Preparation Of Dilute Hydrogen Peroxide Solution . The calculator will help you dilute the hydrogen peroxide solution accurately, ensuring safety and effectiveness for specific applications. To make 3% hydrogen peroxide from 35% hydrogen peroxide, the general mixing guideline is: Measure 9 ml of distilled water and. How do you dilute hydrogen peroxide? The hydrogen peroxide dosing calculator is a handy tool designed to help you determine the exact volume of hydrogen. This hydrogen peroxide dilution calculator makes it easy to dilute any concentration of peroxide down to the concentration & amount you prefer!. To make 1 ½ % hydrogen peroxide, mix equal parts of 3% hydrogen peroxide with distilled water. 1 part 35% hydrogen peroxide plus 11 parts. Diluting hydrogen peroxide is a simple process. Hydrogen peroxide (3%) 10 vols solution. If 3% hydrogen peroxide is called for, it is not necessary to dilute what. To achieve the desired concentration, mix it with an appropriate amount of.
from www.researchgate.net
The hydrogen peroxide dosing calculator is a handy tool designed to help you determine the exact volume of hydrogen. To make 1 ½ % hydrogen peroxide, mix equal parts of 3% hydrogen peroxide with distilled water. 1 part 35% hydrogen peroxide plus 11 parts. How do you dilute hydrogen peroxide? Measure 9 ml of distilled water and. To make 3% hydrogen peroxide from 35% hydrogen peroxide, the general mixing guideline is: Diluting hydrogen peroxide is a simple process. This hydrogen peroxide dilution calculator makes it easy to dilute any concentration of peroxide down to the concentration & amount you prefer!. If 3% hydrogen peroxide is called for, it is not necessary to dilute what. The calculator will help you dilute the hydrogen peroxide solution accurately, ensuring safety and effectiveness for specific applications.
(PDF) Synthesis of Nanoporous TiO2 with the Use of Diluted Hydrogen Peroxide Solution and Its
Preparation Of Dilute Hydrogen Peroxide Solution Hydrogen peroxide (3%) 10 vols solution. Hydrogen peroxide (3%) 10 vols solution. To achieve the desired concentration, mix it with an appropriate amount of. If 3% hydrogen peroxide is called for, it is not necessary to dilute what. How do you dilute hydrogen peroxide? This hydrogen peroxide dilution calculator makes it easy to dilute any concentration of peroxide down to the concentration & amount you prefer!. To make 3% hydrogen peroxide from 35% hydrogen peroxide, the general mixing guideline is: The hydrogen peroxide dosing calculator is a handy tool designed to help you determine the exact volume of hydrogen. The calculator will help you dilute the hydrogen peroxide solution accurately, ensuring safety and effectiveness for specific applications. 1 part 35% hydrogen peroxide plus 11 parts. Diluting hydrogen peroxide is a simple process. Measure 9 ml of distilled water and. To make 1 ½ % hydrogen peroxide, mix equal parts of 3% hydrogen peroxide with distilled water.
From www.chegg.com
Solved The of hydrogen peroxide in dilute Preparation Of Dilute Hydrogen Peroxide Solution Measure 9 ml of distilled water and. Hydrogen peroxide (3%) 10 vols solution. How do you dilute hydrogen peroxide? 1 part 35% hydrogen peroxide plus 11 parts. To make 3% hydrogen peroxide from 35% hydrogen peroxide, the general mixing guideline is: To make 1 ½ % hydrogen peroxide, mix equal parts of 3% hydrogen peroxide with distilled water. If 3%. Preparation Of Dilute Hydrogen Peroxide Solution.
