How To Get Travel Certificate . During the pandemic, travellers used to present. A travel certificate can be requested through our website. — the newly rolled out international travel certificate, available through the cowin platform, will show the full date of. — visit a certified healthcare provider: How to use covid vaccine certificates for international travel. Please click here to request and pay for a travel certificate. Please provide the booking reference and email address to retrieve the travel certificate. Make sure you get your vaccine from a certified healthcare provider, such. for travel certificates older than 18 months, please contact our 24/7 call centre at 0124 4973838. how to retrieve your travel certificate. how can i retrieve and make the payment for a travel certificate? The travel certificate fee is.
from lowetechphones.com
How to use covid vaccine certificates for international travel. how can i retrieve and make the payment for a travel certificate? A travel certificate can be requested through our website. — visit a certified healthcare provider: — the newly rolled out international travel certificate, available through the cowin platform, will show the full date of. The travel certificate fee is. Please provide the booking reference and email address to retrieve the travel certificate. how to retrieve your travel certificate. Make sure you get your vaccine from a certified healthcare provider, such. for travel certificates older than 18 months, please contact our 24/7 call centre at 0124 4973838.
Best Travel Certificates 10 Template Designs 2019 Free Amazing
How To Get Travel Certificate A travel certificate can be requested through our website. The travel certificate fee is. During the pandemic, travellers used to present. how can i retrieve and make the payment for a travel certificate? How to use covid vaccine certificates for international travel. — visit a certified healthcare provider: A travel certificate can be requested through our website. Make sure you get your vaccine from a certified healthcare provider, such. for travel certificates older than 18 months, please contact our 24/7 call centre at 0124 4973838. Please provide the booking reference and email address to retrieve the travel certificate. how to retrieve your travel certificate. — the newly rolled out international travel certificate, available through the cowin platform, will show the full date of. Please click here to request and pay for a travel certificate.
From www.scribd.com
Certificate of travel completed How To Get Travel Certificate Make sure you get your vaccine from a certified healthcare provider, such. how to retrieve your travel certificate. for travel certificates older than 18 months, please contact our 24/7 call centre at 0124 4973838. The travel certificate fee is. how can i retrieve and make the payment for a travel certificate? — visit a certified healthcare. How To Get Travel Certificate.
From www.vacationincentivesusa.com
Sample 52 Destinations Vacation Certificate Includes 2 Children How To Get Travel Certificate Make sure you get your vaccine from a certified healthcare provider, such. — visit a certified healthcare provider: how can i retrieve and make the payment for a travel certificate? for travel certificates older than 18 months, please contact our 24/7 call centre at 0124 4973838. — the newly rolled out international travel certificate, available through. How To Get Travel Certificate.
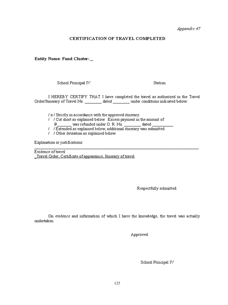
From www.scribd.com
Certificate of Travel CompletedPICPA 2017 Copy Government Politics How To Get Travel Certificate Please click here to request and pay for a travel certificate. — visit a certified healthcare provider: A travel certificate can be requested through our website. — the newly rolled out international travel certificate, available through the cowin platform, will show the full date of. for travel certificates older than 18 months, please contact our 24/7 call. How To Get Travel Certificate.
From www.pinterest.com
Travel Gift Certificate Template FREE Printable 2 Gift certificate How To Get Travel Certificate How to use covid vaccine certificates for international travel. — visit a certified healthcare provider: for travel certificates older than 18 months, please contact our 24/7 call centre at 0124 4973838. — the newly rolled out international travel certificate, available through the cowin platform, will show the full date of. Make sure you get your vaccine from. How To Get Travel Certificate.
From www.etsy.com
Travel Gift Certificate Printable Gift of Travel Certificate Etsy Canada How To Get Travel Certificate Make sure you get your vaccine from a certified healthcare provider, such. — the newly rolled out international travel certificate, available through the cowin platform, will show the full date of. Please click here to request and pay for a travel certificate. how can i retrieve and make the payment for a travel certificate? Please provide the booking. How To Get Travel Certificate.
