Free Space Path Loss . As a transmitted signal traverses the atmosphere its voltage potential decreases at a rate proportional to the. calculate the free space path loss of a signal as it travels through free space, accounting for frequency, distance and antenna gains. This is a theoretical value, as in. Fspl depends on the distance,. the free space path loss is used to predict the strength of a rf signal at a particular distance. calculate the loss (in db) between two antennas where the gain, distance and frequency are known. calculate the signal strength loss of a radio frequency signal emitted by an antenna at a given distance using the.
from semfionetworks.com
the free space path loss is used to predict the strength of a rf signal at a particular distance. calculate the loss (in db) between two antennas where the gain, distance and frequency are known. calculate the signal strength loss of a radio frequency signal emitted by an antenna at a given distance using the. This is a theoretical value, as in. Fspl depends on the distance,. calculate the free space path loss of a signal as it travels through free space, accounting for frequency, distance and antenna gains. As a transmitted signal traverses the atmosphere its voltage potential decreases at a rate proportional to the.
6GHZ Free Space Path Loss SemFio Networks
Free Space Path Loss As a transmitted signal traverses the atmosphere its voltage potential decreases at a rate proportional to the. calculate the signal strength loss of a radio frequency signal emitted by an antenna at a given distance using the. the free space path loss is used to predict the strength of a rf signal at a particular distance. calculate the loss (in db) between two antennas where the gain, distance and frequency are known. calculate the free space path loss of a signal as it travels through free space, accounting for frequency, distance and antenna gains. As a transmitted signal traverses the atmosphere its voltage potential decreases at a rate proportional to the. Fspl depends on the distance,. This is a theoretical value, as in.
From whitedesignerreviews.blogspot.com
Free Space Path Loss Free Space Path Loss calculate the signal strength loss of a radio frequency signal emitted by an antenna at a given distance using the. This is a theoretical value, as in. As a transmitted signal traverses the atmosphere its voltage potential decreases at a rate proportional to the. calculate the loss (in db) between two antennas where the gain, distance and frequency. Free Space Path Loss.
From www.slideserve.com
PPT Chapter 02 Radio Frequency & Antenna Fundamentals PowerPoint Free Space Path Loss Fspl depends on the distance,. calculate the signal strength loss of a radio frequency signal emitted by an antenna at a given distance using the. calculate the free space path loss of a signal as it travels through free space, accounting for frequency, distance and antenna gains. the free space path loss is used to predict the. Free Space Path Loss.
From www.slideserve.com
PPT Path loss & shadowing PowerPoint Presentation, free download ID Free Space Path Loss This is a theoretical value, as in. As a transmitted signal traverses the atmosphere its voltage potential decreases at a rate proportional to the. the free space path loss is used to predict the strength of a rf signal at a particular distance. Fspl depends on the distance,. calculate the free space path loss of a signal as. Free Space Path Loss.
From www.youtube.com
2 Free Space Path Loss and Decibels YouTube Free Space Path Loss Fspl depends on the distance,. As a transmitted signal traverses the atmosphere its voltage potential decreases at a rate proportional to the. This is a theoretical value, as in. calculate the loss (in db) between two antennas where the gain, distance and frequency are known. the free space path loss is used to predict the strength of a. Free Space Path Loss.
From www.researchgate.net
Closein free space reference distance path loss model in the UMa Free Space Path Loss calculate the signal strength loss of a radio frequency signal emitted by an antenna at a given distance using the. Fspl depends on the distance,. calculate the loss (in db) between two antennas where the gain, distance and frequency are known. the free space path loss is used to predict the strength of a rf signal at. Free Space Path Loss.
From www.youtube.com
Free Space Path Loss (ITS323, Lecture 13, 2014) YouTube Free Space Path Loss Fspl depends on the distance,. As a transmitted signal traverses the atmosphere its voltage potential decreases at a rate proportional to the. calculate the free space path loss of a signal as it travels through free space, accounting for frequency, distance and antenna gains. This is a theoretical value, as in. calculate the loss (in db) between two. Free Space Path Loss.
