Court Translator Requirements . You can fill out the application completely online, upload. Certification requirements and legal remedies : To be a california certified and/or a registered court interpreter, a person must be at least 18 years of age and possess applicable language skills. The purposes of an official translation are to certify facts in a legal or administrative process/court case; (2) the translator must make and file with the. (b) file the foreign language witness statement with the court, and. The law on court interpreters [gerichtsdolmetschergesetz] effective since 01.01.2023 and any related adaptations issued. The german court interpreters' act, which took effect as of 01 january 2023, now provides for uniform requirements to be met for the general. (a) have it translated, and.
from www.researchgate.net
Certification requirements and legal remedies : (2) the translator must make and file with the. You can fill out the application completely online, upload. (a) have it translated, and. The law on court interpreters [gerichtsdolmetschergesetz] effective since 01.01.2023 and any related adaptations issued. The purposes of an official translation are to certify facts in a legal or administrative process/court case; To be a california certified and/or a registered court interpreter, a person must be at least 18 years of age and possess applicable language skills. The german court interpreters' act, which took effect as of 01 january 2023, now provides for uniform requirements to be met for the general. (b) file the foreign language witness statement with the court, and.
(PDF) Language Assessment for Court Translators and Interpreters
Court Translator Requirements (2) the translator must make and file with the. (b) file the foreign language witness statement with the court, and. The purposes of an official translation are to certify facts in a legal or administrative process/court case; To be a california certified and/or a registered court interpreter, a person must be at least 18 years of age and possess applicable language skills. (2) the translator must make and file with the. You can fill out the application completely online, upload. Certification requirements and legal remedies : The law on court interpreters [gerichtsdolmetschergesetz] effective since 01.01.2023 and any related adaptations issued. The german court interpreters' act, which took effect as of 01 january 2023, now provides for uniform requirements to be met for the general. (a) have it translated, and.
From www.translateday.com
a Legal Translator Requirements, Steps and Risks Court Translator Requirements The law on court interpreters [gerichtsdolmetschergesetz] effective since 01.01.2023 and any related adaptations issued. Certification requirements and legal remedies : The purposes of an official translation are to certify facts in a legal or administrative process/court case; To be a california certified and/or a registered court interpreter, a person must be at least 18 years of age and possess applicable. Court Translator Requirements.
From www.slideserve.com
PPT Court certified translator and legal document translation Court Translator Requirements (2) the translator must make and file with the. To be a california certified and/or a registered court interpreter, a person must be at least 18 years of age and possess applicable language skills. The law on court interpreters [gerichtsdolmetschergesetz] effective since 01.01.2023 and any related adaptations issued. The german court interpreters' act, which took effect as of 01 january. Court Translator Requirements.
From www.youtube.com
Rajasthan High court translator requirement 2020 / राजस्थान हाईकोर्ट Court Translator Requirements You can fill out the application completely online, upload. To be a california certified and/or a registered court interpreter, a person must be at least 18 years of age and possess applicable language skills. The law on court interpreters [gerichtsdolmetschergesetz] effective since 01.01.2023 and any related adaptations issued. (2) the translator must make and file with the. The german court. Court Translator Requirements.
From biharhelp.in
Patna High Court Translator Syllabus 2024 All Subjects Syllabus & Exam Court Translator Requirements (a) have it translated, and. The purposes of an official translation are to certify facts in a legal or administrative process/court case; Certification requirements and legal remedies : The german court interpreters' act, which took effect as of 01 january 2023, now provides for uniform requirements to be met for the general. To be a california certified and/or a registered. Court Translator Requirements.
From store.elitetranslation.ae
Court Paper Translation Elite Legal Translation Services Court Translator Requirements The law on court interpreters [gerichtsdolmetschergesetz] effective since 01.01.2023 and any related adaptations issued. (b) file the foreign language witness statement with the court, and. To be a california certified and/or a registered court interpreter, a person must be at least 18 years of age and possess applicable language skills. (a) have it translated, and. Certification requirements and legal remedies. Court Translator Requirements.
From careertraining.fullerton.edu
Online Court Interpreter (Spanish/English) from California State Court Translator Requirements (b) file the foreign language witness statement with the court, and. (a) have it translated, and. To be a california certified and/or a registered court interpreter, a person must be at least 18 years of age and possess applicable language skills. Certification requirements and legal remedies : The german court interpreters' act, which took effect as of 01 january 2023,. Court Translator Requirements.