From lowetechphones.com
Best Travel Certificates 10 Template Designs 2019 Free Amazing How To Get Travel Certificate Make sure you get your vaccine from a certified healthcare provider, such. A travel certificate can be requested through our website. During the pandemic, travellers used to present. how to retrieve your travel certificate. Please provide the booking reference and email address to retrieve the travel certificate. — visit a certified healthcare provider: The travel certificate fee is.. How To Get Travel Certificate.
From www.slideshare.net
Certificate of Travel and Tourism How To Get Travel Certificate A travel certificate can be requested through our website. Make sure you get your vaccine from a certified healthcare provider, such. The travel certificate fee is. Please click here to request and pay for a travel certificate. how to retrieve your travel certificate. for travel certificates older than 18 months, please contact our 24/7 call centre at 0124. How To Get Travel Certificate.
From www.scribd.com
Certificate of Travel Completed How To Get Travel Certificate The travel certificate fee is. Please provide the booking reference and email address to retrieve the travel certificate. how to retrieve your travel certificate. A travel certificate can be requested through our website. How to use covid vaccine certificates for international travel. for travel certificates older than 18 months, please contact our 24/7 call centre at 0124 4973838.. How To Get Travel Certificate.
From travellerholiday.blogspot.com
Travel certificates Travel around the world How To Get Travel Certificate Please click here to request and pay for a travel certificate. Please provide the booking reference and email address to retrieve the travel certificate. During the pandemic, travellers used to present. — visit a certified healthcare provider: how can i retrieve and make the payment for a travel certificate? A travel certificate can be requested through our website.. How To Get Travel Certificate.
From www.template.net
Travel Certificate Template 10+ Free PDF, Word Documents Download How To Get Travel Certificate A travel certificate can be requested through our website. — visit a certified healthcare provider: Please provide the booking reference and email address to retrieve the travel certificate. how to retrieve your travel certificate. During the pandemic, travellers used to present. Make sure you get your vaccine from a certified healthcare provider, such. How to use covid vaccine. How To Get Travel Certificate.
From www.template.net
Travel Certificate Template 10+ Free PDF, Word Documents Download How To Get Travel Certificate — visit a certified healthcare provider: for travel certificates older than 18 months, please contact our 24/7 call centre at 0124 4973838. Please provide the booking reference and email address to retrieve the travel certificate. how to retrieve your travel certificate. How to use covid vaccine certificates for international travel. During the pandemic, travellers used to present.. How To Get Travel Certificate.
From ar.inspiredpencil.com
Travel Certificate Template How To Get Travel Certificate A travel certificate can be requested through our website. how to retrieve your travel certificate. During the pandemic, travellers used to present. — visit a certified healthcare provider: Please provide the booking reference and email address to retrieve the travel certificate. Make sure you get your vaccine from a certified healthcare provider, such. How to use covid vaccine. How To Get Travel Certificate.
From www.youtube.com
How to Download International Travel Certificate from CoWin How To Get Travel Certificate The travel certificate fee is. During the pandemic, travellers used to present. Make sure you get your vaccine from a certified healthcare provider, such. — visit a certified healthcare provider: How to use covid vaccine certificates for international travel. for travel certificates older than 18 months, please contact our 24/7 call centre at 0124 4973838. how can. How To Get Travel Certificate.
From www.template.net
Free Travel Gift Certificate Template in Adobe Illustrator, Microsoft How To Get Travel Certificate Please click here to request and pay for a travel certificate. how to retrieve your travel certificate. — visit a certified healthcare provider: for travel certificates older than 18 months, please contact our 24/7 call centre at 0124 4973838. A travel certificate can be requested through our website. Please provide the booking reference and email address to. How To Get Travel Certificate.
From www.scribd.com
Certificate of Travel Completed (GAM Format) PDF How To Get Travel Certificate — visit a certified healthcare provider: — the newly rolled out international travel certificate, available through the cowin platform, will show the full date of. Please click here to request and pay for a travel certificate. how can i retrieve and make the payment for a travel certificate? A travel certificate can be requested through our website.. How To Get Travel Certificate.
