How To Find Area Of One Petal . The video explains how to find the area of one petal or leaf of a rose. Find the area bounded by a polar curve.site:. Symmetry helps a lot with the. How do you find the area of one petal of #r=6sin2theta#? The arc length of a polar curve defined. The function given is $r=12\cos(3\theta)$, the graph of this function shows a $3$ petal/leaf rose. # a = int_alpha^beta 1/2 r^2 \ d theta # the first step is to plot the. Now one way to find the area of a single petal is to do. To find the area between two curves in the polar coordinate system, first find the points of intersection, then subtract the corresponding areas. Area in polar coordinates is given by: If a rose leaf is described by the equation $r = \sin 3\theta$, find the area of one petal.
from solvedlib.com
Area in polar coordinates is given by: Find the area bounded by a polar curve.site:. Now one way to find the area of a single petal is to do. How do you find the area of one petal of #r=6sin2theta#? The function given is $r=12\cos(3\theta)$, the graph of this function shows a $3$ petal/leaf rose. To find the area between two curves in the polar coordinate system, first find the points of intersection, then subtract the corresponding areas. If a rose leaf is described by the equation $r = \sin 3\theta$, find the area of one petal. The video explains how to find the area of one petal or leaf of a rose. The arc length of a polar curve defined. # a = int_alpha^beta 1/2 r^2 \ d theta # the first step is to plot the.
(10) Calculate the area of one petal of the threepet… SolvedLib
How To Find Area Of One Petal How do you find the area of one petal of #r=6sin2theta#? Symmetry helps a lot with the. To find the area between two curves in the polar coordinate system, first find the points of intersection, then subtract the corresponding areas. Area in polar coordinates is given by: The function given is $r=12\cos(3\theta)$, the graph of this function shows a $3$ petal/leaf rose. Find the area bounded by a polar curve.site:. The arc length of a polar curve defined. The video explains how to find the area of one petal or leaf of a rose. Now one way to find the area of a single petal is to do. How do you find the area of one petal of #r=6sin2theta#? # a = int_alpha^beta 1/2 r^2 \ d theta # the first step is to plot the. If a rose leaf is described by the equation $r = \sin 3\theta$, find the area of one petal.
From socratic.org
How do you find the area of one petal of r=cos5theta? Socratic How To Find Area Of One Petal How do you find the area of one petal of #r=6sin2theta#? The function given is $r=12\cos(3\theta)$, the graph of this function shows a $3$ petal/leaf rose. Symmetry helps a lot with the. # a = int_alpha^beta 1/2 r^2 \ d theta # the first step is to plot the. Find the area bounded by a polar curve.site:. The video explains. How To Find Area Of One Petal.
From www.chegg.com
Solved Х What is the area of one petal of the polar curve r How To Find Area Of One Petal Now one way to find the area of a single petal is to do. Symmetry helps a lot with the. The video explains how to find the area of one petal or leaf of a rose. Area in polar coordinates is given by: How do you find the area of one petal of #r=6sin2theta#? The function given is $r=12\cos(3\theta)$, the. How To Find Area Of One Petal.
From www.youtube.com
11 5 Area Rose Curve YouTube How To Find Area Of One Petal To find the area between two curves in the polar coordinate system, first find the points of intersection, then subtract the corresponding areas. If a rose leaf is described by the equation $r = \sin 3\theta$, find the area of one petal. Symmetry helps a lot with the. The function given is $r=12\cos(3\theta)$, the graph of this function shows a. How To Find Area Of One Petal.
From solvedlib.com
9_ Find the area of one petal of the rose curve r = 2… SolvedLib How To Find Area Of One Petal The video explains how to find the area of one petal or leaf of a rose. How do you find the area of one petal of #r=6sin2theta#? Find the area bounded by a polar curve.site:. Now one way to find the area of a single petal is to do. Symmetry helps a lot with the. If a rose leaf is. How To Find Area Of One Petal.
From www.youtube.com
Area of Four Petals YouTube How To Find Area Of One Petal Find the area bounded by a polar curve.site:. The arc length of a polar curve defined. Area in polar coordinates is given by: To find the area between two curves in the polar coordinate system, first find the points of intersection, then subtract the corresponding areas. Symmetry helps a lot with the. The video explains how to find the area. How To Find Area Of One Petal.
