What Is The Industrial Preparation Of Nitrogen Gas . Integrated nitrogen generation systems from parker use air from a standard industrial compressor that is essentially ‘sieved’ so that. This illustration shows how fast gases like oxygen and moisture permeate the surface of the individual membrane fibers. The main methods of nitrogen gas generation. In this article, we will consider how nitrogen is produced on an industrial basis. Nitrogen is obtained commercially by liquefaction and fractional distillation of air. There are two methods of preparing nitrogen for industrial application; Nitrogen gas (n2) is a colorless, odorless gas which makes up roughly 78% of the earth’s atmosphere. It is used in industry as a simple. How to prepare nitrogen (n2) for industrial application. This process mainly involves two steps: Air is reduced to liquid air by applying high pressure ranging between 100.
from www.slideserve.com
The main methods of nitrogen gas generation. Air is reduced to liquid air by applying high pressure ranging between 100. This process mainly involves two steps: Nitrogen is obtained commercially by liquefaction and fractional distillation of air. It is used in industry as a simple. This illustration shows how fast gases like oxygen and moisture permeate the surface of the individual membrane fibers. There are two methods of preparing nitrogen for industrial application; Integrated nitrogen generation systems from parker use air from a standard industrial compressor that is essentially ‘sieved’ so that. How to prepare nitrogen (n2) for industrial application. In this article, we will consider how nitrogen is produced on an industrial basis.
PPT Liquid nitrogen PowerPoint Presentation, free download ID6348760
What Is The Industrial Preparation Of Nitrogen Gas Nitrogen gas (n2) is a colorless, odorless gas which makes up roughly 78% of the earth’s atmosphere. This illustration shows how fast gases like oxygen and moisture permeate the surface of the individual membrane fibers. There are two methods of preparing nitrogen for industrial application; Air is reduced to liquid air by applying high pressure ranging between 100. This process mainly involves two steps: In this article, we will consider how nitrogen is produced on an industrial basis. It is used in industry as a simple. How to prepare nitrogen (n2) for industrial application. Nitrogen is obtained commercially by liquefaction and fractional distillation of air. Nitrogen gas (n2) is a colorless, odorless gas which makes up roughly 78% of the earth’s atmosphere. Integrated nitrogen generation systems from parker use air from a standard industrial compressor that is essentially ‘sieved’ so that. The main methods of nitrogen gas generation.
From ifsolutions.com
How is Nitrogen Gas (N2) Produced for Industrial Purposes? Integrated Flow Solutions What Is The Industrial Preparation Of Nitrogen Gas Nitrogen gas (n2) is a colorless, odorless gas which makes up roughly 78% of the earth’s atmosphere. This illustration shows how fast gases like oxygen and moisture permeate the surface of the individual membrane fibers. Air is reduced to liquid air by applying high pressure ranging between 100. This process mainly involves two steps: The main methods of nitrogen gas. What Is The Industrial Preparation Of Nitrogen Gas.
From powerbuilder.en.made-in-china.com
Industrial Preparation of Nitrogen Gas/ N2 Generator China Nitrogen Generator and Psa Nitrogen What Is The Industrial Preparation Of Nitrogen Gas This illustration shows how fast gases like oxygen and moisture permeate the surface of the individual membrane fibers. How to prepare nitrogen (n2) for industrial application. In this article, we will consider how nitrogen is produced on an industrial basis. Nitrogen gas (n2) is a colorless, odorless gas which makes up roughly 78% of the earth’s atmosphere. Integrated nitrogen generation. What Is The Industrial Preparation Of Nitrogen Gas.
From www.slideserve.com
PPT Liquid nitrogen PowerPoint Presentation, free download ID6348760 What Is The Industrial Preparation Of Nitrogen Gas The main methods of nitrogen gas generation. There are two methods of preparing nitrogen for industrial application; It is used in industry as a simple. How to prepare nitrogen (n2) for industrial application. Nitrogen gas (n2) is a colorless, odorless gas which makes up roughly 78% of the earth’s atmosphere. This illustration shows how fast gases like oxygen and moisture. What Is The Industrial Preparation Of Nitrogen Gas.