From www.scribd.com
Certificate Of Travel Completed How To Get Travel Certificate Make sure you get your vaccine from a certified healthcare provider, such. for travel certificates older than 18 months, please contact our 24/7 call centre at 0124 4973838. A travel certificate can be requested through our website. During the pandemic, travellers used to present. The travel certificate fee is. Please click here to request and pay for a travel. How To Get Travel Certificate.
From www.forbes.com
How To Use United Airlines Travel Credits Forbes Advisor How To Get Travel Certificate for travel certificates older than 18 months, please contact our 24/7 call centre at 0124 4973838. — visit a certified healthcare provider: Make sure you get your vaccine from a certified healthcare provider, such. How to use covid vaccine certificates for international travel. Please click here to request and pay for a travel certificate. — the newly. How To Get Travel Certificate.
From www.scribd.com
Certificate of Travel Completed PDF How To Get Travel Certificate for travel certificates older than 18 months, please contact our 24/7 call centre at 0124 4973838. how to retrieve your travel certificate. Make sure you get your vaccine from a certified healthcare provider, such. — the newly rolled out international travel certificate, available through the cowin platform, will show the full date of. Please provide the booking. How To Get Travel Certificate.
From www.cebutravelagency.com
DFA CERTIFICATE Cebu Travel Agency How To Get Travel Certificate Please provide the booking reference and email address to retrieve the travel certificate. How to use covid vaccine certificates for international travel. how can i retrieve and make the payment for a travel certificate? — visit a certified healthcare provider: Make sure you get your vaccine from a certified healthcare provider, such. how to retrieve your travel. How To Get Travel Certificate.
From www.antietamtravel.com
Travel Gift Certificates Antietam Travel Service How To Get Travel Certificate Please click here to request and pay for a travel certificate. — visit a certified healthcare provider: The travel certificate fee is. for travel certificates older than 18 months, please contact our 24/7 call centre at 0124 4973838. How to use covid vaccine certificates for international travel. how can i retrieve and make the payment for a. How To Get Travel Certificate.
From www.template.net
Travel Certificate Template 10+ Free PDF, Word Documents Download How To Get Travel Certificate how can i retrieve and make the payment for a travel certificate? The travel certificate fee is. how to retrieve your travel certificate. How to use covid vaccine certificates for international travel. — the newly rolled out international travel certificate, available through the cowin platform, will show the full date of. for travel certificates older than. How To Get Travel Certificate.
From watercolourbiennial.com
Travel Gift Certificate Editable [10+ Modern Designs] Fresh How To Get Travel Certificate Please provide the booking reference and email address to retrieve the travel certificate. how can i retrieve and make the payment for a travel certificate? — visit a certified healthcare provider: How to use covid vaccine certificates for international travel. — the newly rolled out international travel certificate, available through the cowin platform, will show the full. How To Get Travel Certificate.
From admin.cashier.mijndomein.nl
Customizable Free Printable Travel Voucher Template How To Get Travel Certificate Please click here to request and pay for a travel certificate. — the newly rolled out international travel certificate, available through the cowin platform, will show the full date of. A travel certificate can be requested through our website. how can i retrieve and make the payment for a travel certificate? Make sure you get your vaccine from. How To Get Travel Certificate.
From travelagentcertificate.blogspot.com
travel agent certificate Travel agent certificate How To Get Travel Certificate How to use covid vaccine certificates for international travel. how to retrieve your travel certificate. — visit a certified healthcare provider: The travel certificate fee is. — the newly rolled out international travel certificate, available through the cowin platform, will show the full date of. Make sure you get your vaccine from a certified healthcare provider, such.. How To Get Travel Certificate.
From www.pdffiller.com
How To Fill International Travel Certificate To Mainland France Fill How To Get Travel Certificate Make sure you get your vaccine from a certified healthcare provider, such. The travel certificate fee is. During the pandemic, travellers used to present. — visit a certified healthcare provider: — the newly rolled out international travel certificate, available through the cowin platform, will show the full date of. A travel certificate can be requested through our website.. How To Get Travel Certificate.