From www.chegg.com
Solved dilute aqueous hydrogen peroxide is used as a Preparation Of Dilute Hydrogen Peroxide Solution To make 1 ½ % hydrogen peroxide, mix equal parts of 3% hydrogen peroxide with distilled water. 1 part 35% hydrogen peroxide plus 11 parts. Hydrogen peroxide (3%) 10 vols solution. To achieve the desired concentration, mix it with an appropriate amount of. To make 3% hydrogen peroxide from 35% hydrogen peroxide, the general mixing guideline is: If 3% hydrogen. Preparation Of Dilute Hydrogen Peroxide Solution.
From www.chegg.com
Solved For the of hydrogen peroxide in dilute Preparation Of Dilute Hydrogen Peroxide Solution To make 1 ½ % hydrogen peroxide, mix equal parts of 3% hydrogen peroxide with distilled water. The hydrogen peroxide dosing calculator is a handy tool designed to help you determine the exact volume of hydrogen. The calculator will help you dilute the hydrogen peroxide solution accurately, ensuring safety and effectiveness for specific applications. 1 part 35% hydrogen peroxide plus. Preparation Of Dilute Hydrogen Peroxide Solution.
From mmerevise.co.uk
Concentrations and Dilutions MME Preparation Of Dilute Hydrogen Peroxide Solution This hydrogen peroxide dilution calculator makes it easy to dilute any concentration of peroxide down to the concentration & amount you prefer!. Hydrogen peroxide (3%) 10 vols solution. To achieve the desired concentration, mix it with an appropriate amount of. If 3% hydrogen peroxide is called for, it is not necessary to dilute what. The hydrogen peroxide dosing calculator is. Preparation Of Dilute Hydrogen Peroxide Solution.
From lessonbergincalyptra.z21.web.core.windows.net
Catalase Experiment With Hydrogen Peroxide Preparation Of Dilute Hydrogen Peroxide Solution To make 3% hydrogen peroxide from 35% hydrogen peroxide, the general mixing guideline is: The hydrogen peroxide dosing calculator is a handy tool designed to help you determine the exact volume of hydrogen. 1 part 35% hydrogen peroxide plus 11 parts. Diluting hydrogen peroxide is a simple process. The calculator will help you dilute the hydrogen peroxide solution accurately, ensuring. Preparation Of Dilute Hydrogen Peroxide Solution.
From byjus.com
In the following schematic diagram for the preparation of hydrogen gas as shown in the figure Preparation Of Dilute Hydrogen Peroxide Solution To achieve the desired concentration, mix it with an appropriate amount of. 1 part 35% hydrogen peroxide plus 11 parts. If 3% hydrogen peroxide is called for, it is not necessary to dilute what. The hydrogen peroxide dosing calculator is a handy tool designed to help you determine the exact volume of hydrogen. Measure 9 ml of distilled water and.. Preparation Of Dilute Hydrogen Peroxide Solution.
From solutionpharmacy.in
Assay of Hydrogen Peroxide Solution Parmacy Preparation Of Dilute Hydrogen Peroxide Solution To make 3% hydrogen peroxide from 35% hydrogen peroxide, the general mixing guideline is: The hydrogen peroxide dosing calculator is a handy tool designed to help you determine the exact volume of hydrogen. To achieve the desired concentration, mix it with an appropriate amount of. This hydrogen peroxide dilution calculator makes it easy to dilute any concentration of peroxide down. Preparation Of Dilute Hydrogen Peroxide Solution.
From scienceinfo.com
Hydrogen Peroxide Structure, Properties, Preparation, Uses Preparation Of Dilute Hydrogen Peroxide Solution Hydrogen peroxide (3%) 10 vols solution. If 3% hydrogen peroxide is called for, it is not necessary to dilute what. To achieve the desired concentration, mix it with an appropriate amount of. Diluting hydrogen peroxide is a simple process. 1 part 35% hydrogen peroxide plus 11 parts. The calculator will help you dilute the hydrogen peroxide solution accurately, ensuring safety. Preparation Of Dilute Hydrogen Peroxide Solution.
