N52 Neodymium Magnet Datasheet . Magnetic properties may vary due to size and shape, and may not achieve the properties specified above. Due to its high flux or holding power, in relatively small magnets, m52 magnets are probably the best choice. Sintered neodymium iron boron (ndfeb) magnets. These are also referred to as neo or ndfeb magnets. Magnetic properties may vary due to size and shape, and may not achieve the properties specified above. N52 neodymium was the strongest neodymium magnet available for commercial use up until recently. In the hardware, magnets category. They offer a combination of high magnetic output at moderate cost. Ndfeb magnets are also know as neo, neodymium iron boron, ndbfe, nib, super strength, and rare earth magnets (although. Contents characteristic magnetic properties at room temperature (20°c) remarks on table.
from www.amazon.ca
N52 neodymium was the strongest neodymium magnet available for commercial use up until recently. In the hardware, magnets category. Due to its high flux or holding power, in relatively small magnets, m52 magnets are probably the best choice. Magnetic properties may vary due to size and shape, and may not achieve the properties specified above. Sintered neodymium iron boron (ndfeb) magnets. These are also referred to as neo or ndfeb magnets. They offer a combination of high magnetic output at moderate cost. Ndfeb magnets are also know as neo, neodymium iron boron, ndbfe, nib, super strength, and rare earth magnets (although. Magnetic properties may vary due to size and shape, and may not achieve the properties specified above. Contents characteristic magnetic properties at room temperature (20°c) remarks on table.
Super Strong Neodymium Disc Powerful N52 Rare Earth 1.26"D x 1/8"H, Pack of
N52 Neodymium Magnet Datasheet Magnetic properties may vary due to size and shape, and may not achieve the properties specified above. They offer a combination of high magnetic output at moderate cost. Ndfeb magnets are also know as neo, neodymium iron boron, ndbfe, nib, super strength, and rare earth magnets (although. Sintered neodymium iron boron (ndfeb) magnets. In the hardware, magnets category. Magnetic properties may vary due to size and shape, and may not achieve the properties specified above. Magnetic properties may vary due to size and shape, and may not achieve the properties specified above. N52 neodymium was the strongest neodymium magnet available for commercial use up until recently. These are also referred to as neo or ndfeb magnets. Due to its high flux or holding power, in relatively small magnets, m52 magnets are probably the best choice. Contents characteristic magnetic properties at room temperature (20°c) remarks on table.
From www.dgcourage.com
Ndfeb N52 grade material description and curve Courage Factory N52 Neodymium Magnet Datasheet In the hardware, magnets category. Due to its high flux or holding power, in relatively small magnets, m52 magnets are probably the best choice. Ndfeb magnets are also know as neo, neodymium iron boron, ndbfe, nib, super strength, and rare earth magnets (although. Sintered neodymium iron boron (ndfeb) magnets. Magnetic properties may vary due to size and shape, and may. N52 Neodymium Magnet Datasheet.
From es.scribd.com
Datasheet Neodymium Disc PDF Physics N52 Neodymium Magnet Datasheet They offer a combination of high magnetic output at moderate cost. Sintered neodymium iron boron (ndfeb) magnets. These are also referred to as neo or ndfeb magnets. Contents characteristic magnetic properties at room temperature (20°c) remarks on table. Magnetic properties may vary due to size and shape, and may not achieve the properties specified above. Due to its high flux. N52 Neodymium Magnet Datasheet.
From www.amazon.ca
Super Strong Neodymium Disc Powerful N52 Rare Earth 1.26"D x 1/8"H, Pack of N52 Neodymium Magnet Datasheet Ndfeb magnets are also know as neo, neodymium iron boron, ndbfe, nib, super strength, and rare earth magnets (although. They offer a combination of high magnetic output at moderate cost. Sintered neodymium iron boron (ndfeb) magnets. Magnetic properties may vary due to size and shape, and may not achieve the properties specified above. Magnetic properties may vary due to size. N52 Neodymium Magnet Datasheet.
From titan-magnetics.com
Giant N52 Block Neodymium 80x40x40mm, N52 Atlas N52 Neodymium Magnet Datasheet Ndfeb magnets are also know as neo, neodymium iron boron, ndbfe, nib, super strength, and rare earth magnets (although. These are also referred to as neo or ndfeb magnets. Sintered neodymium iron boron (ndfeb) magnets. Due to its high flux or holding power, in relatively small magnets, m52 magnets are probably the best choice. They offer a combination of high. N52 Neodymium Magnet Datasheet.
