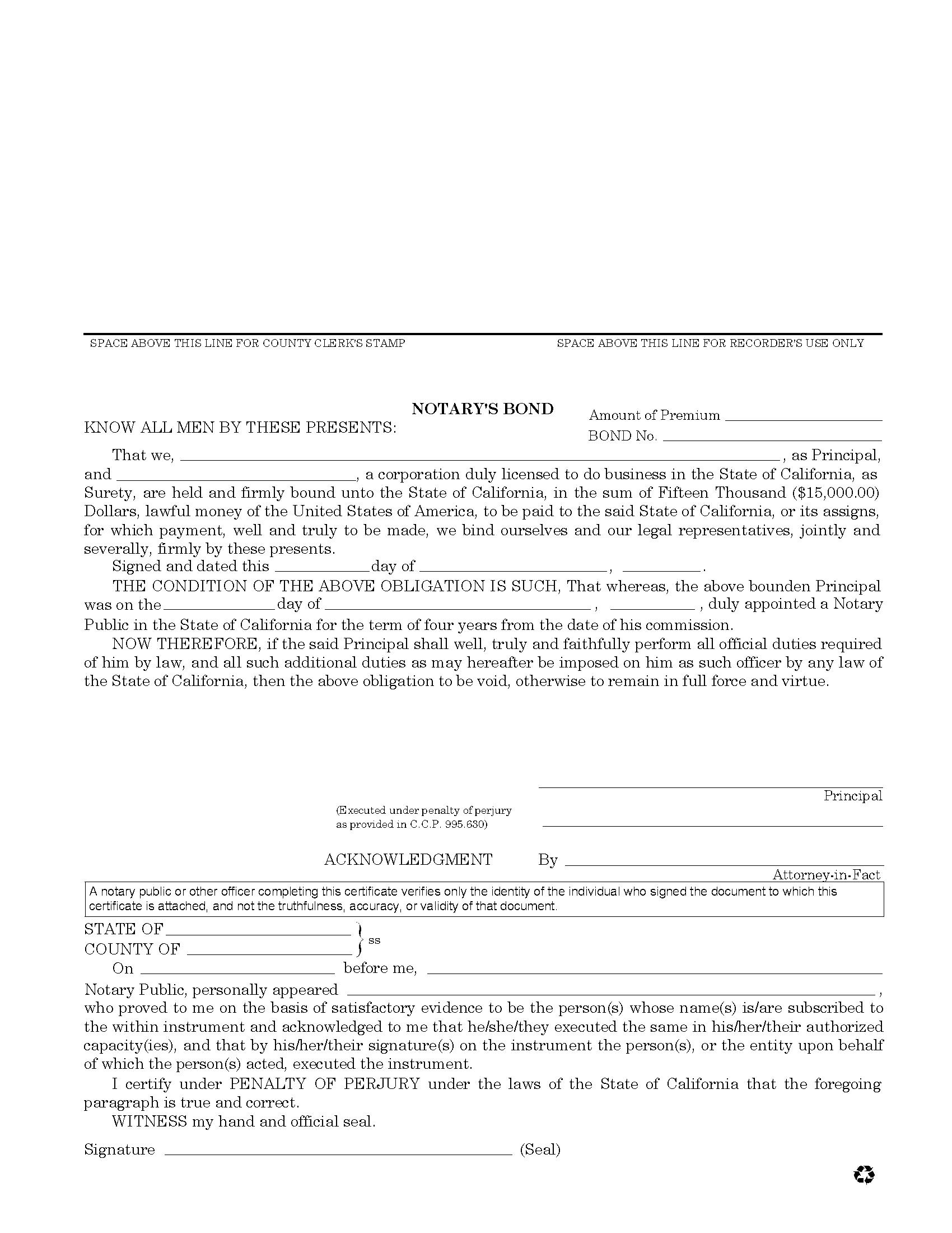
How To Get A Notary Bond In California . The notary public bond is. A notary public must file an oath of office and bond with the county clerk's office in the county where their principal place of business is. The travelers bond and insurance. The state of california requires every notary to purchase a $15,000 surety bond in order to protect the public financially from the possibility of a. Offcial bond in the amount of $15,000. California law requires every notary public to. Notary public bond california law requires every notary public to file an official bond in the amount of $15,000. You also must take a new bond or a duplicate of the original bond and file it together with your oath of office in the new county. The following is a checklist identifying the steps that must be completed to obtain a notary public commission: Add notary e&o insurance covering the term of your commission. The notary public bond is not an.
from www.bondexchange.com
Add notary e&o insurance covering the term of your commission. Offcial bond in the amount of $15,000. The notary public bond is. The following is a checklist identifying the steps that must be completed to obtain a notary public commission: You also must take a new bond or a duplicate of the original bond and file it together with your oath of office in the new county. The notary public bond is not an. The state of california requires every notary to purchase a $15,000 surety bond in order to protect the public financially from the possibility of a. Notary public bond california law requires every notary public to file an official bond in the amount of $15,000. California law requires every notary public to. A notary public must file an oath of office and bond with the county clerk's office in the county where their principal place of business is.
