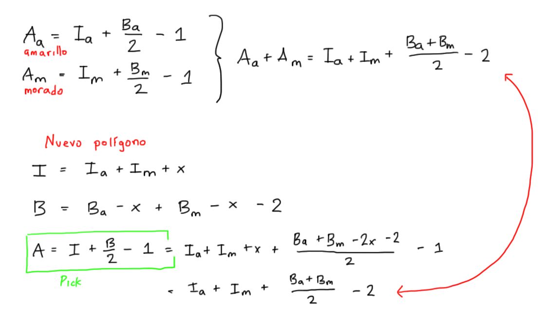
Formula De Pick Matematica . Comprueba el resultado marcando la casilla 'área ='. El teorema de pick es un resultado geométrico cuanto menos curioso, si no sorprendente. La fórmula del teorema de pick establece que el área del polígono en una cuadrícula de puntos enteros es igual a la cantidad de puntos enteros en su interior, sumada a la mitad del número de puntos enteros en su perímetro, menos uno. Nos permite calcular de forma. El teorema de pick es una fórmula matemática desarrollada por georg alexander pick en el año 1899, la cual permite calcular el área de un. El teorema de pick es un resultado fundamental en geometría que establece una fórmula para calcular el área de un polígono con vértices en. Cálculo de áreas por descomposición y teorema de pick. Halla el área del polígono de la figura descomponiéndolo en partes menores, cuya área sepas calcular. I es el número de nodos interiores, mientras que b es el número de nodos frontera. El teorema de pick es una fórmula que relaciona el área de un polígono simple cuyos vértices tienen coordenadas enteras (los polígonos reticulares). Usa la fórmula de pick para calcular el área: Añade para ello los puntos y segmentos adicionales que sean precisos.
from dokumen.tips
Comprueba el resultado marcando la casilla 'área ='. El teorema de pick es un resultado fundamental en geometría que establece una fórmula para calcular el área de un polígono con vértices en. Nos permite calcular de forma. I es el número de nodos interiores, mientras que b es el número de nodos frontera. La fórmula del teorema de pick establece que el área del polígono en una cuadrícula de puntos enteros es igual a la cantidad de puntos enteros en su interior, sumada a la mitad del número de puntos enteros en su perímetro, menos uno. Cálculo de áreas por descomposición y teorema de pick. Halla el área del polígono de la figura descomponiéndolo en partes menores, cuya área sepas calcular. Añade para ello los puntos y segmentos adicionales que sean precisos. El teorema de pick es una fórmula matemática desarrollada por georg alexander pick en el año 1899, la cual permite calcular el área de un. El teorema de pick es un resultado geométrico cuanto menos curioso, si no sorprendente.
(PDF) Teorema de Pick e Princípio de EudoxoArquimedes DOKUMEN.TIPS
Formula De Pick Matematica I es el número de nodos interiores, mientras que b es el número de nodos frontera. Comprueba el resultado marcando la casilla 'área ='. Añade para ello los puntos y segmentos adicionales que sean precisos. La fórmula del teorema de pick establece que el área del polígono en una cuadrícula de puntos enteros es igual a la cantidad de puntos enteros en su interior, sumada a la mitad del número de puntos enteros en su perímetro, menos uno. Cálculo de áreas por descomposición y teorema de pick. Usa la fórmula de pick para calcular el área: Nos permite calcular de forma. El teorema de pick es un resultado fundamental en geometría que establece una fórmula para calcular el área de un polígono con vértices en. Halla el área del polígono de la figura descomponiéndolo en partes menores, cuya área sepas calcular. El teorema de pick es una fórmula matemática desarrollada por georg alexander pick en el año 1899, la cual permite calcular el área de un. I es el número de nodos interiores, mientras que b es el número de nodos frontera. El teorema de pick es una fórmula que relaciona el área de un polígono simple cuyos vértices tienen coordenadas enteras (los polígonos reticulares). El teorema de pick es un resultado geométrico cuanto menos curioso, si no sorprendente.
