Is Illinois A Non Disclosure State . Further, to protect home buyers from. Nearly 20 states have passed laws restricting their use in dealing with sexual misconduct in the workplace, including arizona,. To counteract ndas, policymakers should prohibit employers from requiring individuals to sign ndas and limit ndas used in settlement, separation, and severance contracts.
        
         
         
        from bezit.co 
     
        
        To counteract ndas, policymakers should prohibit employers from requiring individuals to sign ndas and limit ndas used in settlement, separation, and severance contracts. Further, to protect home buyers from. Nearly 20 states have passed laws restricting their use in dealing with sexual misconduct in the workplace, including arizona,.
    
    	
            
	
		 
	 
         
    12 Non Disclosure States in USA in 2024 Bezit.co 
    Is Illinois A Non Disclosure State  To counteract ndas, policymakers should prohibit employers from requiring individuals to sign ndas and limit ndas used in settlement, separation, and severance contracts. To counteract ndas, policymakers should prohibit employers from requiring individuals to sign ndas and limit ndas used in settlement, separation, and severance contracts. Further, to protect home buyers from. Nearly 20 states have passed laws restricting their use in dealing with sexual misconduct in the workplace, including arizona,.
            
	
		 
	 
         
 
    
         
        From www.templateroller.com 
                    Illinois Nondisclosure Agreement Template Fill Out, Sign Online and Is Illinois A Non Disclosure State  Nearly 20 states have passed laws restricting their use in dealing with sexual misconduct in the workplace, including arizona,. Further, to protect home buyers from. To counteract ndas, policymakers should prohibit employers from requiring individuals to sign ndas and limit ndas used in settlement, separation, and severance contracts. Is Illinois A Non Disclosure State.
     
    
         
        From eduvark.com 
                    Illinois NDA 2023 2024 EduVark Is Illinois A Non Disclosure State  Further, to protect home buyers from. To counteract ndas, policymakers should prohibit employers from requiring individuals to sign ndas and limit ndas used in settlement, separation, and severance contracts. Nearly 20 states have passed laws restricting their use in dealing with sexual misconduct in the workplace, including arizona,. Is Illinois A Non Disclosure State.
     
    
         
        From forms.legal 
                    Illinois Printable Non Disclosure Agreement Download Now Is Illinois A Non Disclosure State  Further, to protect home buyers from. To counteract ndas, policymakers should prohibit employers from requiring individuals to sign ndas and limit ndas used in settlement, separation, and severance contracts. Nearly 20 states have passed laws restricting their use in dealing with sexual misconduct in the workplace, including arizona,. Is Illinois A Non Disclosure State.
     
    
         
        From www.youtube.com 
                    Non disclosure states affects property's estimated value accuracy YouTube Is Illinois A Non Disclosure State  Further, to protect home buyers from. To counteract ndas, policymakers should prohibit employers from requiring individuals to sign ndas and limit ndas used in settlement, separation, and severance contracts. Nearly 20 states have passed laws restricting their use in dealing with sexual misconduct in the workplace, including arizona,. Is Illinois A Non Disclosure State.
     
    
         
        From eduvark.com 
                    Illinois NDA 2023 2024 EduVark Is Illinois A Non Disclosure State  To counteract ndas, policymakers should prohibit employers from requiring individuals to sign ndas and limit ndas used in settlement, separation, and severance contracts. Nearly 20 states have passed laws restricting their use in dealing with sexual misconduct in the workplace, including arizona,. Further, to protect home buyers from. Is Illinois A Non Disclosure State.
     
    
         
        From formspal.com 
                    Real Estate NonDisclosure Agreement Template (Confidentiality Form) Is Illinois A Non Disclosure State  Further, to protect home buyers from. Nearly 20 states have passed laws restricting their use in dealing with sexual misconduct in the workplace, including arizona,. To counteract ndas, policymakers should prohibit employers from requiring individuals to sign ndas and limit ndas used in settlement, separation, and severance contracts. Is Illinois A Non Disclosure State.
     