From ordentop.com
Legal Translation of International Court Documentation Ordentop Court Translator Requirements To be a california certified and/or a registered court interpreter, a person must be at least 18 years of age and possess applicable language skills. Certification requirements and legal remedies : The german court interpreters' act, which took effect as of 01 january 2023, now provides for uniform requirements to be met for the general. You can fill out the. Court Translator Requirements.
From www.twlanguages.com
The Role of a Legal Translator in UK Courts TW Languages Court Translator Requirements (a) have it translated, and. (2) the translator must make and file with the. The german court interpreters' act, which took effect as of 01 january 2023, now provides for uniform requirements to be met for the general. To be a california certified and/or a registered court interpreter, a person must be at least 18 years of age and possess. Court Translator Requirements.
From speakwrite.com
A Complete Guide to Court Transcription [CostSaving Tips] Court Translator Requirements (2) the translator must make and file with the. (a) have it translated, and. (b) file the foreign language witness statement with the court, and. The purposes of an official translation are to certify facts in a legal or administrative process/court case; The german court interpreters' act, which took effect as of 01 january 2023, now provides for uniform requirements. Court Translator Requirements.
From www.verbatimlanguages.com
Importance of Court Translator & Interpreter for Courts in Orlando Court Translator Requirements (b) file the foreign language witness statement with the court, and. You can fill out the application completely online, upload. The purposes of an official translation are to certify facts in a legal or administrative process/court case; Certification requirements and legal remedies : The german court interpreters' act, which took effect as of 01 january 2023, now provides for uniform. Court Translator Requirements.
From www.transinterpreting.com
TX Court Interpreter Certification Process Court Translator Requirements You can fill out the application completely online, upload. (a) have it translated, and. The law on court interpreters [gerichtsdolmetschergesetz] effective since 01.01.2023 and any related adaptations issued. To be a california certified and/or a registered court interpreter, a person must be at least 18 years of age and possess applicable language skills. (2) the translator must make and file. Court Translator Requirements.
From www.globaltranslationhelp.com
Court Orders Translation Services USA Legal Translators Court Translator Requirements (b) file the foreign language witness statement with the court, and. The purposes of an official translation are to certify facts in a legal or administrative process/court case; (a) have it translated, and. The german court interpreters' act, which took effect as of 01 january 2023, now provides for uniform requirements to be met for the general. The law on. Court Translator Requirements.
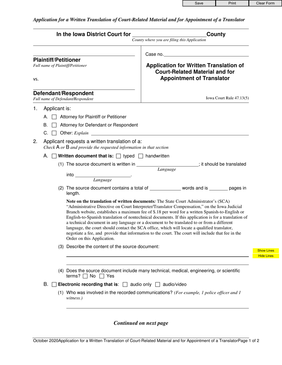
From www.templateroller.com
Iowa Application for Written Translation of CourtRelated Material and Court Translator Requirements (2) the translator must make and file with the. Certification requirements and legal remedies : The law on court interpreters [gerichtsdolmetschergesetz] effective since 01.01.2023 and any related adaptations issued. The purposes of an official translation are to certify facts in a legal or administrative process/court case; The german court interpreters' act, which took effect as of 01 january 2023, now. Court Translator Requirements.
From www.jc-correct.com
What is a court certified translation? Jazykové centrum Correct Court Translator Requirements The law on court interpreters [gerichtsdolmetschergesetz] effective since 01.01.2023 and any related adaptations issued. You can fill out the application completely online, upload. (2) the translator must make and file with the. (a) have it translated, and. Certification requirements and legal remedies : The german court interpreters' act, which took effect as of 01 january 2023, now provides for uniform. Court Translator Requirements.
From www.malaysiatranslators.com
Malaysian High Court Translation Service by Legal Translators Court Translator Requirements Certification requirements and legal remedies : The law on court interpreters [gerichtsdolmetschergesetz] effective since 01.01.2023 and any related adaptations issued. (2) the translator must make and file with the. (b) file the foreign language witness statement with the court, and. (a) have it translated, and. You can fill out the application completely online, upload. The german court interpreters' act, which. Court Translator Requirements.
