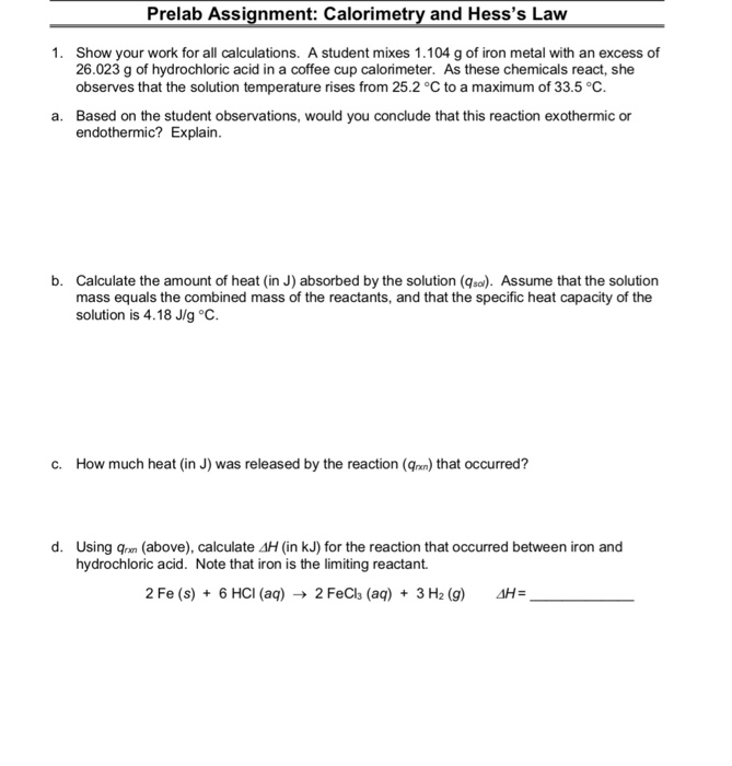
Prelab Assignment Calorimetry And Hesss Law . Show your work for all calculations. When 1.104 grams of iron metal are mixed with 26.023 grams of hydrochloric acid in a coffee cup. When 1.104 grams of iron metal are mixed with 26.023 grams of hydrochloric acid in a coffee cup calorimeter,. Show your work for all calculations. Calorimetry and hess's law 1. Styrofoam calorimeter, thermometer, watch glass. Calorimetry and law prelab zinc metal reacts with hydrochloric acid according to the balanced equation: A student mixes 1.104 g of iron metal with an excess of 26.023 g of hydrochloric acid in a coffee. Show your work for all calculations. Calorimetry and hess’s law, online chemistry lab manual. Delta h (a) + delta h (b) = delta h (c) tools used in the lab. This is the prelab for the calorimetry lab. Hess’s law states that if a series of reactions can be added together to make a certain overall reaction, then their enthalpies can also be. Calorimetry and hess's law i.
from www.chegg.com
When 1.104 grams of iron metal are mixed with 26.023 grams of hydrochloric acid in a coffee cup. Delta h (a) + delta h (b) = delta h (c) tools used in the lab. When 1.104 grams of iron metal are mixed with 26.023 grams of hydrochloric acid in a coffee cup calorimeter,. This is the prelab for the calorimetry lab. Calorimetry and law prelab zinc metal reacts with hydrochloric acid according to the balanced equation: Show your work for all calculations. Hess’s law states that if a series of reactions can be added together to make a certain overall reaction, then their enthalpies can also be. Calorimetry and hess’s law, online chemistry lab manual. Show your work for all calculations. Calorimetry and hess's law i.