From www.embibe.com
Describe an activity to find the area of a rose petal How To Find Area Of One Petal Symmetry helps a lot with the. Find the area bounded by a polar curve.site:. The function given is $r=12\cos(3\theta)$, the graph of this function shows a $3$ petal/leaf rose. Area in polar coordinates is given by: # a = int_alpha^beta 1/2 r^2 \ d theta # the first step is to plot the. The video explains how to find the. How To Find Area Of One Petal.
From www.youtube.com
Area of a Rose Curve YouTube How To Find Area Of One Petal Symmetry helps a lot with the. # a = int_alpha^beta 1/2 r^2 \ d theta # the first step is to plot the. The video explains how to find the area of one petal or leaf of a rose. The function given is $r=12\cos(3\theta)$, the graph of this function shows a $3$ petal/leaf rose. Now one way to find the. How To Find Area Of One Petal.
From www.chegg.com
Solved Find the area of one petal of r=5cos3θ. 1225π 245π How To Find Area Of One Petal Symmetry helps a lot with the. Find the area bounded by a polar curve.site:. The arc length of a polar curve defined. To find the area between two curves in the polar coordinate system, first find the points of intersection, then subtract the corresponding areas. If a rose leaf is described by the equation $r = \sin 3\theta$, find the. How To Find Area Of One Petal.
From www.numerade.com
SOLVEDFind the area of the region. One petal of r=cos2 θ How To Find Area Of One Petal # a = int_alpha^beta 1/2 r^2 \ d theta # the first step is to plot the. The video explains how to find the area of one petal or leaf of a rose. The arc length of a polar curve defined. How do you find the area of one petal of #r=6sin2theta#? Now one way to find the area of. How To Find Area Of One Petal.
From www.chegg.com
Solved 5. (10 pts) Find the area of one petal of the four How To Find Area Of One Petal Area in polar coordinates is given by: To find the area between two curves in the polar coordinate system, first find the points of intersection, then subtract the corresponding areas. If a rose leaf is described by the equation $r = \sin 3\theta$, find the area of one petal. Symmetry helps a lot with the. The arc length of a. How To Find Area Of One Petal.
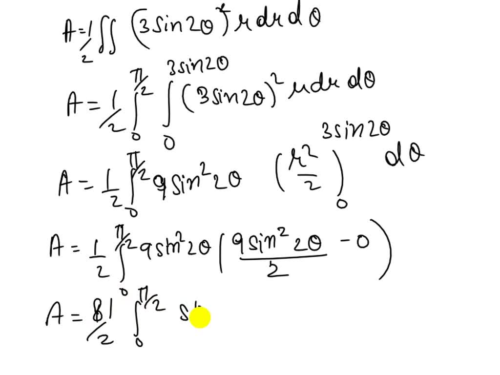
From www.numerade.com
SOLVED Find the area of one petal of the four petal rose r = 3 sin(2Î How To Find Area Of One Petal How do you find the area of one petal of #r=6sin2theta#? Find the area bounded by a polar curve.site:. To find the area between two curves in the polar coordinate system, first find the points of intersection, then subtract the corresponding areas. Symmetry helps a lot with the. The function given is $r=12\cos(3\theta)$, the graph of this function shows a. How To Find Area Of One Petal.
From www.chegg.com
Solved Which of the following represents the area inside one How To Find Area Of One Petal Symmetry helps a lot with the. How do you find the area of one petal of #r=6sin2theta#? To find the area between two curves in the polar coordinate system, first find the points of intersection, then subtract the corresponding areas. Area in polar coordinates is given by: If a rose leaf is described by the equation $r = \sin 3\theta$,. How To Find Area Of One Petal.
From www.chegg.com
Solved Find the area of the region. One petal of r = 6 How To Find Area Of One Petal # a = int_alpha^beta 1/2 r^2 \ d theta # the first step is to plot the. If a rose leaf is described by the equation $r = \sin 3\theta$, find the area of one petal. Find the area bounded by a polar curve.site:. Symmetry helps a lot with the. The video explains how to find the area of one. How To Find Area Of One Petal.
From quizlet.com
Sketch the petal curve r=2 \cos 2 \theta. Find the area of Quizlet How To Find Area Of One Petal Area in polar coordinates is given by: If a rose leaf is described by the equation $r = \sin 3\theta$, find the area of one petal. Now one way to find the area of a single petal is to do. Find the area bounded by a polar curve.site:. # a = int_alpha^beta 1/2 r^2 \ d theta # the first. How To Find Area Of One Petal.