Notary Bond A Comprehensive Guide Bond Exchange
How To Get A Notary Bond In California Notary public bond california law requires every notary public to file an official bond in the amount of $15,000. The following is a checklist identifying the steps that must be completed to obtain a notary public commission: Add notary e&o insurance covering the term of your commission. The travelers bond and insurance. A notary public must file an oath of office and bond with the county clerk's office in the county where their principal place of business is. California law requires every notary public to. The notary public bond is not an. You also must take a new bond or a duplicate of the original bond and file it together with your oath of office in the new county. Notary public bond california law requires every notary public to file an official bond in the amount of $15,000. The notary public bond is. The state of california requires every notary to purchase a $15,000 surety bond in order to protect the public financially from the possibility of a. Offcial bond in the amount of $15,000.
From www.bondrepublic.com
15,000 California Notary Public Bond Bond Republic How To Get A Notary Bond In California The state of california requires every notary to purchase a $15,000 surety bond in order to protect the public financially from the possibility of a. The notary public bond is not an. Offcial bond in the amount of $15,000. The notary public bond is. The travelers bond and insurance. You also must take a new bond or a duplicate of. How To Get A Notary Bond In California.
From executivesuretybonds.com
California Notary Bond (15,000) with E & O Coverage of 30,000 Mail How To Get A Notary Bond In California The notary public bond is. Offcial bond in the amount of $15,000. Add notary e&o insurance covering the term of your commission. The notary public bond is not an. You also must take a new bond or a duplicate of the original bond and file it together with your oath of office in the new county. The travelers bond and. How To Get A Notary Bond In California.
From www.ezsuretybonds.com
California Notary Bonds EZ Surety Bonds How To Get A Notary Bond In California The travelers bond and insurance. Notary public bond california law requires every notary public to file an official bond in the amount of $15,000. Offcial bond in the amount of $15,000. The notary public bond is not an. A notary public must file an oath of office and bond with the county clerk's office in the county where their principal. How To Get A Notary Bond In California.
From notary.net
How to a Notary StepbyStep Process How To Get A Notary Bond In California Offcial bond in the amount of $15,000. California law requires every notary public to. The following is a checklist identifying the steps that must be completed to obtain a notary public commission: Notary public bond california law requires every notary public to file an official bond in the amount of $15,000. The notary public bond is not an. You also. How To Get A Notary Bond In California.
From www.bondexchange.com
California Notary Public Bond A Comprehensive Guide How To Get A Notary Bond In California The notary public bond is not an. California law requires every notary public to. Add notary e&o insurance covering the term of your commission. You also must take a new bond or a duplicate of the original bond and file it together with your oath of office in the new county. The state of california requires every notary to purchase. How To Get A Notary Bond In California.
From notary.net
California Notary Surety Bond Travelers » How To Get A Notary Bond In California The state of california requires every notary to purchase a $15,000 surety bond in order to protect the public financially from the possibility of a. Offcial bond in the amount of $15,000. A notary public must file an oath of office and bond with the county clerk's office in the county where their principal place of business is. The notary. How To Get A Notary Bond In California.
From fatgirldoesmakeup2.blogspot.com
How To Get A Notary License In California 1 Notary services are now How To Get A Notary Bond In California A notary public must file an oath of office and bond with the county clerk's office in the county where their principal place of business is. The notary public bond is not an. California law requires every notary public to. The following is a checklist identifying the steps that must be completed to obtain a notary public commission: Notary public. How To Get A Notary Bond In California.
From notary.net
California Notary New Laws for California Notaries 2017 Bonds How To Get A Notary Bond In California The travelers bond and insurance. The notary public bond is. You also must take a new bond or a duplicate of the original bond and file it together with your oath of office in the new county. The following is a checklist identifying the steps that must be completed to obtain a notary public commission: Add notary e&o insurance covering. How To Get A Notary Bond In California.
From adrtimes.com
What Is a Notary Bond? An InDepth Look ADR Times How To Get A Notary Bond In California A notary public must file an oath of office and bond with the county clerk's office in the county where their principal place of business is. California law requires every notary public to. The notary public bond is. The following is a checklist identifying the steps that must be completed to obtain a notary public commission: The state of california. How To Get A Notary Bond In California.
From axcess-surety.com
California Notary Bond Surety Bonds by Axcess How To Get A Notary Bond In California Notary public bond california law requires every notary public to file an official bond in the amount of $15,000. The travelers bond and insurance. Add notary e&o insurance covering the term of your commission. A notary public must file an oath of office and bond with the county clerk's office in the county where their principal place of business is.. How To Get A Notary Bond In California.