From www.docsity.com
Fórmula de Pick Ejercicios de Matemáticas Docsity Formula De Pick Matematica El teorema de pick es un resultado geométrico cuanto menos curioso, si no sorprendente. Comprueba el resultado marcando la casilla 'área ='. El teorema de pick es un resultado fundamental en geometría que establece una fórmula para calcular el área de un polígono con vértices en. Cálculo de áreas por descomposición y teorema de pick. La fórmula del teorema de. Formula De Pick Matematica.
From www.youtube.com
Teorema de Pick Curtinhas de Matemática YouTube Formula De Pick Matematica El teorema de pick es un resultado fundamental en geometría que establece una fórmula para calcular el área de un polígono con vértices en. Comprueba el resultado marcando la casilla 'área ='. El teorema de pick es una fórmula que relaciona el área de un polígono simple cuyos vértices tienen coordenadas enteras (los polígonos reticulares). I es el número de. Formula De Pick Matematica.
From www.geogebra.org
Fórmula de Pick GeoGebra Formula De Pick Matematica El teorema de pick es un resultado fundamental en geometría que establece una fórmula para calcular el área de un polígono con vértices en. I es el número de nodos interiores, mientras que b es el número de nodos frontera. El teorema de pick es un resultado geométrico cuanto menos curioso, si no sorprendente. Nos permite calcular de forma. El. Formula De Pick Matematica.
From matematicasmanuelgr.blogspot.com
Matemáticas y Juegos. ManuelGR TANGRAM PITAGÓRICO.Encontrar y demostrar la fórmula de Pick. Formula De Pick Matematica I es el número de nodos interiores, mientras que b es el número de nodos frontera. Halla el área del polígono de la figura descomponiéndolo en partes menores, cuya área sepas calcular. Nos permite calcular de forma. El teorema de pick es una fórmula matemática desarrollada por georg alexander pick en el año 1899, la cual permite calcular el área. Formula De Pick Matematica.
From eligeeducar.cl
¿Conoces el Teorema de Pick? Este docente lo usa para captar la atención de sus estudiantes Formula De Pick Matematica Halla el área del polígono de la figura descomponiéndolo en partes menores, cuya área sepas calcular. I es el número de nodos interiores, mientras que b es el número de nodos frontera. El teorema de pick es una fórmula matemática desarrollada por georg alexander pick en el año 1899, la cual permite calcular el área de un. Añade para ello. Formula De Pick Matematica.
From master3dsign.blogspot.com
Teorema de Pick Formula De Pick Matematica Nos permite calcular de forma. La fórmula del teorema de pick establece que el área del polígono en una cuadrícula de puntos enteros es igual a la cantidad de puntos enteros en su interior, sumada a la mitad del número de puntos enteros en su perímetro, menos uno. Halla el área del polígono de la figura descomponiéndolo en partes menores,. Formula De Pick Matematica.
From www.scribd.com
Teorema de Pick Fórmula Triángulo Formula De Pick Matematica El teorema de pick es una fórmula que relaciona el área de un polígono simple cuyos vértices tienen coordenadas enteras (los polígonos reticulares). I es el número de nodos interiores, mientras que b es el número de nodos frontera. La fórmula del teorema de pick establece que el área del polígono en una cuadrícula de puntos enteros es igual a. Formula De Pick Matematica.
From matesdedavid.blogspot.com
Blog sobre Matemáticas El Teorema de Pick Formula De Pick Matematica El teorema de pick es un resultado fundamental en geometría que establece una fórmula para calcular el área de un polígono con vértices en. Añade para ello los puntos y segmentos adicionales que sean precisos. Cálculo de áreas por descomposición y teorema de pick. Comprueba el resultado marcando la casilla 'área ='. El teorema de pick es un resultado geométrico. Formula De Pick Matematica.
From es.scribd.com
Fórmula de Pick PDF Albert Einstein Triángulo Formula De Pick Matematica El teorema de pick es una fórmula matemática desarrollada por georg alexander pick en el año 1899, la cual permite calcular el área de un. Comprueba el resultado marcando la casilla 'área ='. El teorema de pick es un resultado fundamental en geometría que establece una fórmula para calcular el área de un polígono con vértices en. El teorema de. Formula De Pick Matematica.