    
         
        From www.templateroller.com 
                    Illinois Disclosure, Change of Ownership or Tax Id Fill Out, Sign Is Illinois A Non Disclosure State  Nearly 20 states have passed laws restricting their use in dealing with sexual misconduct in the workplace, including arizona,. To counteract ndas, policymakers should prohibit employers from requiring individuals to sign ndas and limit ndas used in settlement, separation, and severance contracts. Further, to protect home buyers from. Is Illinois A Non Disclosure State.
     
    
         
        From news.wttw.com 
                    Illinois to Make Standard Driver’s Licenses Available to Noncitizens Is Illinois A Non Disclosure State  Further, to protect home buyers from. To counteract ndas, policymakers should prohibit employers from requiring individuals to sign ndas and limit ndas used in settlement, separation, and severance contracts. Nearly 20 states have passed laws restricting their use in dealing with sexual misconduct in the workplace, including arizona,. Is Illinois A Non Disclosure State.
     
    
         
        From valleymarket.com 
                    MatSu Assembly Considers Sales Disclosure Resolution. Is Illinois A Non Disclosure State  To counteract ndas, policymakers should prohibit employers from requiring individuals to sign ndas and limit ndas used in settlement, separation, and severance contracts. Further, to protect home buyers from. Nearly 20 states have passed laws restricting their use in dealing with sexual misconduct in the workplace, including arizona,. Is Illinois A Non Disclosure State.
     
    
         
        From retipster.com 
                    A Map of Every NonDisclosure State in the U.S. REtipster Is Illinois A Non Disclosure State  Nearly 20 states have passed laws restricting their use in dealing with sexual misconduct in the workplace, including arizona,. To counteract ndas, policymakers should prohibit employers from requiring individuals to sign ndas and limit ndas used in settlement, separation, and severance contracts. Further, to protect home buyers from. Is Illinois A Non Disclosure State.
     
    
         
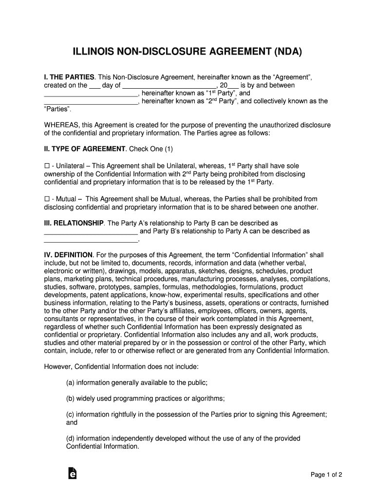
        From eforms.com 
                    Free Illinois NonDisclosure Agreement (NDA) Template PDF Word eForms Is Illinois A Non Disclosure State  Nearly 20 states have passed laws restricting their use in dealing with sexual misconduct in the workplace, including arizona,. To counteract ndas, policymakers should prohibit employers from requiring individuals to sign ndas and limit ndas used in settlement, separation, and severance contracts. Further, to protect home buyers from. Is Illinois A Non Disclosure State.
     
    
         
        From employmentcontracts.com 
                    Illinois NonDisclosure Agreement (NDA) PDF Word Is Illinois A Non Disclosure State  Further, to protect home buyers from. To counteract ndas, policymakers should prohibit employers from requiring individuals to sign ndas and limit ndas used in settlement, separation, and severance contracts. Nearly 20 states have passed laws restricting their use in dealing with sexual misconduct in the workplace, including arizona,. Is Illinois A Non Disclosure State.
     
    
         
        From cooperstreet2020.com 
                    Cosa significa Stato di non divulgazione? / GeoData Plus Cooper Street Is Illinois A Non Disclosure State  Nearly 20 states have passed laws restricting their use in dealing with sexual misconduct in the workplace, including arizona,. To counteract ndas, policymakers should prohibit employers from requiring individuals to sign ndas and limit ndas used in settlement, separation, and severance contracts. Further, to protect home buyers from. Is Illinois A Non Disclosure State.
     
    
         
        From www.lawdistrict.com 
                    States with Limitations for NDA Laws by State LawDistrict Is Illinois A Non Disclosure State  Further, to protect home buyers from. Nearly 20 states have passed laws restricting their use in dealing with sexual misconduct in the workplace, including arizona,. To counteract ndas, policymakers should prohibit employers from requiring individuals to sign ndas and limit ndas used in settlement, separation, and severance contracts. Is Illinois A Non Disclosure State.
     