From pubs.usgs.gov
USGS OFR01041 Procedures Acetic Acid Treatment to Remove Carbonates Preparation Of Dilute Hydrogen Peroxide Solution How do you dilute hydrogen peroxide? Hydrogen peroxide (3%) 10 vols solution. The calculator will help you dilute the hydrogen peroxide solution accurately, ensuring safety and effectiveness for specific applications. 1 part 35% hydrogen peroxide plus 11 parts. This hydrogen peroxide dilution calculator makes it easy to dilute any concentration of peroxide down to the concentration & amount you prefer!.. Preparation Of Dilute Hydrogen Peroxide Solution.
From exoektyuq.blob.core.windows.net
Diluted Solution Hydrogen Peroxide at Ada Haslam blog Preparation Of Dilute Hydrogen Peroxide Solution To make 3% hydrogen peroxide from 35% hydrogen peroxide, the general mixing guideline is: To achieve the desired concentration, mix it with an appropriate amount of. How do you dilute hydrogen peroxide? Hydrogen peroxide (3%) 10 vols solution. The calculator will help you dilute the hydrogen peroxide solution accurately, ensuring safety and effectiveness for specific applications. If 3% hydrogen peroxide. Preparation Of Dilute Hydrogen Peroxide Solution.
From www.researchgate.net
How to prepare 5mM of H2O2 solution from 30 stock? Preparation Of Dilute Hydrogen Peroxide Solution 1 part 35% hydrogen peroxide plus 11 parts. Diluting hydrogen peroxide is a simple process. The hydrogen peroxide dosing calculator is a handy tool designed to help you determine the exact volume of hydrogen. Measure 9 ml of distilled water and. To make 3% hydrogen peroxide from 35% hydrogen peroxide, the general mixing guideline is: How do you dilute hydrogen. Preparation Of Dilute Hydrogen Peroxide Solution.
From www.pinterest.com
How to use dilute 35 Hydrogen peroxide as a key tool Hydrogen peroxide, Instruction, Networking Preparation Of Dilute Hydrogen Peroxide Solution The calculator will help you dilute the hydrogen peroxide solution accurately, ensuring safety and effectiveness for specific applications. To make 3% hydrogen peroxide from 35% hydrogen peroxide, the general mixing guideline is: 1 part 35% hydrogen peroxide plus 11 parts. Measure 9 ml of distilled water and. To make 1 ½ % hydrogen peroxide, mix equal parts of 3% hydrogen. Preparation Of Dilute Hydrogen Peroxide Solution.
From byjus.com
why can dilute solution of hydrogen peroxide not concentrated by heating.how can a concentrated Preparation Of Dilute Hydrogen Peroxide Solution To make 1 ½ % hydrogen peroxide, mix equal parts of 3% hydrogen peroxide with distilled water. Hydrogen peroxide (3%) 10 vols solution. To make 3% hydrogen peroxide from 35% hydrogen peroxide, the general mixing guideline is: To achieve the desired concentration, mix it with an appropriate amount of. 1 part 35% hydrogen peroxide plus 11 parts. The hydrogen peroxide. Preparation Of Dilute Hydrogen Peroxide Solution.
From www.youtube.com
HOW TO MAKE PREPARATION OF DILUTE HYDROGEN PEROXIDE FOR CHEMISTRY PRACTICAL. YouTube Preparation Of Dilute Hydrogen Peroxide Solution This hydrogen peroxide dilution calculator makes it easy to dilute any concentration of peroxide down to the concentration & amount you prefer!. How do you dilute hydrogen peroxide? To make 1 ½ % hydrogen peroxide, mix equal parts of 3% hydrogen peroxide with distilled water. The calculator will help you dilute the hydrogen peroxide solution accurately, ensuring safety and effectiveness. Preparation Of Dilute Hydrogen Peroxide Solution.