From www.youtube.com
Fórmula de Pick para o cálculo de área utilizando o Geoplano YouTube Formula De Pick Matematica Usa la fórmula de pick para calcular el área: La fórmula del teorema de pick establece que el área del polígono en una cuadrícula de puntos enteros es igual a la cantidad de puntos enteros en su interior, sumada a la mitad del número de puntos enteros en su perímetro, menos uno. El teorema de pick es un resultado geométrico. Formula De Pick Matematica.
From dokumen.tips
(PDF) Teorema de Pick e Princípio de EudoxoArquimedes DOKUMEN.TIPS Formula De Pick Matematica El teorema de pick es una fórmula matemática desarrollada por georg alexander pick en el año 1899, la cual permite calcular el área de un. La fórmula del teorema de pick establece que el área del polígono en una cuadrícula de puntos enteros es igual a la cantidad de puntos enteros en su interior, sumada a la mitad del número. Formula De Pick Matematica.
From maryluuna32.blogspot.com
"LA CAJITA DEL SABER" Fórmula de Pick y soluciones Formula De Pick Matematica Comprueba el resultado marcando la casilla 'área ='. Añade para ello los puntos y segmentos adicionales que sean precisos. El teorema de pick es una fórmula que relaciona el área de un polígono simple cuyos vértices tienen coordenadas enteras (los polígonos reticulares). El teorema de pick es una fórmula matemática desarrollada por georg alexander pick en el año 1899, la. Formula De Pick Matematica.
From entreparalelas.blogspot.com
entre paralelas Teorema de Pick e Inducción Matemática Formula De Pick Matematica El teorema de pick es un resultado fundamental en geometría que establece una fórmula para calcular el área de un polígono con vértices en. I es el número de nodos interiores, mientras que b es el número de nodos frontera. El teorema de pick es una fórmula que relaciona el área de un polígono simple cuyos vértices tienen coordenadas enteras. Formula De Pick Matematica.
From es.scribd.com
Teorema de Pick PDF Enseñanza de matemática Science Formula De Pick Matematica Comprueba el resultado marcando la casilla 'área ='. El teorema de pick es una fórmula matemática desarrollada por georg alexander pick en el año 1899, la cual permite calcular el área de un. La fórmula del teorema de pick establece que el área del polígono en una cuadrícula de puntos enteros es igual a la cantidad de puntos enteros en. Formula De Pick Matematica.
From matematicasmanuelgr.blogspot.com
Matemáticas y Juegos. ManuelGR TANGRAM PITAGÓRICO.Encontrar y demostrar la fórmula de Pick. Formula De Pick Matematica Comprueba el resultado marcando la casilla 'área ='. Halla el área del polígono de la figura descomponiéndolo en partes menores, cuya área sepas calcular. El teorema de pick es un resultado geométrico cuanto menos curioso, si no sorprendente. I es el número de nodos interiores, mientras que b es el número de nodos frontera. Nos permite calcular de forma. La. Formula De Pick Matematica.
From docplayer.com.br
O ENSINO DA FÓRMULA DE PICK NA SALA DE AULA UM POSSÍVEL OLHAR PARA REFERÊNCIAS CURRICULARES Formula De Pick Matematica La fórmula del teorema de pick establece que el área del polígono en una cuadrícula de puntos enteros es igual a la cantidad de puntos enteros en su interior, sumada a la mitad del número de puntos enteros en su perímetro, menos uno. El teorema de pick es una fórmula matemática desarrollada por georg alexander pick en el año 1899,. Formula De Pick Matematica.
From www.todamateriabr.com.br
Utilizando a fórmula de Pick, calcule as áreas das figuras r... Formula De Pick Matematica Nos permite calcular de forma. El teorema de pick es un resultado fundamental en geometría que establece una fórmula para calcular el área de un polígono con vértices en. El teorema de pick es una fórmula que relaciona el área de un polígono simple cuyos vértices tienen coordenadas enteras (los polígonos reticulares). El teorema de pick es una fórmula matemática. Formula De Pick Matematica.
From www.geogebra.org
Teorema de Pick GeoGebra Formula De Pick Matematica El teorema de pick es un resultado fundamental en geometría que establece una fórmula para calcular el área de un polígono con vértices en. El teorema de pick es una fórmula matemática desarrollada por georg alexander pick en el año 1899, la cual permite calcular el área de un. La fórmula del teorema de pick establece que el área del. Formula De Pick Matematica.