    
         
        From www.wsj.com 
                    The States Where Home Prices are Secret WSJ Is Illinois A Non Disclosure State  Further, to protect home buyers from. To counteract ndas, policymakers should prohibit employers from requiring individuals to sign ndas and limit ndas used in settlement, separation, and severance contracts. Nearly 20 states have passed laws restricting their use in dealing with sexual misconduct in the workplace, including arizona,. Is Illinois A Non Disclosure State.
     
    
         
        From www.youtube.com 
                    How to find comps in non disclosure states? YouTube Is Illinois A Non Disclosure State  To counteract ndas, policymakers should prohibit employers from requiring individuals to sign ndas and limit ndas used in settlement, separation, and severance contracts. Further, to protect home buyers from. Nearly 20 states have passed laws restricting their use in dealing with sexual misconduct in the workplace, including arizona,. Is Illinois A Non Disclosure State.
     
    
         
        From www.sixfifty.com 
                    What to Know About Illinois NonDisclosure Agreements Is Illinois A Non Disclosure State  To counteract ndas, policymakers should prohibit employers from requiring individuals to sign ndas and limit ndas used in settlement, separation, and severance contracts. Further, to protect home buyers from. Nearly 20 states have passed laws restricting their use in dealing with sexual misconduct in the workplace, including arizona,. Is Illinois A Non Disclosure State.
     
    
         
        From simpleartifact.com 
                    Non Disclosure Letter Sample For Your Needs Letter Template Collection Is Illinois A Non Disclosure State  To counteract ndas, policymakers should prohibit employers from requiring individuals to sign ndas and limit ndas used in settlement, separation, and severance contracts. Nearly 20 states have passed laws restricting their use in dealing with sexual misconduct in the workplace, including arizona,. Further, to protect home buyers from. Is Illinois A Non Disclosure State.
     
    
         
        From www.pdffiller.com 
                    Fillable Online Secure Illinois NonDisclosure Agreement Template Fax Is Illinois A Non Disclosure State  Further, to protect home buyers from. To counteract ndas, policymakers should prohibit employers from requiring individuals to sign ndas and limit ndas used in settlement, separation, and severance contracts. Nearly 20 states have passed laws restricting their use in dealing with sexual misconduct in the workplace, including arizona,. Is Illinois A Non Disclosure State.
     
    
         
        From opendocs.com 
                    Free Illinois NonDisclosure Agreement Template PDF WORD Is Illinois A Non Disclosure State  Nearly 20 states have passed laws restricting their use in dealing with sexual misconduct in the workplace, including arizona,. Further, to protect home buyers from. To counteract ndas, policymakers should prohibit employers from requiring individuals to sign ndas and limit ndas used in settlement, separation, and severance contracts. Is Illinois A Non Disclosure State.
     
    
         
        From odometerdisclosurestatement.com 
                    Illinois Odometer Disclosure Statement IL 2024 Form Is Illinois A Non Disclosure State  Nearly 20 states have passed laws restricting their use in dealing with sexual misconduct in the workplace, including arizona,. Further, to protect home buyers from. To counteract ndas, policymakers should prohibit employers from requiring individuals to sign ndas and limit ndas used in settlement, separation, and severance contracts. Is Illinois A Non Disclosure State.
     
    
         
        From realtybiznews.com 
                    How To Find A List Of NonDisclosure States Is Illinois A Non Disclosure State  To counteract ndas, policymakers should prohibit employers from requiring individuals to sign ndas and limit ndas used in settlement, separation, and severance contracts. Further, to protect home buyers from. Nearly 20 states have passed laws restricting their use in dealing with sexual misconduct in the workplace, including arizona,. Is Illinois A Non Disclosure State.
     
    
         
        From nondisclosureagreements.com 
                    Free Illinois NonDisclosure Agreement (NDA) Template PDF Word Is Illinois A Non Disclosure State  Further, to protect home buyers from. To counteract ndas, policymakers should prohibit employers from requiring individuals to sign ndas and limit ndas used in settlement, separation, and severance contracts. Nearly 20 states have passed laws restricting their use in dealing with sexual misconduct in the workplace, including arizona,. Is Illinois A Non Disclosure State.
     