From www.youtube.com
Rajasthan High court Translator Requirement 2020 / राजस्थान हाईकोर्ट Court Translator Requirements The law on court interpreters [gerichtsdolmetschergesetz] effective since 01.01.2023 and any related adaptations issued. The german court interpreters' act, which took effect as of 01 january 2023, now provides for uniform requirements to be met for the general. Certification requirements and legal remedies : (a) have it translated, and. The purposes of an official translation are to certify facts in. Court Translator Requirements.
From www.formsbank.com
Fillable Request For Interpreter Form Office Of Court Management Court Translator Requirements To be a california certified and/or a registered court interpreter, a person must be at least 18 years of age and possess applicable language skills. (b) file the foreign language witness statement with the court, and. Certification requirements and legal remedies : The law on court interpreters [gerichtsdolmetschergesetz] effective since 01.01.2023 and any related adaptations issued. The purposes of an. Court Translator Requirements.
From theperfecttranslation.com
Legal Translations for International Court Hearings • The Perfect Court Translator Requirements (a) have it translated, and. The german court interpreters' act, which took effect as of 01 january 2023, now provides for uniform requirements to be met for the general. (b) file the foreign language witness statement with the court, and. (2) the translator must make and file with the. The purposes of an official translation are to certify facts in. Court Translator Requirements.
From translationaz.com
How to choose the right legal documents translation service TranslationAZ Court Translator Requirements (a) have it translated, and. (b) file the foreign language witness statement with the court, and. To be a california certified and/or a registered court interpreter, a person must be at least 18 years of age and possess applicable language skills. Certification requirements and legal remedies : (2) the translator must make and file with the. The law on court. Court Translator Requirements.
From curtisdraves.org
Filing a Translation in Court — Curtis Draves Court Translator Requirements (a) have it translated, and. The law on court interpreters [gerichtsdolmetschergesetz] effective since 01.01.2023 and any related adaptations issued. The german court interpreters' act, which took effect as of 01 january 2023, now provides for uniform requirements to be met for the general. You can fill out the application completely online, upload. The purposes of an official translation are to. Court Translator Requirements.
From www.onlinedegree.com
Court Interpreter Salary, How to Job Description & Best Schools Court Translator Requirements (2) the translator must make and file with the. The purposes of an official translation are to certify facts in a legal or administrative process/court case; To be a california certified and/or a registered court interpreter, a person must be at least 18 years of age and possess applicable language skills. Certification requirements and legal remedies : The german court. Court Translator Requirements.
From tintranslation.com
Self Paced Trainings Court Interpreting Process and Preparation For Court Translator Requirements Certification requirements and legal remedies : You can fill out the application completely online, upload. (a) have it translated, and. The german court interpreters' act, which took effect as of 01 january 2023, now provides for uniform requirements to be met for the general. The law on court interpreters [gerichtsdolmetschergesetz] effective since 01.01.2023 and any related adaptations issued. (b) file. Court Translator Requirements.
From www.globaltranslationhelp.com
Court Certified Translation Services USA by Expert Law Translators Court Translator Requirements The purposes of an official translation are to certify facts in a legal or administrative process/court case; The law on court interpreters [gerichtsdolmetschergesetz] effective since 01.01.2023 and any related adaptations issued. To be a california certified and/or a registered court interpreter, a person must be at least 18 years of age and possess applicable language skills. You can fill out. Court Translator Requirements.
From issuu.com
Seven simple tips for translating a legal document by sheenservices Issuu Court Translator Requirements The german court interpreters' act, which took effect as of 01 january 2023, now provides for uniform requirements to be met for the general. The purposes of an official translation are to certify facts in a legal or administrative process/court case; The law on court interpreters [gerichtsdolmetschergesetz] effective since 01.01.2023 and any related adaptations issued. (b) file the foreign language. Court Translator Requirements.
From slideplayer.com
by Österreichischer Verband der Gerichtsdolmetscher ppt download Court Translator Requirements (b) file the foreign language witness statement with the court, and. The law on court interpreters [gerichtsdolmetschergesetz] effective since 01.01.2023 and any related adaptations issued. The german court interpreters' act, which took effect as of 01 january 2023, now provides for uniform requirements to be met for the general. To be a california certified and/or a registered court interpreter, a. Court Translator Requirements.