From gallproductsvirh.blogspot.com
How To Dilute Food Grade Hydrogen Peroxide 35 Food Grade Hydrogen Peroxide / Starting day one Preparation Of Dilute Hydrogen Peroxide Solution To make 3% hydrogen peroxide from 35% hydrogen peroxide, the general mixing guideline is: The hydrogen peroxide dosing calculator is a handy tool designed to help you determine the exact volume of hydrogen. To make 1 ½ % hydrogen peroxide, mix equal parts of 3% hydrogen peroxide with distilled water. To achieve the desired concentration, mix it with an appropriate. Preparation Of Dilute Hydrogen Peroxide Solution.
From www.numerade.com
SOLVED Assay of Hydrogen Peroxide Solution Procedure 1. Pipet 2 milliliters of hydrogen Preparation Of Dilute Hydrogen Peroxide Solution The hydrogen peroxide dosing calculator is a handy tool designed to help you determine the exact volume of hydrogen. Measure 9 ml of distilled water and. The calculator will help you dilute the hydrogen peroxide solution accurately, ensuring safety and effectiveness for specific applications. To make 1 ½ % hydrogen peroxide, mix equal parts of 3% hydrogen peroxide with distilled. Preparation Of Dilute Hydrogen Peroxide Solution.
From www.numerade.com
SOLVED order t0 analyze commercial procedure described in this hydrogen peroxide solution by Preparation Of Dilute Hydrogen Peroxide Solution This hydrogen peroxide dilution calculator makes it easy to dilute any concentration of peroxide down to the concentration & amount you prefer!. To make 1 ½ % hydrogen peroxide, mix equal parts of 3% hydrogen peroxide with distilled water. To achieve the desired concentration, mix it with an appropriate amount of. The hydrogen peroxide dosing calculator is a handy tool. Preparation Of Dilute Hydrogen Peroxide Solution.
From www.theoneminutemiracleinc.com
How to dilute Hydrogen Peroxide To 3 The One Minute Miracle Preparation Of Dilute Hydrogen Peroxide Solution Diluting hydrogen peroxide is a simple process. Measure 9 ml of distilled water and. To make 3% hydrogen peroxide from 35% hydrogen peroxide, the general mixing guideline is: How do you dilute hydrogen peroxide? To achieve the desired concentration, mix it with an appropriate amount of. This hydrogen peroxide dilution calculator makes it easy to dilute any concentration of peroxide. Preparation Of Dilute Hydrogen Peroxide Solution.
From chemistry.stackexchange.com
home experiment Safely dilute this 35 hydrogen peroxide solution to 3 and store after Preparation Of Dilute Hydrogen Peroxide Solution To make 1 ½ % hydrogen peroxide, mix equal parts of 3% hydrogen peroxide with distilled water. Diluting hydrogen peroxide is a simple process. Measure 9 ml of distilled water and. The calculator will help you dilute the hydrogen peroxide solution accurately, ensuring safety and effectiveness for specific applications. If 3% hydrogen peroxide is called for, it is not necessary. Preparation Of Dilute Hydrogen Peroxide Solution.
From www.chegg.com
Solved 15 mL from a diluted solution of hydrogen peroxide Preparation Of Dilute Hydrogen Peroxide Solution To make 3% hydrogen peroxide from 35% hydrogen peroxide, the general mixing guideline is: If 3% hydrogen peroxide is called for, it is not necessary to dilute what. Hydrogen peroxide (3%) 10 vols solution. Diluting hydrogen peroxide is a simple process. The calculator will help you dilute the hydrogen peroxide solution accurately, ensuring safety and effectiveness for specific applications. How. Preparation Of Dilute Hydrogen Peroxide Solution.