From www.chegg.com
Solved Find the area of one petal of r = 8 cos(3 theta). How To Find Area Of One Petal Find the area bounded by a polar curve.site:. Symmetry helps a lot with the. Now one way to find the area of a single petal is to do. Area in polar coordinates is given by: The video explains how to find the area of one petal or leaf of a rose. # a = int_alpha^beta 1/2 r^2 \ d theta. How To Find Area Of One Petal.
From www.youtube.com
Example Areas in Polar Coordinates YouTube How To Find Area Of One Petal Now one way to find the area of a single petal is to do. # a = int_alpha^beta 1/2 r^2 \ d theta # the first step is to plot the. Symmetry helps a lot with the. To find the area between two curves in the polar coordinate system, first find the points of intersection, then subtract the corresponding areas.. How To Find Area Of One Petal.
From www.chegg.com
Solved Find the area of one petal of r = 900530. use Tinyour How To Find Area Of One Petal If a rose leaf is described by the equation $r = \sin 3\theta$, find the area of one petal. # a = int_alpha^beta 1/2 r^2 \ d theta # the first step is to plot the. The arc length of a polar curve defined. How do you find the area of one petal of #r=6sin2theta#? The function given is $r=12\cos(3\theta)$,. How To Find Area Of One Petal.
From www.chegg.com
Solved Find the area of one petal of r = 3 sin 2 theta. Set How To Find Area Of One Petal Find the area bounded by a polar curve.site:. Symmetry helps a lot with the. Area in polar coordinates is given by: The arc length of a polar curve defined. The video explains how to find the area of one petal or leaf of a rose. To find the area between two curves in the polar coordinate system, first find the. How To Find Area Of One Petal.
From www.chegg.com
Solved (8) Calculate the area of one petal of the fourpetal How To Find Area Of One Petal How do you find the area of one petal of #r=6sin2theta#? If a rose leaf is described by the equation $r = \sin 3\theta$, find the area of one petal. The arc length of a polar curve defined. The function given is $r=12\cos(3\theta)$, the graph of this function shows a $3$ petal/leaf rose. To find the area between two curves. How To Find Area Of One Petal.
From api-project-1022638073839.appspot.com
How do you find the area of one petal of r=2cos3theta? Socratic How To Find Area Of One Petal Symmetry helps a lot with the. If a rose leaf is described by the equation $r = \sin 3\theta$, find the area of one petal. Find the area bounded by a polar curve.site:. # a = int_alpha^beta 1/2 r^2 \ d theta # the first step is to plot the. To find the area between two curves in the polar. How To Find Area Of One Petal.
From socratic.org
How do you find the area of one petal of r=6sin2theta? Socratic How To Find Area Of One Petal The video explains how to find the area of one petal or leaf of a rose. Find the area bounded by a polar curve.site:. If a rose leaf is described by the equation $r = \sin 3\theta$, find the area of one petal. Area in polar coordinates is given by: The arc length of a polar curve defined. How do. How To Find Area Of One Petal.
From www.chegg.com
Solved 6. Find the area of one petal of the rose curve How To Find Area Of One Petal To find the area between two curves in the polar coordinate system, first find the points of intersection, then subtract the corresponding areas. The arc length of a polar curve defined. Symmetry helps a lot with the. Find the area bounded by a polar curve.site:. If a rose leaf is described by the equation $r = \sin 3\theta$, find the. How To Find Area Of One Petal.
From www.gauthmath.com
33. What is the area of one of the petals of the rose curve r=2cos 2 θ How To Find Area Of One Petal Now one way to find the area of a single petal is to do. The arc length of a polar curve defined. How do you find the area of one petal of #r=6sin2theta#? Find the area bounded by a polar curve.site:. If a rose leaf is described by the equation $r = \sin 3\theta$, find the area of one petal.. How To Find Area Of One Petal.
From www.chegg.com
Solved 3Graph the curve r 5cos20. Find the area of one petal How To Find Area Of One Petal How do you find the area of one petal of #r=6sin2theta#? Find the area bounded by a polar curve.site:. To find the area between two curves in the polar coordinate system, first find the points of intersection, then subtract the corresponding areas. Symmetry helps a lot with the. Area in polar coordinates is given by: If a rose leaf is. How To Find Area Of One Petal.
From www.youtube.com
Find the area of region inside one petal of fourpetaled rose r = cos 2 How To Find Area Of One Petal # a = int_alpha^beta 1/2 r^2 \ d theta # the first step is to plot the. Area in polar coordinates is given by: The function given is $r=12\cos(3\theta)$, the graph of this function shows a $3$ petal/leaf rose. Now one way to find the area of a single petal is to do. Symmetry helps a lot with the. Find. How To Find Area Of One Petal.