Solved Prelab Assignment Calorimetry and Hess's Law 1. Show
Prelab Assignment Calorimetry And Hesss Law This is the prelab for the calorimetry lab. When 1.104 grams of iron metal are mixed with 26.023 grams of hydrochloric acid in a coffee cup calorimeter,. Show your work for all calculations. Calorimetry and law prelab zinc metal reacts with hydrochloric acid according to the balanced equation: When 1.104 grams of iron metal are mixed with 26.023 grams of hydrochloric acid in a coffee cup. Styrofoam calorimeter, thermometer, watch glass. Show your work for all calculations. Calorimetry and hess’s law, online chemistry lab manual. A student mixes 1.104 g of iron metal with an excess of 26.023 g of hydrochloric acid in a coffee. Calorimetry and hess's law 1. This is the prelab for the calorimetry lab. Calorimetry and hess's law i. Show your work for all calculations. Delta h (a) + delta h (b) = delta h (c) tools used in the lab. Hess’s law states that if a series of reactions can be added together to make a certain overall reaction, then their enthalpies can also be.
From www.chegg.com
Solved Prelab Assignment Calorimetry and Hess's Law 1. Show Prelab Assignment Calorimetry And Hesss Law Calorimetry and hess’s law, online chemistry lab manual. When 1.104 grams of iron metal are mixed with 26.023 grams of hydrochloric acid in a coffee cup. When 1.104 grams of iron metal are mixed with 26.023 grams of hydrochloric acid in a coffee cup calorimeter,. Calorimetry and hess's law 1. Show your work for all calculations. Calorimetry and hess's law. Prelab Assignment Calorimetry And Hesss Law.
From www.chegg.com
Solved Prelab Assignment Calorimetry and Hess's Law 1. Show Prelab Assignment Calorimetry And Hesss Law Styrofoam calorimeter, thermometer, watch glass. When 1.104 grams of iron metal are mixed with 26.023 grams of hydrochloric acid in a coffee cup. Delta h (a) + delta h (b) = delta h (c) tools used in the lab. This is the prelab for the calorimetry lab. Show your work for all calculations. Calorimetry and hess's law i. A student. Prelab Assignment Calorimetry And Hesss Law.
From slidetodoc.com
Thermodynamics Enthalpy of Reaction Hesss Law PreLab Discussion Prelab Assignment Calorimetry And Hesss Law Show your work for all calculations. Calorimetry and law prelab zinc metal reacts with hydrochloric acid according to the balanced equation: Show your work for all calculations. Delta h (a) + delta h (b) = delta h (c) tools used in the lab. Calorimetry and hess's law 1. Show your work for all calculations. A student mixes 1.104 g of. Prelab Assignment Calorimetry And Hesss Law.
From www.chegg.com
Solved Date Name Lab Section Prelab Assignment Prelab Assignment Calorimetry And Hesss Law Delta h (a) + delta h (b) = delta h (c) tools used in the lab. This is the prelab for the calorimetry lab. Show your work for all calculations. Hess’s law states that if a series of reactions can be added together to make a certain overall reaction, then their enthalpies can also be. Calorimetry and law prelab zinc. Prelab Assignment Calorimetry And Hesss Law.
From www.chegg.com
Solved Prelab Assignment Calorimetry and Hess's Law Show Prelab Assignment Calorimetry And Hesss Law Show your work for all calculations. Calorimetry and hess’s law, online chemistry lab manual. Delta h (a) + delta h (b) = delta h (c) tools used in the lab. Show your work for all calculations. When 1.104 grams of iron metal are mixed with 26.023 grams of hydrochloric acid in a coffee cup. Calorimetry and hess's law i. A. Prelab Assignment Calorimetry And Hesss Law.
From www.chegg.com
Solved Name Calorimetry Hess's Law Drawer Number PreLab Prelab Assignment Calorimetry And Hesss Law Calorimetry and hess's law 1. Show your work for all calculations. Calorimetry and law prelab zinc metal reacts with hydrochloric acid according to the balanced equation: A student mixes 1.104 g of iron metal with an excess of 26.023 g of hydrochloric acid in a coffee. Styrofoam calorimeter, thermometer, watch glass. Calorimetry and hess’s law, online chemistry lab manual. When. Prelab Assignment Calorimetry And Hesss Law.