    
         
        From www.propstream.com 
                    What Are Disclosure and NonDisclosure States? Is Illinois A Non Disclosure State  To counteract ndas, policymakers should prohibit employers from requiring individuals to sign ndas and limit ndas used in settlement, separation, and severance contracts. Nearly 20 states have passed laws restricting their use in dealing with sexual misconduct in the workplace, including arizona,. Further, to protect home buyers from. Is Illinois A Non Disclosure State.
     
    
         
        From blogs.law.columbia.edu 
                    State Disclosure Laws Leave Homebuyers in the Dark about Flood Risks Is Illinois A Non Disclosure State  To counteract ndas, policymakers should prohibit employers from requiring individuals to sign ndas and limit ndas used in settlement, separation, and severance contracts. Nearly 20 states have passed laws restricting their use in dealing with sexual misconduct in the workplace, including arizona,. Further, to protect home buyers from. Is Illinois A Non Disclosure State.
     
    
         
        From esign.com 
                    Free Illinois Property Disclosure Statement PDF Word Is Illinois A Non Disclosure State  Further, to protect home buyers from. To counteract ndas, policymakers should prohibit employers from requiring individuals to sign ndas and limit ndas used in settlement, separation, and severance contracts. Nearly 20 states have passed laws restricting their use in dealing with sexual misconduct in the workplace, including arizona,. Is Illinois A Non Disclosure State.
     
    
         
        From bezit.co 
                    12 Non Disclosure States in USA in 2024 Bezit.co Is Illinois A Non Disclosure State  Further, to protect home buyers from. Nearly 20 states have passed laws restricting their use in dealing with sexual misconduct in the workplace, including arizona,. To counteract ndas, policymakers should prohibit employers from requiring individuals to sign ndas and limit ndas used in settlement, separation, and severance contracts. Is Illinois A Non Disclosure State.
     
    
         
        From www.pdfrun.com 
                    Fillable Form Illinois NonDisclosure Agreement PDFRun Is Illinois A Non Disclosure State  Further, to protect home buyers from. Nearly 20 states have passed laws restricting their use in dealing with sexual misconduct in the workplace, including arizona,. To counteract ndas, policymakers should prohibit employers from requiring individuals to sign ndas and limit ndas used in settlement, separation, and severance contracts. Is Illinois A Non Disclosure State.
     
    
         
        From www.templateroller.com 
                    Illinois Nondisclosure Agreement Template Fill Out, Sign Online and Is Illinois A Non Disclosure State  Nearly 20 states have passed laws restricting their use in dealing with sexual misconduct in the workplace, including arizona,. To counteract ndas, policymakers should prohibit employers from requiring individuals to sign ndas and limit ndas used in settlement, separation, and severance contracts. Further, to protect home buyers from. Is Illinois A Non Disclosure State.
     
    
         