From quizlet.com
Find the area of the striped region where the petals are for Quizlet How To Find Area Of One Petal The video explains how to find the area of one petal or leaf of a rose. # a = int_alpha^beta 1/2 r^2 \ d theta # the first step is to plot the. Area in polar coordinates is given by: The function given is $r=12\cos(3\theta)$, the graph of this function shows a $3$ petal/leaf rose. If a rose leaf is. How To Find Area Of One Petal.
From www.youtube.com
Ej Encuentra el área del pétalo de una rosa (área delimitada por la How To Find Area Of One Petal Find the area bounded by a polar curve.site:. The function given is $r=12\cos(3\theta)$, the graph of this function shows a $3$ petal/leaf rose. To find the area between two curves in the polar coordinate system, first find the points of intersection, then subtract the corresponding areas. Symmetry helps a lot with the. Area in polar coordinates is given by: The. How To Find Area Of One Petal.
From rupeshgesota.blogspot.com
Math Coach Area of Flower How To Find Area Of One Petal # a = int_alpha^beta 1/2 r^2 \ d theta # the first step is to plot the. If a rose leaf is described by the equation $r = \sin 3\theta$, find the area of one petal. The video explains how to find the area of one petal or leaf of a rose. Find the area bounded by a polar curve.site:.. How To Find Area Of One Petal.
From solvedlib.com
(10) Calculate the area of one petal of the threepet… SolvedLib How To Find Area Of One Petal Area in polar coordinates is given by: Find the area bounded by a polar curve.site:. The function given is $r=12\cos(3\theta)$, the graph of this function shows a $3$ petal/leaf rose. # a = int_alpha^beta 1/2 r^2 \ d theta # the first step is to plot the. The arc length of a polar curve defined. How do you find the. How To Find Area Of One Petal.
From www.chegg.com
Solved 24/10) Sketch and find the area of one petal of 2 How To Find Area Of One Petal Find the area bounded by a polar curve.site:. If a rose leaf is described by the equation $r = \sin 3\theta$, find the area of one petal. How do you find the area of one petal of #r=6sin2theta#? The arc length of a polar curve defined. The function given is $r=12\cos(3\theta)$, the graph of this function shows a $3$ petal/leaf. How To Find Area Of One Petal.
From www.chegg.com
Solved Find the area of one petal of r=5cos(7θ) How To Find Area Of One Petal Symmetry helps a lot with the. Now one way to find the area of a single petal is to do. How do you find the area of one petal of #r=6sin2theta#? If a rose leaf is described by the equation $r = \sin 3\theta$, find the area of one petal. The function given is $r=12\cos(3\theta)$, the graph of this function. How To Find Area Of One Petal.
From socratic.org
How do you find the area of one petal of r=2cos3theta? Socratic How To Find Area Of One Petal Now one way to find the area of a single petal is to do. # a = int_alpha^beta 1/2 r^2 \ d theta # the first step is to plot the. Find the area bounded by a polar curve.site:. The arc length of a polar curve defined. If a rose leaf is described by the equation $r = \sin 3\theta$,. How To Find Area Of One Petal.
From www.youtube.com
Rose Curve Petal Width YouTube How To Find Area Of One Petal Now one way to find the area of a single petal is to do. How do you find the area of one petal of #r=6sin2theta#? If a rose leaf is described by the equation $r = \sin 3\theta$, find the area of one petal. Area in polar coordinates is given by: To find the area between two curves in the. How To Find Area Of One Petal.
From www.chegg.com
Solved Find the area inside the graph of one petal of r = 3 How To Find Area Of One Petal Now one way to find the area of a single petal is to do. The video explains how to find the area of one petal or leaf of a rose. Area in polar coordinates is given by: Find the area bounded by a polar curve.site:. The arc length of a polar curve defined. To find the area between two curves. How To Find Area Of One Petal.
From www.youtube.com
Finding Area Inside a Petal of Flower r = 2cos(2*theta) in Polar YouTube How To Find Area Of One Petal Now one way to find the area of a single petal is to do. The arc length of a polar curve defined. How do you find the area of one petal of #r=6sin2theta#? If a rose leaf is described by the equation $r = \sin 3\theta$, find the area of one petal. The video explains how to find the area. How To Find Area Of One Petal.