From www.chegg.com
Solved Name Date Calorimetry and Hess's Law Prelab 1. Zinc Prelab Assignment Calorimetry And Hesss Law Show your work for all calculations. Calorimetry and hess's law i. Calorimetry and law prelab zinc metal reacts with hydrochloric acid according to the balanced equation: Calorimetry and hess's law 1. This is the prelab for the calorimetry lab. Delta h (a) + delta h (b) = delta h (c) tools used in the lab. Calorimetry and hess’s law, online. Prelab Assignment Calorimetry And Hesss Law.
From chem.libretexts.org
12 Calorimetry and Hess's Law (Experiment) Chemistry LibreTexts Prelab Assignment Calorimetry And Hesss Law A student mixes 1.104 g of iron metal with an excess of 26.023 g of hydrochloric acid in a coffee. Delta h (a) + delta h (b) = delta h (c) tools used in the lab. Calorimetry and hess's law i. Calorimetry and hess's law 1. Styrofoam calorimeter, thermometer, watch glass. Show your work for all calculations. When 1.104 grams. Prelab Assignment Calorimetry And Hesss Law.
From slidetodoc.com
Thermodynamics Enthalpy of Reaction Hesss Law PreLab Discussion Prelab Assignment Calorimetry And Hesss Law When 1.104 grams of iron metal are mixed with 26.023 grams of hydrochloric acid in a coffee cup calorimeter,. Calorimetry and hess’s law, online chemistry lab manual. Hess’s law states that if a series of reactions can be added together to make a certain overall reaction, then their enthalpies can also be. Calorimetry and hess's law 1. Calorimetry and law. Prelab Assignment Calorimetry And Hesss Law.
From www.chegg.com
Solved Prelab Assignment Calorimetry and Hess's Law Show Prelab Assignment Calorimetry And Hesss Law Show your work for all calculations. Show your work for all calculations. Show your work for all calculations. A student mixes 1.104 g of iron metal with an excess of 26.023 g of hydrochloric acid in a coffee. Calorimetry and hess's law i. When 1.104 grams of iron metal are mixed with 26.023 grams of hydrochloric acid in a coffee. Prelab Assignment Calorimetry And Hesss Law.
From www.chegg.com
Solved Date Calorimetry and Hess's Law Prelab 1. Zinc metal Prelab Assignment Calorimetry And Hesss Law Delta h (a) + delta h (b) = delta h (c) tools used in the lab. A student mixes 1.104 g of iron metal with an excess of 26.023 g of hydrochloric acid in a coffee. Calorimetry and hess’s law, online chemistry lab manual. This is the prelab for the calorimetry lab. When 1.104 grams of iron metal are mixed. Prelab Assignment Calorimetry And Hesss Law.
From www.chegg.com
25 Name Experiment 2 Calorimetry Hess's Law PreLab Prelab Assignment Calorimetry And Hesss Law Calorimetry and hess's law i. This is the prelab for the calorimetry lab. Styrofoam calorimeter, thermometer, watch glass. Delta h (a) + delta h (b) = delta h (c) tools used in the lab. Show your work for all calculations. Show your work for all calculations. Calorimetry and hess's law 1. When 1.104 grams of iron metal are mixed with. Prelab Assignment Calorimetry And Hesss Law.
From www.studocu.com
Calorimetry and Hess law prelab CHM 2210C Studocu Prelab Assignment Calorimetry And Hesss Law Calorimetry and hess's law 1. Show your work for all calculations. Calorimetry and hess’s law, online chemistry lab manual. Calorimetry and hess's law i. This is the prelab for the calorimetry lab. Show your work for all calculations. Calorimetry and law prelab zinc metal reacts with hydrochloric acid according to the balanced equation: Hess’s law states that if a series. Prelab Assignment Calorimetry And Hesss Law.