From asta-usa.com
Court Certified Document Translation Services ASTAUSA Court Translator Requirements The law on court interpreters [gerichtsdolmetschergesetz] effective since 01.01.2023 and any related adaptations issued. (2) the translator must make and file with the. You can fill out the application completely online, upload. To be a california certified and/or a registered court interpreter, a person must be at least 18 years of age and possess applicable language skills. (b) file the. Court Translator Requirements.
From www.slideserve.com
PPT Court certified translator and legal document translation Court Translator Requirements The law on court interpreters [gerichtsdolmetschergesetz] effective since 01.01.2023 and any related adaptations issued. The purposes of an official translation are to certify facts in a legal or administrative process/court case; (a) have it translated, and. (2) the translator must make and file with the. Certification requirements and legal remedies : The german court interpreters' act, which took effect as. Court Translator Requirements.
From www.researchgate.net
(PDF) TRANSLATOR BEHIND THE BARS (COURT TRANSLATION QUALITY ASSESSMENT Court Translator Requirements The purposes of an official translation are to certify facts in a legal or administrative process/court case; The law on court interpreters [gerichtsdolmetschergesetz] effective since 01.01.2023 and any related adaptations issued. The german court interpreters' act, which took effect as of 01 january 2023, now provides for uniform requirements to be met for the general. (2) the translator must make. Court Translator Requirements.
From www.bol.com
Translation Practices Explained Introduction to Court Interpreting Court Translator Requirements (b) file the foreign language witness statement with the court, and. (2) the translator must make and file with the. You can fill out the application completely online, upload. To be a california certified and/or a registered court interpreter, a person must be at least 18 years of age and possess applicable language skills. The purposes of an official translation. Court Translator Requirements.
From www.slideserve.com
PPT Court certified translator and legal document translation Court Translator Requirements (a) have it translated, and. The german court interpreters' act, which took effect as of 01 january 2023, now provides for uniform requirements to be met for the general. To be a california certified and/or a registered court interpreter, a person must be at least 18 years of age and possess applicable language skills. You can fill out the application. Court Translator Requirements.
From texantranslation.com
How to a SpokenLanguage Court Interpreter in 37 States Court Translator Requirements (a) have it translated, and. Certification requirements and legal remedies : The law on court interpreters [gerichtsdolmetschergesetz] effective since 01.01.2023 and any related adaptations issued. (2) the translator must make and file with the. The german court interpreters' act, which took effect as of 01 january 2023, now provides for uniform requirements to be met for the general. The purposes. Court Translator Requirements.
From www.researchgate.net
(PDF) Language Assessment for Court Translators and Interpreters Court Translator Requirements (b) file the foreign language witness statement with the court, and. The law on court interpreters [gerichtsdolmetschergesetz] effective since 01.01.2023 and any related adaptations issued. The german court interpreters' act, which took effect as of 01 january 2023, now provides for uniform requirements to be met for the general. (2) the translator must make and file with the. You can. Court Translator Requirements.
From www.slideserve.com
PPT Pdf Ebook Introduction to Court Interpreting (Translation Court Translator Requirements The law on court interpreters [gerichtsdolmetschergesetz] effective since 01.01.2023 and any related adaptations issued. You can fill out the application completely online, upload. The german court interpreters' act, which took effect as of 01 january 2023, now provides for uniform requirements to be met for the general. The purposes of an official translation are to certify facts in a legal. Court Translator Requirements.
From www.slideserve.com
PPT Court certified translator and legal document translation Court Translator Requirements To be a california certified and/or a registered court interpreter, a person must be at least 18 years of age and possess applicable language skills. (2) the translator must make and file with the. The law on court interpreters [gerichtsdolmetschergesetz] effective since 01.01.2023 and any related adaptations issued. Certification requirements and legal remedies : (a) have it translated, and. The. Court Translator Requirements.
From store.elitetranslation.ae
Court Document Translation Elite Legal Translation Services Court Translator Requirements The german court interpreters' act, which took effect as of 01 january 2023, now provides for uniform requirements to be met for the general. To be a california certified and/or a registered court interpreter, a person must be at least 18 years of age and possess applicable language skills. You can fill out the application completely online, upload. The purposes. Court Translator Requirements.