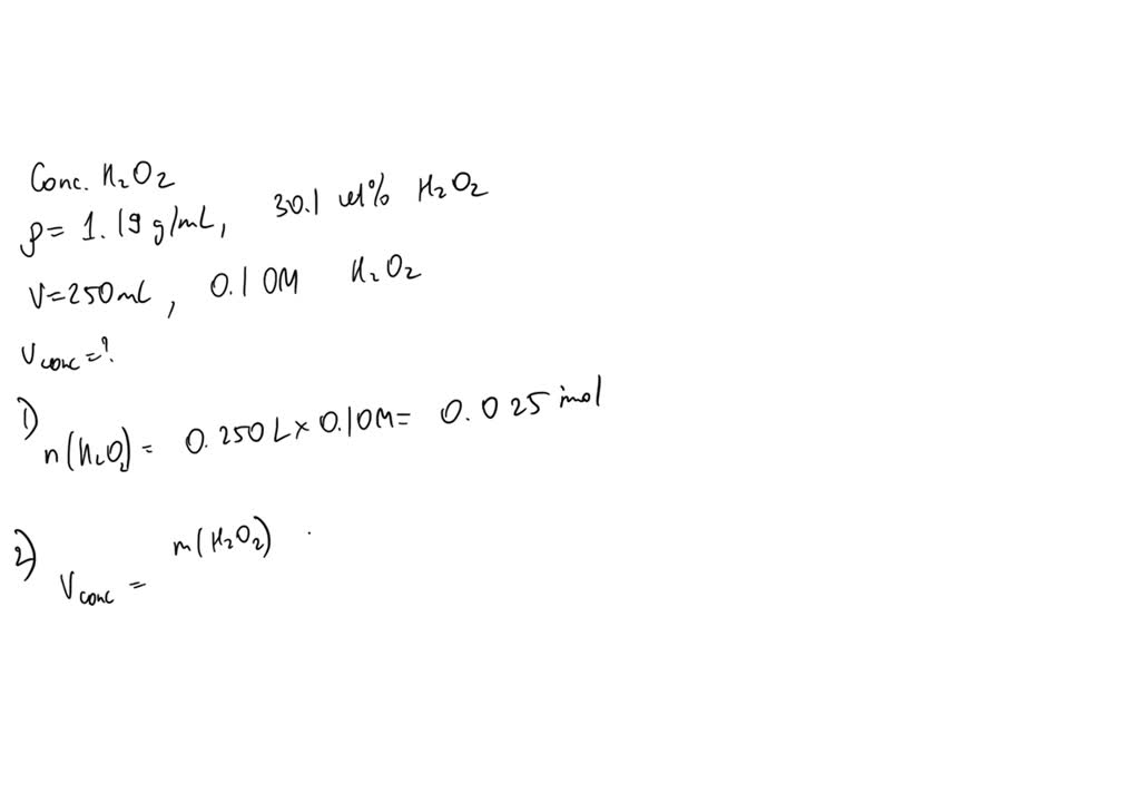
From www.numerade.com
SOLVED Concentrated hydrogen peroxide (H2O2, FW34.01 g/mol, Ï =1.19 g/mL) is a 30.1 wt Preparation Of Dilute Hydrogen Peroxide Solution Hydrogen peroxide (3%) 10 vols solution. To make 3% hydrogen peroxide from 35% hydrogen peroxide, the general mixing guideline is: The hydrogen peroxide dosing calculator is a handy tool designed to help you determine the exact volume of hydrogen. If 3% hydrogen peroxide is called for, it is not necessary to dilute what. Measure 9 ml of distilled water and.. Preparation Of Dilute Hydrogen Peroxide Solution.
From www.chegg.com
Solved Method Assay of Hydrogen peroxide Solution Hydrogen Preparation Of Dilute Hydrogen Peroxide Solution The calculator will help you dilute the hydrogen peroxide solution accurately, ensuring safety and effectiveness for specific applications. If 3% hydrogen peroxide is called for, it is not necessary to dilute what. The hydrogen peroxide dosing calculator is a handy tool designed to help you determine the exact volume of hydrogen. How do you dilute hydrogen peroxide? To achieve the. Preparation Of Dilute Hydrogen Peroxide Solution.