From www.studocu.com
Calorimetry/Cal prelab template Calorimetry Determination of Heats of Solution Date submitted Prelab Assignment Calorimetry And Hesss Law Hess’s law states that if a series of reactions can be added together to make a certain overall reaction, then their enthalpies can also be. Calorimetry and law prelab zinc metal reacts with hydrochloric acid according to the balanced equation: Calorimetry and hess's law i. Styrofoam calorimeter, thermometer, watch glass. This is the prelab for the calorimetry lab. Delta h. Prelab Assignment Calorimetry And Hesss Law.
From www.chegg.com
Solved Calorimetry and Hess's Law Prelab 1. Zinc metal Prelab Assignment Calorimetry And Hesss Law Hess’s law states that if a series of reactions can be added together to make a certain overall reaction, then their enthalpies can also be. Show your work for all calculations. When 1.104 grams of iron metal are mixed with 26.023 grams of hydrochloric acid in a coffee cup calorimeter,. Calorimetry and hess's law 1. Delta h (a) + delta. Prelab Assignment Calorimetry And Hesss Law.
From www.studocu.com
CHM432 Experiment 1 Calorimetry Hess's Law Experiment 1 Calorimetry Hess’s Law Objectives Prelab Assignment Calorimetry And Hesss Law Show your work for all calculations. Delta h (a) + delta h (b) = delta h (c) tools used in the lab. Calorimetry and law prelab zinc metal reacts with hydrochloric acid according to the balanced equation: Show your work for all calculations. Styrofoam calorimeter, thermometer, watch glass. Calorimetry and hess’s law, online chemistry lab manual. When 1.104 grams of. Prelab Assignment Calorimetry And Hesss Law.
From www.chegg.com
Solved prelab 7 Prelab Assignment Studies in Calorimetry Prelab Assignment Calorimetry And Hesss Law When 1.104 grams of iron metal are mixed with 26.023 grams of hydrochloric acid in a coffee cup. Calorimetry and hess's law i. Styrofoam calorimeter, thermometer, watch glass. A student mixes 1.104 g of iron metal with an excess of 26.023 g of hydrochloric acid in a coffee. Calorimetry and hess’s law, online chemistry lab manual. Show your work for. Prelab Assignment Calorimetry And Hesss Law.
From www.chegg.com
Prelab Assignment Calorimetry and Hess's Law 1. Show Prelab Assignment Calorimetry And Hesss Law Calorimetry and law prelab zinc metal reacts with hydrochloric acid according to the balanced equation: When 1.104 grams of iron metal are mixed with 26.023 grams of hydrochloric acid in a coffee cup. Calorimetry and hess's law i. Calorimetry and hess's law 1. Delta h (a) + delta h (b) = delta h (c) tools used in the lab. Calorimetry. Prelab Assignment Calorimetry And Hesss Law.
From www.chegg.com
Prelab Assignment Calorimetry and Hess's Law 1. Show Prelab Assignment Calorimetry And Hesss Law Calorimetry and hess’s law, online chemistry lab manual. A student mixes 1.104 g of iron metal with an excess of 26.023 g of hydrochloric acid in a coffee. Delta h (a) + delta h (b) = delta h (c) tools used in the lab. Calorimetry and hess's law 1. When 1.104 grams of iron metal are mixed with 26.023 grams. Prelab Assignment Calorimetry And Hesss Law.
From slidetodoc.com
Thermodynamics Enthalpy of Reaction Hesss Law PreLab Discussion Prelab Assignment Calorimetry And Hesss Law A student mixes 1.104 g of iron metal with an excess of 26.023 g of hydrochloric acid in a coffee. Calorimetry and hess's law i. This is the prelab for the calorimetry lab. Show your work for all calculations. Hess’s law states that if a series of reactions can be added together to make a certain overall reaction, then their. Prelab Assignment Calorimetry And Hesss Law.
From slidetodoc.com
Thermodynamics Enthalpy of Reaction Hesss Law PreLab Discussion Prelab Assignment Calorimetry And Hesss Law Calorimetry and hess's law i. Calorimetry and hess’s law, online chemistry lab manual. Calorimetry and hess's law 1. When 1.104 grams of iron metal are mixed with 26.023 grams of hydrochloric acid in a coffee cup. A student mixes 1.104 g of iron metal with an excess of 26.023 g of hydrochloric acid in a coffee. Calorimetry and law prelab. Prelab Assignment Calorimetry And Hesss Law.