From www.youtube.com
What is a notary bond? [Notary public license requirement!] YouTube How To Get A Notary Bond In California Add notary e&o insurance covering the term of your commission. The travelers bond and insurance. California law requires every notary public to. A notary public must file an oath of office and bond with the county clerk's office in the county where their principal place of business is. Notary public bond california law requires every notary public to file an. How To Get A Notary Bond In California.
From glendale-pasadena-eagle-rock-notary.com
California Notary Acknowledgment Notary Public Forms How To Get A Notary Bond In California You also must take a new bond or a duplicate of the original bond and file it together with your oath of office in the new county. Notary public bond california law requires every notary public to file an official bond in the amount of $15,000. A notary public must file an oath of office and bond with the county. How To Get A Notary Bond In California.
From eforms.com
Free California Notary Acknowledgment Form PDF Word eForms How To Get A Notary Bond In California The state of california requires every notary to purchase a $15,000 surety bond in order to protect the public financially from the possibility of a. The notary public bond is. A notary public must file an oath of office and bond with the county clerk's office in the county where their principal place of business is. Offcial bond in the. How To Get A Notary Bond In California.
From notarypublicclass.com
How to Get Surety Bond for Notary Public The complete Guide How To Get A Notary Bond In California The state of california requires every notary to purchase a $15,000 surety bond in order to protect the public financially from the possibility of a. The notary public bond is. You also must take a new bond or a duplicate of the original bond and file it together with your oath of office in the new county. The travelers bond. How To Get A Notary Bond In California.
From notary.net
California Notary Surety Bond Travelers » How To Get A Notary Bond In California The notary public bond is not an. A notary public must file an oath of office and bond with the county clerk's office in the county where their principal place of business is. Notary public bond california law requires every notary public to file an official bond in the amount of $15,000. The state of california requires every notary to. How To Get A Notary Bond In California.
From www.bondexchange.com
California Notary Public Bond A Comprehensive Guide How To Get A Notary Bond In California California law requires every notary public to. The state of california requires every notary to purchase a $15,000 surety bond in order to protect the public financially from the possibility of a. The notary public bond is not an. The notary public bond is. Offcial bond in the amount of $15,000. Add notary e&o insurance covering the term of your. How To Get A Notary Bond In California.
From www.suretybondsdirect.com
What Is a Notary Bond and Why Do You Need One? How To Get A Notary Bond In California The travelers bond and insurance. A notary public must file an oath of office and bond with the county clerk's office in the county where their principal place of business is. Add notary e&o insurance covering the term of your commission. Offcial bond in the amount of $15,000. You also must take a new bond or a duplicate of the. How To Get A Notary Bond In California.
From jamesrossinsurance.com
California Notary Bond James Ross Insurance How To Get A Notary Bond In California Offcial bond in the amount of $15,000. Notary public bond california law requires every notary public to file an official bond in the amount of $15,000. The travelers bond and insurance. Add notary e&o insurance covering the term of your commission. The notary public bond is. The state of california requires every notary to purchase a $15,000 surety bond in. How To Get A Notary Bond In California.
From notary.net
California Notary Surety Bond Travelers » How To Get A Notary Bond In California Notary public bond california law requires every notary public to file an official bond in the amount of $15,000. A notary public must file an oath of office and bond with the county clerk's office in the county where their principal place of business is. The notary public bond is not an. The travelers bond and insurance. The following is. How To Get A Notary Bond In California.
From notarypublicclass.com
How to a CA notary Notary Public Class How To Get A Notary Bond In California The notary public bond is not an. Notary public bond california law requires every notary public to file an official bond in the amount of $15,000. California law requires every notary public to. Offcial bond in the amount of $15,000. A notary public must file an oath of office and bond with the county clerk's office in the county where. How To Get A Notary Bond In California.
From www.calnotarybonds.com
California Notary Bonds and Insurance Frequently Asked Questions How To Get A Notary Bond In California The travelers bond and insurance. Offcial bond in the amount of $15,000. Notary public bond california law requires every notary public to file an official bond in the amount of $15,000. You also must take a new bond or a duplicate of the original bond and file it together with your oath of office in the new county. California law. How To Get A Notary Bond In California.
From axcess-surety.com
California Notary Bond Surety Bonds by Axcess How To Get A Notary Bond In California A notary public must file an oath of office and bond with the county clerk's office in the county where their principal place of business is. The notary public bond is. Offcial bond in the amount of $15,000. The following is a checklist identifying the steps that must be completed to obtain a notary public commission: Add notary e&o insurance. How To Get A Notary Bond In California.
