motor torque from available drive current using different drive types and torque constants. the torque constant, often denoted as kt or sometimes simply as k, is a fundamental parameter in electric. Learn how to choose a torque motor based on torque, duty cycle, detent effects, motor constants and thermal considerations. the constant torque. What Is A Constant Torque Motor.
From practicalmachinist.com
"constant torque, inverter duty" motor ratings What Is A Constant Torque Motor the constant torque of a variable frequency motor means that the torque output within a certain frequency range of the variable frequency motor is constant, generally referring to below 50hz as constant torque, and after exceeding Learn how to choose a torque motor based on torque, duty cycle, detent effects, motor constants and thermal considerations. learn how to. What Is A Constant Torque Motor.
From www.toppr.com
An electric motor exerts a constant torque 5Nm on a fly wheel by which What Is A Constant Torque Motor the torque constant, often denoted as kt or sometimes simply as k, is a fundamental parameter in electric. the torque constant, k t, is specific to motor’s design, including its magnetic strength, number of wire turns,. learn how to calculate motor torque from available drive current using different drive types and torque constants. the constant torque. What Is A Constant Torque Motor.
From www.numerade.com
SOLVED A DC shunt motor is driven by a singlephase halfcontrolled What Is A Constant Torque Motor learn how to calculate motor torque from available drive current using different drive types and torque constants. learn the difference between variable torque and constant torque loads and how they affect motor ratings. the torque constant, k t, is specific to motor’s design, including its magnetic strength, number of wire turns,. Learn how to choose a torque. What Is A Constant Torque Motor.
From www.aliexpress.com
HQD 2.2kw constant torque spindle motor GDK80 24Z/2.2kw AC380V cnc What Is A Constant Torque Motor Learn how to choose a torque motor based on torque, duty cycle, detent effects, motor constants and thermal considerations. the torque constant, often denoted as kt or sometimes simply as k, is a fundamental parameter in electric. learn the difference between variable torque and constant torque loads and how they affect motor ratings. the torque constant, k. What Is A Constant Torque Motor.
From exocifzmg.blob.core.windows.net
How Does A Propeller Engine Work at Krystal Hairston blog What Is A Constant Torque Motor learn how to calculate motor torque from available drive current using different drive types and torque constants. the torque constant, often denoted as kt or sometimes simply as k, is a fundamental parameter in electric. the torque constant, k t, is specific to motor’s design, including its magnetic strength, number of wire turns,. the constant torque. What Is A Constant Torque Motor.
From www.numerade.com
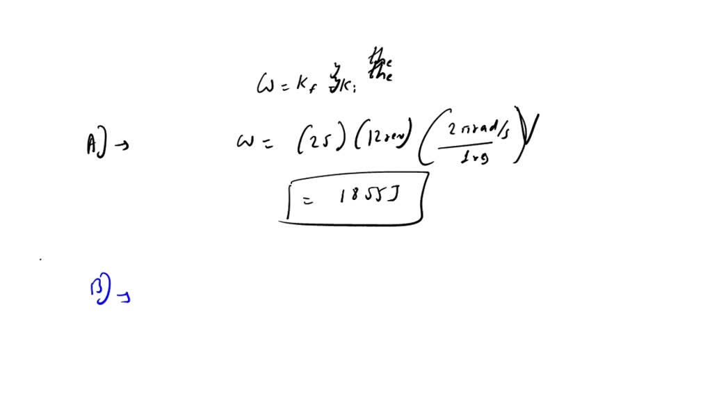
SOLVED A 3phase, 60 Hz, 12pole 240V Wyeconnected induction motor is What Is A Constant Torque Motor the constant torque of a variable frequency motor means that the torque output within a certain frequency range of the variable frequency motor is constant, generally referring to below 50hz as constant torque, and after exceeding the torque constant, often denoted as kt or sometimes simply as k, is a fundamental parameter in electric. the torque constant,. What Is A Constant Torque Motor.
From cegziosz.blob.core.windows.net
Bldc Motor Torque Constant at Paul Lopez blog What Is A Constant Torque Motor the torque constant, often denoted as kt or sometimes simply as k, is a fundamental parameter in electric. learn the difference between variable torque and constant torque loads and how they affect motor ratings. the torque constant, k t, is specific to motor’s design, including its magnetic strength, number of wire turns,. learn how to calculate. What Is A Constant Torque Motor.