From www.magnet4sale.com
N52 Neodymium Bar 2x1/2x1/4" 30 LB Pull Durable N52 Neodymium Magnet Datasheet Ndfeb magnets are also know as neo, neodymium iron boron, ndbfe, nib, super strength, and rare earth magnets (although. They offer a combination of high magnetic output at moderate cost. In the hardware, magnets category. These are also referred to as neo or ndfeb magnets. Sintered neodymium iron boron (ndfeb) magnets. Contents characteristic magnetic properties at room temperature (20°c) remarks. N52 Neodymium Magnet Datasheet.
From www.magnethandel.de
Neodym N52 30x20x10 mm NdFeB 24kg N52 Neodymium Magnet Datasheet These are also referred to as neo or ndfeb magnets. In the hardware, magnets category. Ndfeb magnets are also know as neo, neodymium iron boron, ndbfe, nib, super strength, and rare earth magnets (although. Contents characteristic magnetic properties at room temperature (20°c) remarks on table. N52 neodymium was the strongest neodymium magnet available for commercial use up until recently. They. N52 Neodymium Magnet Datasheet.
From www.alibaba.com
N35N52 Strong Neodymium Disc/Round Strong N52 Neodymium Magnet Datasheet In the hardware, magnets category. Sintered neodymium iron boron (ndfeb) magnets. Due to its high flux or holding power, in relatively small magnets, m52 magnets are probably the best choice. N52 neodymium was the strongest neodymium magnet available for commercial use up until recently. Contents characteristic magnetic properties at room temperature (20°c) remarks on table. Magnetic properties may vary due. N52 Neodymium Magnet Datasheet.
From suprememagnets.com
Neodymium Material Datasheet Sheets Supreme N52 Neodymium Magnet Datasheet Magnetic properties may vary due to size and shape, and may not achieve the properties specified above. N52 neodymium was the strongest neodymium magnet available for commercial use up until recently. Magnetic properties may vary due to size and shape, and may not achieve the properties specified above. They offer a combination of high magnetic output at moderate cost. Ndfeb. N52 Neodymium Magnet Datasheet.
From www.magnet4less.com
N52 Neodymium NdFeB Block 2 in x 2 in x 1 in N52 Neodymium Magnet Datasheet They offer a combination of high magnetic output at moderate cost. Magnetic properties may vary due to size and shape, and may not achieve the properties specified above. In the hardware, magnets category. Contents characteristic magnetic properties at room temperature (20°c) remarks on table. These are also referred to as neo or ndfeb magnets. Magnetic properties may vary due to. N52 Neodymium Magnet Datasheet.
From www.epi-magnets.com
RX054N52 Neodymium Ring EPI N52 Neodymium Magnet Datasheet Ndfeb magnets are also know as neo, neodymium iron boron, ndbfe, nib, super strength, and rare earth magnets (although. Sintered neodymium iron boron (ndfeb) magnets. They offer a combination of high magnetic output at moderate cost. Contents characteristic magnetic properties at room temperature (20°c) remarks on table. In the hardware, magnets category. Due to its high flux or holding power,. N52 Neodymium Magnet Datasheet.
From www.epi-magnets.com
D301N52 Neodymium Disc/Cylinder EPI N52 Neodymium Magnet Datasheet N52 neodymium was the strongest neodymium magnet available for commercial use up until recently. Contents characteristic magnetic properties at room temperature (20°c) remarks on table. Sintered neodymium iron boron (ndfeb) magnets. Magnetic properties may vary due to size and shape, and may not achieve the properties specified above. Ndfeb magnets are also know as neo, neodymium iron boron, ndbfe, nib,. N52 Neodymium Magnet Datasheet.