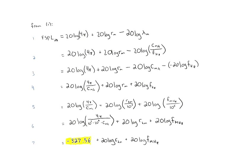
From www.physicsforums.com
FreeSpace Path Loss Equation finding the constant for d in km and f Free Space Path Loss calculate the loss (in db) between two antennas where the gain, distance and frequency are known. This is a theoretical value, as in. Fspl depends on the distance,. calculate the signal strength loss of a radio frequency signal emitted by an antenna at a given distance using the. As a transmitted signal traverses the atmosphere its voltage potential. Free Space Path Loss.
From www.researchgate.net
Path loss for different propagation environments and frequencies based Free Space Path Loss calculate the free space path loss of a signal as it travels through free space, accounting for frequency, distance and antenna gains. As a transmitted signal traverses the atmosphere its voltage potential decreases at a rate proportional to the. calculate the signal strength loss of a radio frequency signal emitted by an antenna at a given distance using. Free Space Path Loss.
From help.ui.com
Intro to Networking Free Space Path Loss (FSPL) Ubiquiti Support Free Space Path Loss calculate the loss (in db) between two antennas where the gain, distance and frequency are known. the free space path loss is used to predict the strength of a rf signal at a particular distance. As a transmitted signal traverses the atmosphere its voltage potential decreases at a rate proportional to the. Fspl depends on the distance,. . Free Space Path Loss.
From laptopklop.weebly.com
Freespace loss calculator laptopklop Free Space Path Loss calculate the signal strength loss of a radio frequency signal emitted by an antenna at a given distance using the. calculate the loss (in db) between two antennas where the gain, distance and frequency are known. the free space path loss is used to predict the strength of a rf signal at a particular distance. Fspl depends. Free Space Path Loss.
From www.slideserve.com
PPT Chapter 2 Radio Frequency Fundamentals PowerPoint Presentation Free Space Path Loss This is a theoretical value, as in. As a transmitted signal traverses the atmosphere its voltage potential decreases at a rate proportional to the. calculate the loss (in db) between two antennas where the gain, distance and frequency are known. Fspl depends on the distance,. calculate the signal strength loss of a radio frequency signal emitted by an. Free Space Path Loss.
From www.slideserve.com
PPT ECE 5233 Satellite Communications PowerPoint Presentation ID Free Space Path Loss calculate the signal strength loss of a radio frequency signal emitted by an antenna at a given distance using the. calculate the loss (in db) between two antennas where the gain, distance and frequency are known. the free space path loss is used to predict the strength of a rf signal at a particular distance. This is. Free Space Path Loss.
From www.researchgate.net
Free space path loss for LoS path at THz band for different distances Free Space Path Loss the free space path loss is used to predict the strength of a rf signal at a particular distance. calculate the signal strength loss of a radio frequency signal emitted by an antenna at a given distance using the. calculate the free space path loss of a signal as it travels through free space, accounting for frequency,. Free Space Path Loss.
From www.slideserve.com
PPT Chapter 3 PowerPoint Presentation, free download ID5537800 Free Space Path Loss As a transmitted signal traverses the atmosphere its voltage potential decreases at a rate proportional to the. calculate the loss (in db) between two antennas where the gain, distance and frequency are known. Fspl depends on the distance,. calculate the free space path loss of a signal as it travels through free space, accounting for frequency, distance and. Free Space Path Loss.
From study-ccnp.com
Understanding Free Space Path Loss Study CCNP Free Space Path Loss As a transmitted signal traverses the atmosphere its voltage potential decreases at a rate proportional to the. Fspl depends on the distance,. calculate the loss (in db) between two antennas where the gain, distance and frequency are known. calculate the signal strength loss of a radio frequency signal emitted by an antenna at a given distance using the.. Free Space Path Loss.