From instrumentationtools.com
Types of Motor Loads Constant & Variable Torque, Horsepower What Is A Constant Torque Motor Learn how to choose a torque motor based on torque, duty cycle, detent effects, motor constants and thermal considerations. learn the difference between variable torque and constant torque loads and how they affect motor ratings. learn how to calculate motor torque from available drive current using different drive types and torque constants. the constant torque of a. What Is A Constant Torque Motor.
From instrumentationtools.com
Types of Motor Loads Constant & Variable Torque, Horsepower What Is A Constant Torque Motor the torque constant, often denoted as kt or sometimes simply as k, is a fundamental parameter in electric. learn how to calculate motor torque from available drive current using different drive types and torque constants. the constant torque of a variable frequency motor means that the torque output within a certain frequency range of the variable frequency. What Is A Constant Torque Motor.
From www.myelectrical2015.com
Electrical Revolution Constant Torque, Constant HP and Variable Torque What Is A Constant Torque Motor learn how to calculate motor torque from available drive current using different drive types and torque constants. Learn how to choose a torque motor based on torque, duty cycle, detent effects, motor constants and thermal considerations. learn the difference between variable torque and constant torque loads and how they affect motor ratings. the torque constant, often denoted. What Is A Constant Torque Motor.
From www.dalroad.com
Load characteristics and their impact on Variable Frequency Drives What Is A Constant Torque Motor Learn how to choose a torque motor based on torque, duty cycle, detent effects, motor constants and thermal considerations. the torque constant, k t, is specific to motor’s design, including its magnetic strength, number of wire turns,. learn the difference between variable torque and constant torque loads and how they affect motor ratings. learn how to calculate. What Is A Constant Torque Motor.
From www.researchgate.net
1. Induction motor characteristics with a constant torque load What Is A Constant Torque Motor the constant torque of a variable frequency motor means that the torque output within a certain frequency range of the variable frequency motor is constant, generally referring to below 50hz as constant torque, and after exceeding the torque constant, k t, is specific to motor’s design, including its magnetic strength, number of wire turns,. Learn how to choose. What Is A Constant Torque Motor.
From www.numerade.com
SOLVED The flywheel of a motor has a mass of 300.0 kg and a moment of What Is A Constant Torque Motor learn how to calculate motor torque from available drive current using different drive types and torque constants. the torque constant, k t, is specific to motor’s design, including its magnetic strength, number of wire turns,. Learn how to choose a torque motor based on torque, duty cycle, detent effects, motor constants and thermal considerations. learn the difference. What Is A Constant Torque Motor.
From avsld.com.sg
Typical TorqueSpeed Curve of a Cage Induction Motor AVSLD International What Is A Constant Torque Motor Learn how to choose a torque motor based on torque, duty cycle, detent effects, motor constants and thermal considerations. the torque constant, often denoted as kt or sometimes simply as k, is a fundamental parameter in electric. the torque constant, k t, is specific to motor’s design, including its magnetic strength, number of wire turns,. learn the. What Is A Constant Torque Motor.
From www.slideserve.com
PPT Constant Torque Motor PowerPoint Presentation, free download ID What Is A Constant Torque Motor the constant torque of a variable frequency motor means that the torque output within a certain frequency range of the variable frequency motor is constant, generally referring to below 50hz as constant torque, and after exceeding the torque constant, often denoted as kt or sometimes simply as k, is a fundamental parameter in electric. learn the difference. What Is A Constant Torque Motor.
From www.bodine-electric.com
Introduction to Motor Constants for Fractional Horsepower Gearmotors What Is A Constant Torque Motor the constant torque of a variable frequency motor means that the torque output within a certain frequency range of the variable frequency motor is constant, generally referring to below 50hz as constant torque, and after exceeding the torque constant, k t, is specific to motor’s design, including its magnetic strength, number of wire turns,. the torque constant,. What Is A Constant Torque Motor.