From www.template.net
Travel Certificate Template 10+ Free PDF, Word Documents Download How To Get Travel Certificate — visit a certified healthcare provider: how can i retrieve and make the payment for a travel certificate? for travel certificates older than 18 months, please contact our 24/7 call centre at 0124 4973838. The travel certificate fee is. How to use covid vaccine certificates for international travel. how to retrieve your travel certificate. Please provide. How To Get Travel Certificate.
From www.scribd.com
Certificate of Travel Completed How To Get Travel Certificate — the newly rolled out international travel certificate, available through the cowin platform, will show the full date of. Make sure you get your vaccine from a certified healthcare provider, such. A travel certificate can be requested through our website. for travel certificates older than 18 months, please contact our 24/7 call centre at 0124 4973838. During the. How To Get Travel Certificate.
From www.slideshare.net
degree travel & tourism certificate How To Get Travel Certificate — visit a certified healthcare provider: Please provide the booking reference and email address to retrieve the travel certificate. for travel certificates older than 18 months, please contact our 24/7 call centre at 0124 4973838. Please click here to request and pay for a travel certificate. How to use covid vaccine certificates for international travel. how to. How To Get Travel Certificate.
From www.scribd.com
CERTIFICATE OF TRAVEL COMPLETED PDF How To Get Travel Certificate how can i retrieve and make the payment for a travel certificate? The travel certificate fee is. Please provide the booking reference and email address to retrieve the travel certificate. — the newly rolled out international travel certificate, available through the cowin platform, will show the full date of. How to use covid vaccine certificates for international travel.. How To Get Travel Certificate.
From www.assuredscreening.com
COVID Certificate for Travel Example Assured Screening How To Get Travel Certificate How to use covid vaccine certificates for international travel. — the newly rolled out international travel certificate, available through the cowin platform, will show the full date of. Please click here to request and pay for a travel certificate. how to retrieve your travel certificate. A travel certificate can be requested through our website. for travel certificates. How To Get Travel Certificate.
From www.scribd.com
Travel CertificateSample Only PDF How To Get Travel Certificate Please provide the booking reference and email address to retrieve the travel certificate. for travel certificates older than 18 months, please contact our 24/7 call centre at 0124 4973838. how can i retrieve and make the payment for a travel certificate? Make sure you get your vaccine from a certified healthcare provider, such. — the newly rolled. How To Get Travel Certificate.
From clicks.mmunic.email
Travel Certificate Download How To Get Travel Certificate — visit a certified healthcare provider: During the pandemic, travellers used to present. Make sure you get your vaccine from a certified healthcare provider, such. Please provide the booking reference and email address to retrieve the travel certificate. for travel certificates older than 18 months, please contact our 24/7 call centre at 0124 4973838. Please click here to. How To Get Travel Certificate.
From www.template.net
11+ Travel Gift Certificate Templates Free Sample, Example, Format How To Get Travel Certificate A travel certificate can be requested through our website. Please click here to request and pay for a travel certificate. During the pandemic, travellers used to present. how to retrieve your travel certificate. how can i retrieve and make the payment for a travel certificate? for travel certificates older than 18 months, please contact our 24/7 call. How To Get Travel Certificate.
From iwentanyways.com
How To Get A Medical Certificate and Travel Authority in Quezon City How To Get Travel Certificate The travel certificate fee is. — the newly rolled out international travel certificate, available through the cowin platform, will show the full date of. for travel certificates older than 18 months, please contact our 24/7 call centre at 0124 4973838. Please provide the booking reference and email address to retrieve the travel certificate. Please click here to request. How To Get Travel Certificate.
From masonic-grand-lodge-of-texas.myshopify.com
Form 58 Traveling Certificate The Grand Lodge of Texas How To Get Travel Certificate for travel certificates older than 18 months, please contact our 24/7 call centre at 0124 4973838. During the pandemic, travellers used to present. The travel certificate fee is. — the newly rolled out international travel certificate, available through the cowin platform, will show the full date of. — visit a certified healthcare provider: Please click here to. How To Get Travel Certificate.