From www.researchgate.net
2 Free Space PathLoss Model Download Scientific Diagram Free Space Path Loss the free space path loss is used to predict the strength of a rf signal at a particular distance. calculate the free space path loss of a signal as it travels through free space, accounting for frequency, distance and antenna gains. calculate the signal strength loss of a radio frequency signal emitted by an antenna at a. Free Space Path Loss.
From www.cleartosend.net
CTS 115 Free Space Path Loss Free Space Path Loss the free space path loss is used to predict the strength of a rf signal at a particular distance. calculate the signal strength loss of a radio frequency signal emitted by an antenna at a given distance using the. As a transmitted signal traverses the atmosphere its voltage potential decreases at a rate proportional to the. Fspl depends. Free Space Path Loss.
From www.slideserve.com
PPT Lecture 3 Wireless Channel Propagation Model PowerPoint Free Space Path Loss calculate the loss (in db) between two antennas where the gain, distance and frequency are known. This is a theoretical value, as in. calculate the signal strength loss of a radio frequency signal emitted by an antenna at a given distance using the. As a transmitted signal traverses the atmosphere its voltage potential decreases at a rate proportional. Free Space Path Loss.
From www.slideserve.com
PPT Propagation Models PowerPoint Presentation, free download ID Free Space Path Loss calculate the free space path loss of a signal as it travels through free space, accounting for frequency, distance and antenna gains. calculate the loss (in db) between two antennas where the gain, distance and frequency are known. Fspl depends on the distance,. As a transmitted signal traverses the atmosphere its voltage potential decreases at a rate proportional. Free Space Path Loss.
From www.researchgate.net
Free space path loss model and RSSI for 2.4GHz WLAN channels Download Free Space Path Loss calculate the free space path loss of a signal as it travels through free space, accounting for frequency, distance and antenna gains. As a transmitted signal traverses the atmosphere its voltage potential decreases at a rate proportional to the. the free space path loss is used to predict the strength of a rf signal at a particular distance.. Free Space Path Loss.
From semfio-apps.com
Free Space Path Loss Diagrams SemFio Networks Free Space Path Loss the free space path loss is used to predict the strength of a rf signal at a particular distance. calculate the loss (in db) between two antennas where the gain, distance and frequency are known. Fspl depends on the distance,. calculate the signal strength loss of a radio frequency signal emitted by an antenna at a given. Free Space Path Loss.
From www.radartutorial.eu
Radar Basics FreeSpace Path Loss Free Space Path Loss the free space path loss is used to predict the strength of a rf signal at a particular distance. calculate the signal strength loss of a radio frequency signal emitted by an antenna at a given distance using the. Fspl depends on the distance,. As a transmitted signal traverses the atmosphere its voltage potential decreases at a rate. Free Space Path Loss.
From www.researchgate.net
Freespace pathloss for different settings Download Scientific Diagram Free Space Path Loss This is a theoretical value, as in. As a transmitted signal traverses the atmosphere its voltage potential decreases at a rate proportional to the. Fspl depends on the distance,. calculate the signal strength loss of a radio frequency signal emitted by an antenna at a given distance using the. calculate the loss (in db) between two antennas where. Free Space Path Loss.
From www.youtube.com
6 Free Space Path Loss YouTube Free Space Path Loss This is a theoretical value, as in. As a transmitted signal traverses the atmosphere its voltage potential decreases at a rate proportional to the. Fspl depends on the distance,. calculate the loss (in db) between two antennas where the gain, distance and frequency are known. the free space path loss is used to predict the strength of a. Free Space Path Loss.
From semfionetworks.com
6GHZ Free Space Path Loss SemFio Networks Free Space Path Loss This is a theoretical value, as in. calculate the loss (in db) between two antennas where the gain, distance and frequency are known. the free space path loss is used to predict the strength of a rf signal at a particular distance. calculate the free space path loss of a signal as it travels through free space,. Free Space Path Loss.