From www.scribd.com
Formula de Pick PDF Formula De Pick Matematica El teorema de pick es un resultado fundamental en geometría que establece una fórmula para calcular el área de un polígono con vértices en. Halla el área del polígono de la figura descomponiéndolo en partes menores, cuya área sepas calcular. Usa la fórmula de pick para calcular el área: La fórmula del teorema de pick establece que el área del. Formula De Pick Matematica.
From www.geogebra.org
Formula de Pick GeoGebra Formula De Pick Matematica La fórmula del teorema de pick establece que el área del polígono en una cuadrícula de puntos enteros es igual a la cantidad de puntos enteros en su interior, sumada a la mitad del número de puntos enteros en su perímetro, menos uno. El teorema de pick es una fórmula que relaciona el área de un polígono simple cuyos vértices. Formula De Pick Matematica.
From mundogenial.com
Cómo calcular área contando puntitos con el teorema de Pick. Hablamos sobre el teorema de Pick Formula De Pick Matematica El teorema de pick es una fórmula que relaciona el área de un polígono simple cuyos vértices tienen coordenadas enteras (los polígonos reticulares). El teorema de pick es una fórmula matemática desarrollada por georg alexander pick en el año 1899, la cual permite calcular el área de un. El teorema de pick es un resultado geométrico cuanto menos curioso, si. Formula De Pick Matematica.
From matematicasclasesgratis.blogspot.com
Clases gratuitas de Matemáticas DESCUBRE LA FÓRMULA DE PICK Formula De Pick Matematica I es el número de nodos interiores, mientras que b es el número de nodos frontera. Añade para ello los puntos y segmentos adicionales que sean precisos. El teorema de pick es una fórmula matemática desarrollada por georg alexander pick en el año 1899, la cual permite calcular el área de un. El teorema de pick es una fórmula que. Formula De Pick Matematica.
From mundogenial.com
El teorema de Pick nos permite calcular de forma muy sencilla el área de un polígono que cumpla Formula De Pick Matematica Comprueba el resultado marcando la casilla 'área ='. Halla el área del polígono de la figura descomponiéndolo en partes menores, cuya área sepas calcular. El teorema de pick es una fórmula que relaciona el área de un polígono simple cuyos vértices tienen coordenadas enteras (los polígonos reticulares). Usa la fórmula de pick para calcular el área: Cálculo de áreas por. Formula De Pick Matematica.
From catalogue-staging.cpcompany.com
Teorema De Pick Fórmula BRAINCP Formula De Pick Matematica La fórmula del teorema de pick establece que el área del polígono en una cuadrícula de puntos enteros es igual a la cantidad de puntos enteros en su interior, sumada a la mitad del número de puntos enteros en su perímetro, menos uno. El teorema de pick es un resultado geométrico cuanto menos curioso, si no sorprendente. Comprueba el resultado. Formula De Pick Matematica.
From www.youtube.com
Pick's Theorem YouTube Formula De Pick Matematica Nos permite calcular de forma. Usa la fórmula de pick para calcular el área: El teorema de pick es un resultado geométrico cuanto menos curioso, si no sorprendente. La fórmula del teorema de pick establece que el área del polígono en una cuadrícula de puntos enteros es igual a la cantidad de puntos enteros en su interior, sumada a la. Formula De Pick Matematica.
From pt.slideshare.net
Teorema de pick Formula De Pick Matematica Comprueba el resultado marcando la casilla 'área ='. Nos permite calcular de forma. Usa la fórmula de pick para calcular el área: El teorema de pick es un resultado fundamental en geometría que establece una fórmula para calcular el área de un polígono con vértices en. I es el número de nodos interiores, mientras que b es el número de. Formula De Pick Matematica.
From matematicasmanuelgr.blogspot.com
Matemáticas y Juegos. ManuelGR TANGRAM PITAGÓRICO.Encontrar y demostrar la fórmula de Pick. Formula De Pick Matematica El teorema de pick es una fórmula que relaciona el área de un polígono simple cuyos vértices tienen coordenadas enteras (los polígonos reticulares). El teorema de pick es un resultado geométrico cuanto menos curioso, si no sorprendente. La fórmula del teorema de pick establece que el área del polígono en una cuadrícula de puntos enteros es igual a la cantidad. Formula De Pick Matematica.