From www.studocu.com
Lab 4 Hesss Law and Calorimetry Experiment F21 Figure 1. Schematic of Hess’s Law Chemistry Prelab Assignment Calorimetry And Hesss Law Delta h (a) + delta h (b) = delta h (c) tools used in the lab. When 1.104 grams of iron metal are mixed with 26.023 grams of hydrochloric acid in a coffee cup calorimeter,. Calorimetry and hess's law 1. Calorimetry and law prelab zinc metal reacts with hydrochloric acid according to the balanced equation: This is the prelab for. Prelab Assignment Calorimetry And Hesss Law.
From www.studocu.com
Student Notes Part 2 Hess’s Law Calorimetry is an excellent way for chemists to determine Prelab Assignment Calorimetry And Hesss Law Calorimetry and hess’s law, online chemistry lab manual. A student mixes 1.104 g of iron metal with an excess of 26.023 g of hydrochloric acid in a coffee. Calorimetry and hess's law 1. When 1.104 grams of iron metal are mixed with 26.023 grams of hydrochloric acid in a coffee cup. Hess’s law states that if a series of reactions. Prelab Assignment Calorimetry And Hesss Law.
From www.studypool.com
SOLUTION Energy, Thermodynamics, Enthalpy, Hess's Law, and Calorimetry notes Studypool Prelab Assignment Calorimetry And Hesss Law Calorimetry and hess's law i. When 1.104 grams of iron metal are mixed with 26.023 grams of hydrochloric acid in a coffee cup calorimeter,. Calorimetry and hess’s law, online chemistry lab manual. Styrofoam calorimeter, thermometer, watch glass. Calorimetry and law prelab zinc metal reacts with hydrochloric acid according to the balanced equation: Show your work for all calculations. Hess’s law. Prelab Assignment Calorimetry And Hesss Law.
From www.studypool.com
SOLUTION CHEM 162 Calorimetry and Hess’s Law Lab Report Studypool Prelab Assignment Calorimetry And Hesss Law When 1.104 grams of iron metal are mixed with 26.023 grams of hydrochloric acid in a coffee cup. This is the prelab for the calorimetry lab. Show your work for all calculations. Calorimetry and hess's law 1. When 1.104 grams of iron metal are mixed with 26.023 grams of hydrochloric acid in a coffee cup calorimeter,. Delta h (a) +. Prelab Assignment Calorimetry And Hesss Law.
From www.chegg.com
Solved SHOW YOUR WORK PRELAB Exp.9 Hess' Law Calorimetry Prelab Assignment Calorimetry And Hesss Law Show your work for all calculations. Show your work for all calculations. Hess’s law states that if a series of reactions can be added together to make a certain overall reaction, then their enthalpies can also be. This is the prelab for the calorimetry lab. When 1.104 grams of iron metal are mixed with 26.023 grams of hydrochloric acid in. Prelab Assignment Calorimetry And Hesss Law.
From slidetodoc.com
Thermodynamics Enthalpy of Reaction Hesss Law PreLab Discussion Prelab Assignment Calorimetry And Hesss Law Styrofoam calorimeter, thermometer, watch glass. Calorimetry and hess's law i. This is the prelab for the calorimetry lab. Calorimetry and hess's law 1. When 1.104 grams of iron metal are mixed with 26.023 grams of hydrochloric acid in a coffee cup. Calorimetry and hess’s law, online chemistry lab manual. A student mixes 1.104 g of iron metal with an excess. Prelab Assignment Calorimetry And Hesss Law.