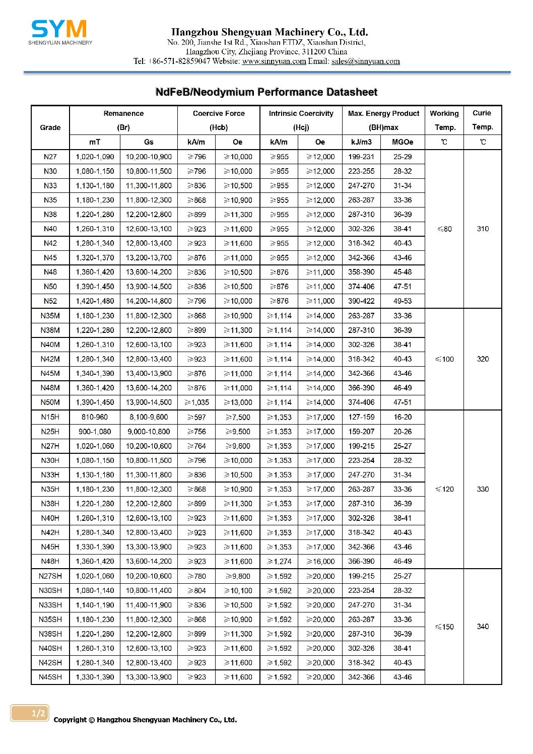
From www.sinnyuan.com
Neodymium Datasheet N52 Neodymium Magnet Datasheet They offer a combination of high magnetic output at moderate cost. Magnetic properties may vary due to size and shape, and may not achieve the properties specified above. In the hardware, magnets category. These are also referred to as neo or ndfeb magnets. Contents characteristic magnetic properties at room temperature (20°c) remarks on table. N52 neodymium was the strongest neodymium. N52 Neodymium Magnet Datasheet.
From www.epi-magnets.com
DA2N52 Neodymium Disc/Cylinder EPI N52 Neodymium Magnet Datasheet Sintered neodymium iron boron (ndfeb) magnets. N52 neodymium was the strongest neodymium magnet available for commercial use up until recently. They offer a combination of high magnetic output at moderate cost. In the hardware, magnets category. Due to its high flux or holding power, in relatively small magnets, m52 magnets are probably the best choice. Magnetic properties may vary due. N52 Neodymium Magnet Datasheet.
From www.epi-magnets.com
DA1N52 Neodymium Disc/Cylinder EPI N52 Neodymium Magnet Datasheet Due to its high flux or holding power, in relatively small magnets, m52 magnets are probably the best choice. They offer a combination of high magnetic output at moderate cost. Ndfeb magnets are also know as neo, neodymium iron boron, ndbfe, nib, super strength, and rare earth magnets (although. N52 neodymium was the strongest neodymium magnet available for commercial use. N52 Neodymium Magnet Datasheet.
From www.kjmagnetics.com
BC82CSNN52 Neodymium Countersunk Block K&J N52 Neodymium Magnet Datasheet Magnetic properties may vary due to size and shape, and may not achieve the properties specified above. Ndfeb magnets are also know as neo, neodymium iron boron, ndbfe, nib, super strength, and rare earth magnets (although. These are also referred to as neo or ndfeb magnets. N52 neodymium was the strongest neodymium magnet available for commercial use up until recently.. N52 Neodymium Magnet Datasheet.
From jc-magnetics.com
18mm X 3mm N52 neodymium round discs 45/64in x 1/8in N52 Neodymium Magnet Datasheet They offer a combination of high magnetic output at moderate cost. Magnetic properties may vary due to size and shape, and may not achieve the properties specified above. N52 neodymium was the strongest neodymium magnet available for commercial use up until recently. Sintered neodymium iron boron (ndfeb) magnets. These are also referred to as neo or ndfeb magnets. Ndfeb magnets. N52 Neodymium Magnet Datasheet.
From www.first4magnets.com
N52 Grade Neodymium N52 Neodymium Magnet Datasheet These are also referred to as neo or ndfeb magnets. Contents characteristic magnetic properties at room temperature (20°c) remarks on table. Due to its high flux or holding power, in relatively small magnets, m52 magnets are probably the best choice. Magnetic properties may vary due to size and shape, and may not achieve the properties specified above. N52 neodymium was. N52 Neodymium Magnet Datasheet.
From jc-magnetics.com
10mm x 3mm N52 neodymium round discs 3/8in x 1/8in N52 Neodymium Magnet Datasheet N52 neodymium was the strongest neodymium magnet available for commercial use up until recently. Sintered neodymium iron boron (ndfeb) magnets. Ndfeb magnets are also know as neo, neodymium iron boron, ndbfe, nib, super strength, and rare earth magnets (although. Magnetic properties may vary due to size and shape, and may not achieve the properties specified above. They offer a combination. N52 Neodymium Magnet Datasheet.