From www.chegg.com
Solved For the of hydrogen peroxide in dilute Preparation Of Dilute Hydrogen Peroxide Solution How do you dilute hydrogen peroxide? Diluting hydrogen peroxide is a simple process. The calculator will help you dilute the hydrogen peroxide solution accurately, ensuring safety and effectiveness for specific applications. Hydrogen peroxide (3%) 10 vols solution. To achieve the desired concentration, mix it with an appropriate amount of. Measure 9 ml of distilled water and. If 3% hydrogen peroxide. Preparation Of Dilute Hydrogen Peroxide Solution.
From www.alamy.com
Full labelled diagram of the laboratory preparation of oxygen from hydrogen peroxide and Preparation Of Dilute Hydrogen Peroxide Solution Measure 9 ml of distilled water and. To achieve the desired concentration, mix it with an appropriate amount of. 1 part 35% hydrogen peroxide plus 11 parts. Diluting hydrogen peroxide is a simple process. Hydrogen peroxide (3%) 10 vols solution. This hydrogen peroxide dilution calculator makes it easy to dilute any concentration of peroxide down to the concentration & amount. Preparation Of Dilute Hydrogen Peroxide Solution.
From powellsolutions.com
Hydrogen Peroxide Dilution System Fully Assembled & Skid Mounted Preparation Of Dilute Hydrogen Peroxide Solution How do you dilute hydrogen peroxide? The hydrogen peroxide dosing calculator is a handy tool designed to help you determine the exact volume of hydrogen. If 3% hydrogen peroxide is called for, it is not necessary to dilute what. Hydrogen peroxide (3%) 10 vols solution. Measure 9 ml of distilled water and. To make 3% hydrogen peroxide from 35% hydrogen. Preparation Of Dilute Hydrogen Peroxide Solution.
From www.alamy.com
liver before and after being dropped into hydrogen peroxide solution Stock Photo Alamy Preparation Of Dilute Hydrogen Peroxide Solution Measure 9 ml of distilled water and. To make 1 ½ % hydrogen peroxide, mix equal parts of 3% hydrogen peroxide with distilled water. 1 part 35% hydrogen peroxide plus 11 parts. To make 3% hydrogen peroxide from 35% hydrogen peroxide, the general mixing guideline is: Diluting hydrogen peroxide is a simple process. The calculator will help you dilute the. Preparation Of Dilute Hydrogen Peroxide Solution.
From www.chegg.com
Solved The of hydrogen peroxide in dilute Preparation Of Dilute Hydrogen Peroxide Solution Diluting hydrogen peroxide is a simple process. The hydrogen peroxide dosing calculator is a handy tool designed to help you determine the exact volume of hydrogen. Measure 9 ml of distilled water and. How do you dilute hydrogen peroxide? Hydrogen peroxide (3%) 10 vols solution. To make 3% hydrogen peroxide from 35% hydrogen peroxide, the general mixing guideline is: The. Preparation Of Dilute Hydrogen Peroxide Solution.
From byjus.com
preparation of hydrogen peroxide Preparation Of Dilute Hydrogen Peroxide Solution Measure 9 ml of distilled water and. 1 part 35% hydrogen peroxide plus 11 parts. How do you dilute hydrogen peroxide? To achieve the desired concentration, mix it with an appropriate amount of. If 3% hydrogen peroxide is called for, it is not necessary to dilute what. This hydrogen peroxide dilution calculator makes it easy to dilute any concentration of. Preparation Of Dilute Hydrogen Peroxide Solution.
From classnotes.org.in
Hydrogen Peroxide Chemistry, Class 11, Hydrogen Preparation Of Dilute Hydrogen Peroxide Solution 1 part 35% hydrogen peroxide plus 11 parts. The hydrogen peroxide dosing calculator is a handy tool designed to help you determine the exact volume of hydrogen. To make 3% hydrogen peroxide from 35% hydrogen peroxide, the general mixing guideline is: How do you dilute hydrogen peroxide? The calculator will help you dilute the hydrogen peroxide solution accurately, ensuring safety. Preparation Of Dilute Hydrogen Peroxide Solution.