From www.chegg.com
Solved Prelab Assignment Expt. 5 Calorimetry and Prelab Assignment Calorimetry And Hesss Law Hess’s law states that if a series of reactions can be added together to make a certain overall reaction, then their enthalpies can also be. Show your work for all calculations. Calorimetry and hess's law 1. Delta h (a) + delta h (b) = delta h (c) tools used in the lab. Calorimetry and hess's law i. Calorimetry and law. Prelab Assignment Calorimetry And Hesss Law.
From www.chegg.com
Solved Lab Section Lab Report Calorimetry and Hess's Law Prelab Assignment Calorimetry And Hesss Law Calorimetry and law prelab zinc metal reacts with hydrochloric acid according to the balanced equation: Styrofoam calorimeter, thermometer, watch glass. Calorimetry and hess’s law, online chemistry lab manual. Show your work for all calculations. Hess’s law states that if a series of reactions can be added together to make a certain overall reaction, then their enthalpies can also be. When. Prelab Assignment Calorimetry And Hesss Law.
From www.transtutors.com
(Get Answer) Prelab Assignment Enthalpy of Reaction Review the sections on... Transtutors Prelab Assignment Calorimetry And Hesss Law Show your work for all calculations. A student mixes 1.104 g of iron metal with an excess of 26.023 g of hydrochloric acid in a coffee. When 1.104 grams of iron metal are mixed with 26.023 grams of hydrochloric acid in a coffee cup calorimeter,. Calorimetry and hess's law 1. Hess’s law states that if a series of reactions can. Prelab Assignment Calorimetry And Hesss Law.
From www.studypool.com
SOLUTION CHEM 162 Calorimetry and Hess’s Law Lab Report Studypool Prelab Assignment Calorimetry And Hesss Law Show your work for all calculations. Show your work for all calculations. This is the prelab for the calorimetry lab. Show your work for all calculations. Calorimetry and law prelab zinc metal reacts with hydrochloric acid according to the balanced equation: When 1.104 grams of iron metal are mixed with 26.023 grams of hydrochloric acid in a coffee cup calorimeter,.. Prelab Assignment Calorimetry And Hesss Law.
From www.chegg.com
Solved Date Prelaboratory Assignment Investigation of Prelab Assignment Calorimetry And Hesss Law Styrofoam calorimeter, thermometer, watch glass. Hess’s law states that if a series of reactions can be added together to make a certain overall reaction, then their enthalpies can also be. A student mixes 1.104 g of iron metal with an excess of 26.023 g of hydrochloric acid in a coffee. Delta h (a) + delta h (b) = delta h. Prelab Assignment Calorimetry And Hesss Law.
From www.youtube.com
Calorimetry and Hess's Law Lab Procedure YouTube Prelab Assignment Calorimetry And Hesss Law Hess’s law states that if a series of reactions can be added together to make a certain overall reaction, then their enthalpies can also be. Calorimetry and hess's law 1. When 1.104 grams of iron metal are mixed with 26.023 grams of hydrochloric acid in a coffee cup. Delta h (a) + delta h (b) = delta h (c) tools. Prelab Assignment Calorimetry And Hesss Law.
From www.chegg.com
Solved Calorimetry and Hess's Law Prelab 1 Zinc metal reacts Prelab Assignment Calorimetry And Hesss Law Calorimetry and hess's law i. Hess’s law states that if a series of reactions can be added together to make a certain overall reaction, then their enthalpies can also be. Calorimetry and hess’s law, online chemistry lab manual. Show your work for all calculations. This is the prelab for the calorimetry lab. Show your work for all calculations. When 1.104. Prelab Assignment Calorimetry And Hesss Law.
From www.chegg.com
Solved Prelab Assignment Calorimetry and Hess's Law 1. Show Prelab Assignment Calorimetry And Hesss Law Show your work for all calculations. When 1.104 grams of iron metal are mixed with 26.023 grams of hydrochloric acid in a coffee cup. Show your work for all calculations. Calorimetry and hess’s law, online chemistry lab manual. Show your work for all calculations. When 1.104 grams of iron metal are mixed with 26.023 grams of hydrochloric acid in a. Prelab Assignment Calorimetry And Hesss Law.