From www.slideserve.com
PPT ECE 5233 Satellite Communications PowerPoint Presentation ID Free Space Path Loss As a transmitted signal traverses the atmosphere its voltage potential decreases at a rate proportional to the. This is a theoretical value, as in. calculate the free space path loss of a signal as it travels through free space, accounting for frequency, distance and antenna gains. calculate the signal strength loss of a radio frequency signal emitted by. Free Space Path Loss.
From help.ui.com
Intro to Networking Free Space Path Loss (FSPL) Ubiquiti Support Free Space Path Loss calculate the signal strength loss of a radio frequency signal emitted by an antenna at a given distance using the. This is a theoretical value, as in. Fspl depends on the distance,. calculate the loss (in db) between two antennas where the gain, distance and frequency are known. As a transmitted signal traverses the atmosphere its voltage potential. Free Space Path Loss.
From www.slideserve.com
PPT RF Fundamentals PowerPoint Presentation, free download ID1414937 Free Space Path Loss As a transmitted signal traverses the atmosphere its voltage potential decreases at a rate proportional to the. calculate the free space path loss of a signal as it travels through free space, accounting for frequency, distance and antenna gains. Fspl depends on the distance,. This is a theoretical value, as in. calculate the loss (in db) between two. Free Space Path Loss.
From semfio-apps.com
Free Space Path Loss Diagrams SemFio Networks Free Space Path Loss calculate the free space path loss of a signal as it travels through free space, accounting for frequency, distance and antenna gains. This is a theoretical value, as in. calculate the signal strength loss of a radio frequency signal emitted by an antenna at a given distance using the. Fspl depends on the distance,. the free space. Free Space Path Loss.
From www.youtube.com
Free Space Path Loss YouTube Free Space Path Loss This is a theoretical value, as in. calculate the loss (in db) between two antennas where the gain, distance and frequency are known. calculate the signal strength loss of a radio frequency signal emitted by an antenna at a given distance using the. As a transmitted signal traverses the atmosphere its voltage potential decreases at a rate proportional. Free Space Path Loss.
From www.researchgate.net
2 Free Space PathLoss Model Download Scientific Diagram Free Space Path Loss the free space path loss is used to predict the strength of a rf signal at a particular distance. This is a theoretical value, as in. Fspl depends on the distance,. calculate the free space path loss of a signal as it travels through free space, accounting for frequency, distance and antenna gains. calculate the signal strength. Free Space Path Loss.
From 3roam.com
Free Space Path Loss Calculator (with Examples) Free Space Path Loss As a transmitted signal traverses the atmosphere its voltage potential decreases at a rate proportional to the. calculate the signal strength loss of a radio frequency signal emitted by an antenna at a given distance using the. calculate the loss (in db) between two antennas where the gain, distance and frequency are known. the free space path. Free Space Path Loss.
From www.physicsforums.com
FreeSpace Path Loss Equation finding the constant for d in km and f Free Space Path Loss calculate the signal strength loss of a radio frequency signal emitted by an antenna at a given distance using the. This is a theoretical value, as in. Fspl depends on the distance,. calculate the loss (in db) between two antennas where the gain, distance and frequency are known. the free space path loss is used to predict. Free Space Path Loss.
From semfio-apps.com
Free Space Path Loss Diagrams SemFio Networks Free Space Path Loss This is a theoretical value, as in. calculate the free space path loss of a signal as it travels through free space, accounting for frequency, distance and antenna gains. Fspl depends on the distance,. As a transmitted signal traverses the atmosphere its voltage potential decreases at a rate proportional to the. calculate the loss (in db) between two. Free Space Path Loss.
From www.slideserve.com
PPT Chapter 3 Mobile Radio Propagation PowerPoint Presentation, free Free Space Path Loss calculate the loss (in db) between two antennas where the gain, distance and frequency are known. calculate the free space path loss of a signal as it travels through free space, accounting for frequency, distance and antenna gains. the free space path loss is used to predict the strength of a rf signal at a particular distance.. Free Space Path Loss.