From pandawood-nagrody.blogspot.com
How To Dilute 12 Food Grade Hydrogen Peroxide For Internal Use My experience of taking Preparation Of Dilute Hydrogen Peroxide Solution The hydrogen peroxide dosing calculator is a handy tool designed to help you determine the exact volume of hydrogen. To make 1 ½ % hydrogen peroxide, mix equal parts of 3% hydrogen peroxide with distilled water. Diluting hydrogen peroxide is a simple process. Hydrogen peroxide (3%) 10 vols solution. The calculator will help you dilute the hydrogen peroxide solution accurately,. Preparation Of Dilute Hydrogen Peroxide Solution.
From pubs.usgs.gov
USGS OFR01041 Procedures Acetic Acid Treatment to Remove Carbonates Preparation Of Dilute Hydrogen Peroxide Solution Hydrogen peroxide (3%) 10 vols solution. To make 3% hydrogen peroxide from 35% hydrogen peroxide, the general mixing guideline is: Measure 9 ml of distilled water and. The hydrogen peroxide dosing calculator is a handy tool designed to help you determine the exact volume of hydrogen. To achieve the desired concentration, mix it with an appropriate amount of. This hydrogen. Preparation Of Dilute Hydrogen Peroxide Solution.
From constantdelights.com
How To Use A Hydrogen Peroxide Dilution Calculator Constant Delights Preparation Of Dilute Hydrogen Peroxide Solution If 3% hydrogen peroxide is called for, it is not necessary to dilute what. To achieve the desired concentration, mix it with an appropriate amount of. To make 3% hydrogen peroxide from 35% hydrogen peroxide, the general mixing guideline is: Hydrogen peroxide (3%) 10 vols solution. 1 part 35% hydrogen peroxide plus 11 parts. How do you dilute hydrogen peroxide?. Preparation Of Dilute Hydrogen Peroxide Solution.
From byjus.com
preparation of hydrogen peroxide Preparation Of Dilute Hydrogen Peroxide Solution To achieve the desired concentration, mix it with an appropriate amount of. Measure 9 ml of distilled water and. The calculator will help you dilute the hydrogen peroxide solution accurately, ensuring safety and effectiveness for specific applications. 1 part 35% hydrogen peroxide plus 11 parts. Diluting hydrogen peroxide is a simple process. To make 1 ½ % hydrogen peroxide, mix. Preparation Of Dilute Hydrogen Peroxide Solution.
From www.fabhow.com
How to Use Hydrogen Peroxide to Clean Almost Everything Fab How Preparation Of Dilute Hydrogen Peroxide Solution Hydrogen peroxide (3%) 10 vols solution. How do you dilute hydrogen peroxide? To achieve the desired concentration, mix it with an appropriate amount of. To make 3% hydrogen peroxide from 35% hydrogen peroxide, the general mixing guideline is: The calculator will help you dilute the hydrogen peroxide solution accurately, ensuring safety and effectiveness for specific applications. The hydrogen peroxide dosing. Preparation Of Dilute Hydrogen Peroxide Solution.
From www.researchgate.net
(PDF) Synthesis of Nanoporous TiO2 with the Use of Diluted Hydrogen Peroxide Solution and Its Preparation Of Dilute Hydrogen Peroxide Solution To make 3% hydrogen peroxide from 35% hydrogen peroxide, the general mixing guideline is: To achieve the desired concentration, mix it with an appropriate amount of. Hydrogen peroxide (3%) 10 vols solution. 1 part 35% hydrogen peroxide plus 11 parts. Measure 9 ml of distilled water and. Diluting hydrogen peroxide is a simple process. To make 1 ½ % hydrogen. Preparation Of Dilute Hydrogen Peroxide Solution.