From www.greenstuffworld.com
Neodymium 3x1mm 100 units (N52) GSW N52 Neodymium Magnet Datasheet These are also referred to as neo or ndfeb magnets. Magnetic properties may vary due to size and shape, and may not achieve the properties specified above. In the hardware, magnets category. They offer a combination of high magnetic output at moderate cost. Ndfeb magnets are also know as neo, neodymium iron boron, ndbfe, nib, super strength, and rare earth. N52 Neodymium Magnet Datasheet.
From www.magnet4sale.com
N52 Neodymium CMS Inc N52 Neodymium Magnet Datasheet They offer a combination of high magnetic output at moderate cost. Magnetic properties may vary due to size and shape, and may not achieve the properties specified above. Magnetic properties may vary due to size and shape, and may not achieve the properties specified above. N52 neodymium was the strongest neodymium magnet available for commercial use up until recently. Ndfeb. N52 Neodymium Magnet Datasheet.
From jc-magnetics.com
30mm X 3mm N52 neodymium round discs 1 3/16in x 1/8 N52 Neodymium Magnet Datasheet Magnetic properties may vary due to size and shape, and may not achieve the properties specified above. Due to its high flux or holding power, in relatively small magnets, m52 magnets are probably the best choice. Sintered neodymium iron boron (ndfeb) magnets. In the hardware, magnets category. Contents characteristic magnetic properties at room temperature (20°c) remarks on table. These are. N52 Neodymium Magnet Datasheet.
From www.mpcomagnetics.com
90mm x 30mm Huge Disc Neodymium N52 Nickel MPCO N52 Neodymium Magnet Datasheet Contents characteristic magnetic properties at room temperature (20°c) remarks on table. Sintered neodymium iron boron (ndfeb) magnets. Due to its high flux or holding power, in relatively small magnets, m52 magnets are probably the best choice. They offer a combination of high magnetic output at moderate cost. N52 neodymium was the strongest neodymium magnet available for commercial use up until. N52 Neodymium Magnet Datasheet.
From www.kjmagnetics.com
BY0X08DCSN52 Neodymium Countersunk Block K&J N52 Neodymium Magnet Datasheet Ndfeb magnets are also know as neo, neodymium iron boron, ndbfe, nib, super strength, and rare earth magnets (although. They offer a combination of high magnetic output at moderate cost. In the hardware, magnets category. These are also referred to as neo or ndfeb magnets. N52 neodymium was the strongest neodymium magnet available for commercial use up until recently. Contents. N52 Neodymium Magnet Datasheet.
From www.epi-magnets.com
DX02GN52 Neodymium Disc/Cylinder EPI N52 Neodymium Magnet Datasheet Due to its high flux or holding power, in relatively small magnets, m52 magnets are probably the best choice. These are also referred to as neo or ndfeb magnets. Contents characteristic magnetic properties at room temperature (20°c) remarks on table. Magnetic properties may vary due to size and shape, and may not achieve the properties specified above. N52 neodymium was. N52 Neodymium Magnet Datasheet.
From www.desertcart.ae
Neodymium N52 Super Strong Pack of 12 Powerful Rare Earth Round 1.26"D x 0. N52 Neodymium Magnet Datasheet In the hardware, magnets category. Contents characteristic magnetic properties at room temperature (20°c) remarks on table. Magnetic properties may vary due to size and shape, and may not achieve the properties specified above. Ndfeb magnets are also know as neo, neodymium iron boron, ndbfe, nib, super strength, and rare earth magnets (although. These are also referred to as neo or. N52 Neodymium Magnet Datasheet.
From www.epi-magnets.com
D32N52 Neodymium Disc/Cylinder EPI N52 Neodymium Magnet Datasheet In the hardware, magnets category. These are also referred to as neo or ndfeb magnets. Due to its high flux or holding power, in relatively small magnets, m52 magnets are probably the best choice. Magnetic properties may vary due to size and shape, and may not achieve the properties specified above. Magnetic properties may vary due to size and shape,. N52 Neodymium Magnet Datasheet.
From www.epi-magnets.com
D92N52 Neodymium Disc/Cylinder EPI N52 Neodymium Magnet Datasheet N52 neodymium was the strongest neodymium magnet available for commercial use up until recently. Magnetic properties may vary due to size and shape, and may not achieve the properties specified above. They offer a combination of high magnetic output at moderate cost. Ndfeb magnets are also know as neo, neodymium iron boron, ndbfe, nib, super strength, and rare earth magnets. N52 Neodymium Magnet Datasheet.