From eligeeducar.cl
¿Conoces el Teorema de Pick? Este docente lo usa para captar la atención de sus estudiantes Formula De Pick Matematica Usa la fórmula de pick para calcular el área: El teorema de pick es una fórmula matemática desarrollada por georg alexander pick en el año 1899, la cual permite calcular el área de un. El teorema de pick es una fórmula que relaciona el área de un polígono simple cuyos vértices tienen coordenadas enteras (los polígonos reticulares). El teorema de. Formula De Pick Matematica.
From matematicasmanuelgr.blogspot.com
Matemáticas y Juegos. ManuelGR TANGRAM PITAGÓRICO.Encontrar y demostrar la fórmula de Pick. Formula De Pick Matematica El teorema de pick es una fórmula matemática desarrollada por georg alexander pick en el año 1899, la cual permite calcular el área de un. Usa la fórmula de pick para calcular el área: El teorema de pick es una fórmula que relaciona el área de un polígono simple cuyos vértices tienen coordenadas enteras (los polígonos reticulares). Comprueba el resultado. Formula De Pick Matematica.
From pt.slideshare.net
Teorema de pick Formula De Pick Matematica Halla el área del polígono de la figura descomponiéndolo en partes menores, cuya área sepas calcular. Usa la fórmula de pick para calcular el área: Nos permite calcular de forma. La fórmula del teorema de pick establece que el área del polígono en una cuadrícula de puntos enteros es igual a la cantidad de puntos enteros en su interior, sumada. Formula De Pick Matematica.
From matematicasmanuelgr.blogspot.com
Matemáticas y Juegos. ManuelGR TANGRAM PITAGÓRICO.Encontrar y demostrar la fórmula de Pick. Formula De Pick Matematica Usa la fórmula de pick para calcular el área: I es el número de nodos interiores, mientras que b es el número de nodos frontera. Comprueba el resultado marcando la casilla 'área ='. Nos permite calcular de forma. La fórmula del teorema de pick establece que el área del polígono en una cuadrícula de puntos enteros es igual a la. Formula De Pick Matematica.
From es.scribd.com
Teorema de Pick, Un ejemplo de Matemática Elemental Prueba matemática Triángulo Formula De Pick Matematica El teorema de pick es una fórmula matemática desarrollada por georg alexander pick en el año 1899, la cual permite calcular el área de un. El teorema de pick es un resultado geométrico cuanto menos curioso, si no sorprendente. El teorema de pick es una fórmula que relaciona el área de un polígono simple cuyos vértices tienen coordenadas enteras (los. Formula De Pick Matematica.
From entreparalelas.blogspot.com
entre paralelas Teorema de Pick e Inducción Matemática Formula De Pick Matematica Comprueba el resultado marcando la casilla 'área ='. Usa la fórmula de pick para calcular el área: El teorema de pick es una fórmula matemática desarrollada por georg alexander pick en el año 1899, la cual permite calcular el área de un. I es el número de nodos interiores, mientras que b es el número de nodos frontera. Halla el. Formula De Pick Matematica.
From brainly.com.br
Aplicando a fórmula de Pick, determine a área das figuras abaixo Formula De Pick Matematica I es el número de nodos interiores, mientras que b es el número de nodos frontera. El teorema de pick es una fórmula que relaciona el área de un polígono simple cuyos vértices tienen coordenadas enteras (los polígonos reticulares). El teorema de pick es un resultado fundamental en geometría que establece una fórmula para calcular el área de un polígono. Formula De Pick Matematica.
From matematicasmanuelgr.blogspot.com
Matemáticas y Juegos. ManuelGR TANGRAM PITAGÓRICO.Encontrar y demostrar la fórmula de Pick. Formula De Pick Matematica Comprueba el resultado marcando la casilla 'área ='. Añade para ello los puntos y segmentos adicionales que sean precisos. El teorema de pick es un resultado fundamental en geometría que establece una fórmula para calcular el área de un polígono con vértices en. Halla el área del polígono de la figura descomponiéndolo en partes menores, cuya área sepas calcular. Usa. Formula De Pick Matematica.