From www.bondexchange.com
Notary Bond BondExchange How To Get A Notary Bond In California The travelers bond and insurance. Add notary e&o insurance covering the term of your commission. The notary public bond is. California law requires every notary public to. The notary public bond is not an. Offcial bond in the amount of $15,000. Notary public bond california law requires every notary public to file an official bond in the amount of $15,000.. How To Get A Notary Bond In California.
From www.bondrepublic.com
15,000 California Notary Public Bond Bond Republic How To Get A Notary Bond In California You also must take a new bond or a duplicate of the original bond and file it together with your oath of office in the new county. Notary public bond california law requires every notary public to file an official bond in the amount of $15,000. The travelers bond and insurance. The state of california requires every notary to purchase. How To Get A Notary Bond In California.
From www.notarystamp.com
California Notary Bond (15,000, 4 years) How To Get A Notary Bond In California Notary public bond california law requires every notary public to file an official bond in the amount of $15,000. California law requires every notary public to. Offcial bond in the amount of $15,000. The notary public bond is. The travelers bond and insurance. You also must take a new bond or a duplicate of the original bond and file it. How To Get A Notary Bond In California.
From calnotaryclass.com
California Notary Bond How To Get A Notary Bond In California The notary public bond is not an. The following is a checklist identifying the steps that must be completed to obtain a notary public commission: A notary public must file an oath of office and bond with the county clerk's office in the county where their principal place of business is. The state of california requires every notary to purchase. How To Get A Notary Bond In California.
From zipbonds.com
What Is a Notary Bond? ZipBonds How To Get A Notary Bond In California You also must take a new bond or a duplicate of the original bond and file it together with your oath of office in the new county. Add notary e&o insurance covering the term of your commission. The notary public bond is not an. A notary public must file an oath of office and bond with the county clerk's office. How To Get A Notary Bond In California.
From www.massbond.com
California Notary’s Bond MassBond How To Get A Notary Bond In California Add notary e&o insurance covering the term of your commission. California law requires every notary public to. The following is a checklist identifying the steps that must be completed to obtain a notary public commission: The state of california requires every notary to purchase a $15,000 surety bond in order to protect the public financially from the possibility of a.. How To Get A Notary Bond In California.
From www.youtube.com
What is a Notary Bond?California Notary YouTube How To Get A Notary Bond In California The notary public bond is not an. You also must take a new bond or a duplicate of the original bond and file it together with your oath of office in the new county. The following is a checklist identifying the steps that must be completed to obtain a notary public commission: Add notary e&o insurance covering the term of. How To Get A Notary Bond In California.
From swiftbonds.com
California Notary Bond 15,000 with 15,000 E&O Swiftbonds How To Get A Notary Bond In California California law requires every notary public to. The following is a checklist identifying the steps that must be completed to obtain a notary public commission: You also must take a new bond or a duplicate of the original bond and file it together with your oath of office in the new county. The state of california requires every notary to. How To Get A Notary Bond In California.
From www.bondexchange.com
Notary Bond A Comprehensive Guide Bond Exchange How To Get A Notary Bond In California Add notary e&o insurance covering the term of your commission. A notary public must file an oath of office and bond with the county clerk's office in the county where their principal place of business is. California law requires every notary public to. The notary public bond is not an. The notary public bond is. The state of california requires. How To Get A Notary Bond In California.
From calnotaryclass.com
How to a Notary Public in California How To Get A Notary Bond In California California law requires every notary public to. The following is a checklist identifying the steps that must be completed to obtain a notary public commission: The state of california requires every notary to purchase a $15,000 surety bond in order to protect the public financially from the possibility of a. Add notary e&o insurance covering the term of your commission.. How To Get A Notary Bond In California.
From blog.certifixlivescan.com
Notary Public Services in California [Ultimate Guide] Certifix Live How To Get A Notary Bond In California The notary public bond is. The following is a checklist identifying the steps that must be completed to obtain a notary public commission: The notary public bond is not an. The state of california requires every notary to purchase a $15,000 surety bond in order to protect the public financially from the possibility of a. Offcial bond in the amount. How To Get A Notary Bond In California.
From executivesuretybonds.com
California Notary Bond (15,000) with E & O Coverage of 30,000 Mail How To Get A Notary Bond In California California law requires every notary public to. The travelers bond and insurance. The state of california requires every notary to purchase a $15,000 surety bond in order to protect the public financially from the possibility of a. Notary public bond california law requires every notary public to file an official bond in the amount of $15,000. Add notary e&o insurance. How To Get A Notary Bond In California.
From www.massbond.com
California Notary’s Bond MassBond How To Get A Notary Bond In California A notary public must file an oath of office and bond with the county clerk's office in the county where their principal place of business is. The travelers bond and insurance. Notary public bond california law requires every notary public to file an official bond in the amount of $15,000. California law requires every notary public to. The state of. How To Get A Notary Bond In California.