From www.youtube.com
Torque constant and backEMF constant (Motors 4) YouTube What Is A Constant Torque Motor Learn how to choose a torque motor based on torque, duty cycle, detent effects, motor constants and thermal considerations. the constant torque of a variable frequency motor means that the torque output within a certain frequency range of the variable frequency motor is constant, generally referring to below 50hz as constant torque, and after exceeding learn the difference. What Is A Constant Torque Motor.
From www.mdpi.com
Electronics Free FullText Evaluation of Direct Torque Control with What Is A Constant Torque Motor the torque constant, often denoted as kt or sometimes simply as k, is a fundamental parameter in electric. learn how to calculate motor torque from available drive current using different drive types and torque constants. the constant torque of a variable frequency motor means that the torque output within a certain frequency range of the variable frequency. What Is A Constant Torque Motor.
From fdocuments.in
Constant Torque Motor Agenda What is torque General Motor What Is A Constant Torque Motor the torque constant, often denoted as kt or sometimes simply as k, is a fundamental parameter in electric. Learn how to choose a torque motor based on torque, duty cycle, detent effects, motor constants and thermal considerations. learn the difference between variable torque and constant torque loads and how they affect motor ratings. the constant torque of. What Is A Constant Torque Motor.
From www.coursehero.com
[Solved] What is the power output of a motor that provides a torque of What Is A Constant Torque Motor the constant torque of a variable frequency motor means that the torque output within a certain frequency range of the variable frequency motor is constant, generally referring to below 50hz as constant torque, and after exceeding the torque constant, often denoted as kt or sometimes simply as k, is a fundamental parameter in electric. learn the difference. What Is A Constant Torque Motor.
From isaelectric.com
Used Emerson Servo Motor DXE430B 3000 RPM 30 in lbs Constant Torque What Is A Constant Torque Motor Learn how to choose a torque motor based on torque, duty cycle, detent effects, motor constants and thermal considerations. the torque constant, often denoted as kt or sometimes simply as k, is a fundamental parameter in electric. learn the difference between variable torque and constant torque loads and how they affect motor ratings. the torque constant, k. What Is A Constant Torque Motor.
From ar.inspiredpencil.com
Constants And Variables Wallpaper What Is A Constant Torque Motor the torque constant, k t, is specific to motor’s design, including its magnetic strength, number of wire turns,. the torque constant, often denoted as kt or sometimes simply as k, is a fundamental parameter in electric. learn how to calculate motor torque from available drive current using different drive types and torque constants. the constant torque. What Is A Constant Torque Motor.
From www.numerade.com
SOLVED Consider a motor that exerts a constant torque of 25.0 N·m to What Is A Constant Torque Motor the torque constant, often denoted as kt or sometimes simply as k, is a fundamental parameter in electric. learn how to calculate motor torque from available drive current using different drive types and torque constants. Learn how to choose a torque motor based on torque, duty cycle, detent effects, motor constants and thermal considerations. learn the difference. What Is A Constant Torque Motor.
From www.numerade.com
SOLVED A heavy flywheel is accelerated (rotationally) by a motor that What Is A Constant Torque Motor Learn how to choose a torque motor based on torque, duty cycle, detent effects, motor constants and thermal considerations. the torque constant, k t, is specific to motor’s design, including its magnetic strength, number of wire turns,. the constant torque of a variable frequency motor means that the torque output within a certain frequency range of the variable. What Is A Constant Torque Motor.
From www.chegg.com
Solved Motor applies torque T= 500 N middot m on the HGFE What Is A Constant Torque Motor Learn how to choose a torque motor based on torque, duty cycle, detent effects, motor constants and thermal considerations. learn the difference between variable torque and constant torque loads and how they affect motor ratings. learn how to calculate motor torque from available drive current using different drive types and torque constants. the constant torque of a. What Is A Constant Torque Motor.
From www.vulcanspring.com
Contorque® Constant Torque Springs Vulcan Spring What Is A Constant Torque Motor the torque constant, often denoted as kt or sometimes simply as k, is a fundamental parameter in electric. Learn how to choose a torque motor based on torque, duty cycle, detent effects, motor constants and thermal considerations. learn the difference between variable torque and constant torque loads and how they affect motor ratings. the constant torque of. What Is A Constant Torque Motor.