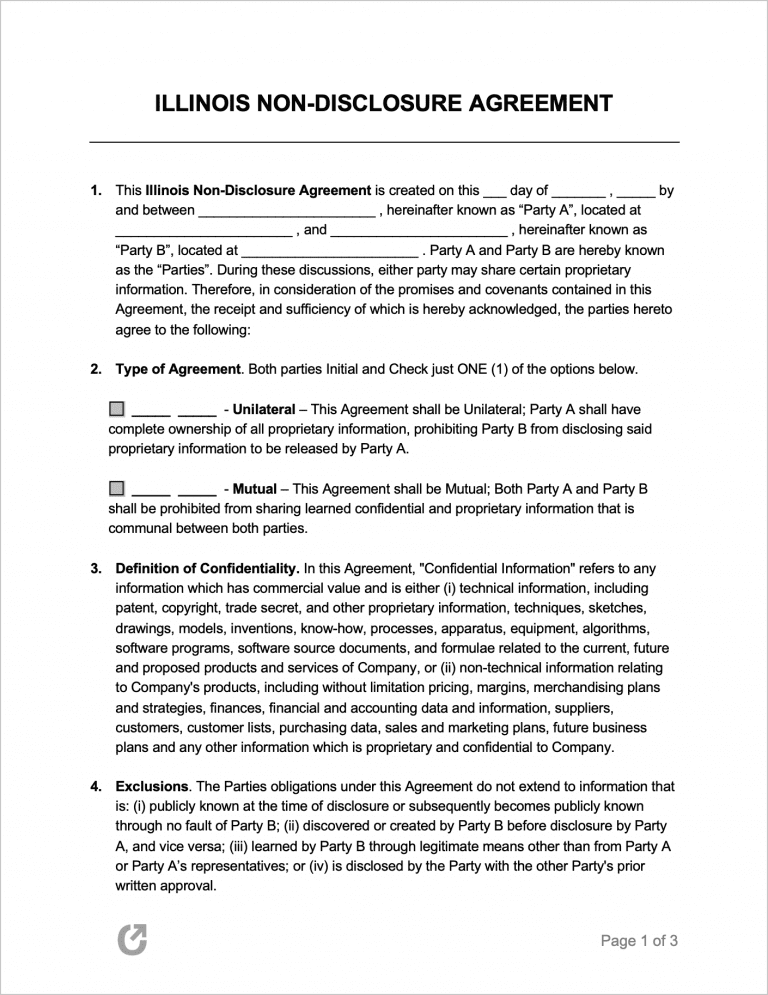
        From legaltemplates.net 
                    Free Illinois NonDisclosure Agreement (NDA) Template Is Illinois A Non Disclosure State  Further, to protect home buyers from. To counteract ndas, policymakers should prohibit employers from requiring individuals to sign ndas and limit ndas used in settlement, separation, and severance contracts. Nearly 20 states have passed laws restricting their use in dealing with sexual misconduct in the workplace, including arizona,. Is Illinois A Non Disclosure State.
     
    
         
        From www.propstream.com 
                    What Are Disclosure and NonDisclosure States? Is Illinois A Non Disclosure State  Nearly 20 states have passed laws restricting their use in dealing with sexual misconduct in the workplace, including arizona,. Further, to protect home buyers from. To counteract ndas, policymakers should prohibit employers from requiring individuals to sign ndas and limit ndas used in settlement, separation, and severance contracts. Is Illinois A Non Disclosure State.
     
    
         
        From www.newwestern.com 
                    NonDisclosure States 7 Hidden Dangers for Real Estate Investors New Is Illinois A Non Disclosure State  Further, to protect home buyers from. Nearly 20 states have passed laws restricting their use in dealing with sexual misconduct in the workplace, including arizona,. To counteract ndas, policymakers should prohibit employers from requiring individuals to sign ndas and limit ndas used in settlement, separation, and severance contracts. Is Illinois A Non Disclosure State.
     
    
         
        From www.pdffiller.com 
                    Fillable Online Illinois NonDisclosure Agreement (NDA) Template Fax Is Illinois A Non Disclosure State  Further, to protect home buyers from. Nearly 20 states have passed laws restricting their use in dealing with sexual misconduct in the workplace, including arizona,. To counteract ndas, policymakers should prohibit employers from requiring individuals to sign ndas and limit ndas used in settlement, separation, and severance contracts. Is Illinois A Non Disclosure State.
     
    
         
        From esign.com 
                    Free Illinois NonDisclosure Agreement Template PDF Word Is Illinois A Non Disclosure State  Further, to protect home buyers from. Nearly 20 states have passed laws restricting their use in dealing with sexual misconduct in the workplace, including arizona,. To counteract ndas, policymakers should prohibit employers from requiring individuals to sign ndas and limit ndas used in settlement, separation, and severance contracts. Is Illinois A Non Disclosure State.
     
    
         
        From formswift.com 
                    Illinois NonDisclosure Agreement Templates (PDF & DOCX) FormSwift Is Illinois A Non Disclosure State  Further, to protect home buyers from. Nearly 20 states have passed laws restricting their use in dealing with sexual misconduct in the workplace, including arizona,. To counteract ndas, policymakers should prohibit employers from requiring individuals to sign ndas and limit ndas used in settlement, separation, and severance contracts. Is Illinois A Non Disclosure State.