From www.epi-magnets.com
D93N52 Neodymium Disc/Cylinder EPI N52 Neodymium Magnet Datasheet Sintered neodymium iron boron (ndfeb) magnets. Contents characteristic magnetic properties at room temperature (20°c) remarks on table. Magnetic properties may vary due to size and shape, and may not achieve the properties specified above. Magnetic properties may vary due to size and shape, and may not achieve the properties specified above. In the hardware, magnets category. These are also referred. N52 Neodymium Magnet Datasheet.
From www.calameo.com
Calaméo Nd Fe B Neodymium Iron Boron Standard Datasheet N52 Neodymium Magnet Datasheet Sintered neodymium iron boron (ndfeb) magnets. They offer a combination of high magnetic output at moderate cost. Magnetic properties may vary due to size and shape, and may not achieve the properties specified above. N52 neodymium was the strongest neodymium magnet available for commercial use up until recently. Due to its high flux or holding power, in relatively small magnets,. N52 Neodymium Magnet Datasheet.
From www.epi-magnets.com
D401N52 Neodymium Disc/Cylinder EPI N52 Neodymium Magnet Datasheet Sintered neodymium iron boron (ndfeb) magnets. N52 neodymium was the strongest neodymium magnet available for commercial use up until recently. In the hardware, magnets category. Ndfeb magnets are also know as neo, neodymium iron boron, ndbfe, nib, super strength, and rare earth magnets (although. These are also referred to as neo or ndfeb magnets. Contents characteristic magnetic properties at room. N52 Neodymium Magnet Datasheet.
From jc-magnetics.com
8mm X 4mm N52 neodymium round discs 1/3in x 5/32in N52 Neodymium Magnet Datasheet Due to its high flux or holding power, in relatively small magnets, m52 magnets are probably the best choice. In the hardware, magnets category. Magnetic properties may vary due to size and shape, and may not achieve the properties specified above. Contents characteristic magnetic properties at room temperature (20°c) remarks on table. These are also referred to as neo or. N52 Neodymium Magnet Datasheet.
From www.epi-magnets.com
D62N52 Neodymium Disc/Cylinder EPI N52 Neodymium Magnet Datasheet Ndfeb magnets are also know as neo, neodymium iron boron, ndbfe, nib, super strength, and rare earth magnets (although. Sintered neodymium iron boron (ndfeb) magnets. In the hardware, magnets category. Magnetic properties may vary due to size and shape, and may not achieve the properties specified above. Contents characteristic magnetic properties at room temperature (20°c) remarks on table. These are. N52 Neodymium Magnet Datasheet.
From appliedmagnets.com
N52 Neodymium 1 in x 1/4 in x 1/16 in Block N52 Neodymium Magnet Datasheet Magnetic properties may vary due to size and shape, and may not achieve the properties specified above. In the hardware, magnets category. Sintered neodymium iron boron (ndfeb) magnets. N52 neodymium was the strongest neodymium magnet available for commercial use up until recently. Due to its high flux or holding power, in relatively small magnets, m52 magnets are probably the best. N52 Neodymium Magnet Datasheet.
From www.magnet4less.com
N52 Super Strong Neodymium 5/8 in x 1/4 in Disc Applied N52 Neodymium Magnet Datasheet N52 neodymium was the strongest neodymium magnet available for commercial use up until recently. They offer a combination of high magnetic output at moderate cost. Magnetic properties may vary due to size and shape, and may not achieve the properties specified above. Ndfeb magnets are also know as neo, neodymium iron boron, ndbfe, nib, super strength, and rare earth magnets. N52 Neodymium Magnet Datasheet.
From www.epi-magnets.com
D31N52 Neodymium Disc/Cylinder EPI N52 Neodymium Magnet Datasheet Sintered neodymium iron boron (ndfeb) magnets. Magnetic properties may vary due to size and shape, and may not achieve the properties specified above. Contents characteristic magnetic properties at room temperature (20°c) remarks on table. Magnetic properties may vary due to size and shape, and may not achieve the properties specified above. These are also referred to as neo or ndfeb. N52 Neodymium Magnet Datasheet.