From proper-cooking.info
Nitrogen Gas What Is The Industrial Preparation Of Nitrogen Gas In this article, we will consider how nitrogen is produced on an industrial basis. Air is reduced to liquid air by applying high pressure ranging between 100. Integrated nitrogen generation systems from parker use air from a standard industrial compressor that is essentially ‘sieved’ so that. This process mainly involves two steps: Nitrogen gas (n2) is a colorless, odorless gas. What Is The Industrial Preparation Of Nitrogen Gas.
From www.indiamart.com
Preparation Of NitrogenCharts at Rs 150 विज्ञान के लिए चार्ट in New Delhi ID 7596313673 What Is The Industrial Preparation Of Nitrogen Gas Air is reduced to liquid air by applying high pressure ranging between 100. This illustration shows how fast gases like oxygen and moisture permeate the surface of the individual membrane fibers. This process mainly involves two steps: In this article, we will consider how nitrogen is produced on an industrial basis. There are two methods of preparing nitrogen for industrial. What Is The Industrial Preparation Of Nitrogen Gas.
From www.alibaba.com
Industrial Preparation Of Nitrogen Gas/ N2 Generator Buy N2 Generator,Industrial Preparation What Is The Industrial Preparation Of Nitrogen Gas Integrated nitrogen generation systems from parker use air from a standard industrial compressor that is essentially ‘sieved’ so that. The main methods of nitrogen gas generation. Nitrogen gas (n2) is a colorless, odorless gas which makes up roughly 78% of the earth’s atmosphere. This process mainly involves two steps: In this article, we will consider how nitrogen is produced on. What Is The Industrial Preparation Of Nitrogen Gas.
From www.slideserve.com
PPT Nitrogen Group PowerPoint Presentation, free download ID2068201 What Is The Industrial Preparation Of Nitrogen Gas Nitrogen is obtained commercially by liquefaction and fractional distillation of air. Nitrogen gas (n2) is a colorless, odorless gas which makes up roughly 78% of the earth’s atmosphere. This illustration shows how fast gases like oxygen and moisture permeate the surface of the individual membrane fibers. Air is reduced to liquid air by applying high pressure ranging between 100. This. What Is The Industrial Preparation Of Nitrogen Gas.
From adroit-aes.com
Nitrogen Generators Adroit AES What Is The Industrial Preparation Of Nitrogen Gas There are two methods of preparing nitrogen for industrial application; Nitrogen gas (n2) is a colorless, odorless gas which makes up roughly 78% of the earth’s atmosphere. It is used in industry as a simple. In this article, we will consider how nitrogen is produced on an industrial basis. This process mainly involves two steps: Nitrogen is obtained commercially by. What Is The Industrial Preparation Of Nitrogen Gas.
From www.numerade.com
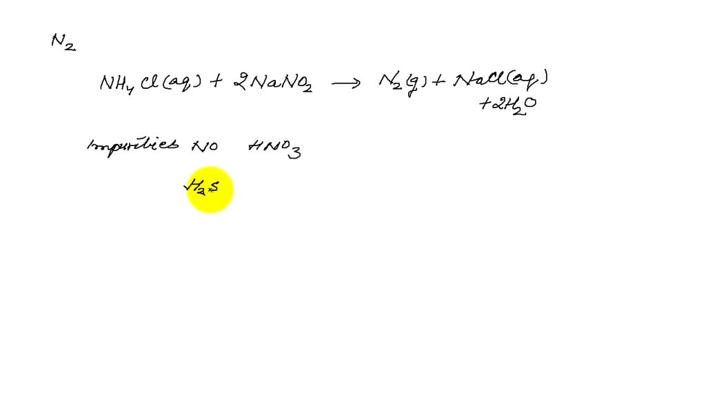
SOLVEDDescribe a laboratory and an industrial preparation of nitrogen gas. What Is The Industrial Preparation Of Nitrogen Gas Nitrogen is obtained commercially by liquefaction and fractional distillation of air. Integrated nitrogen generation systems from parker use air from a standard industrial compressor that is essentially ‘sieved’ so that. This illustration shows how fast gases like oxygen and moisture permeate the surface of the individual membrane fibers. This process mainly involves two steps: In this article, we will consider. What Is The Industrial Preparation Of Nitrogen Gas.
From nutrien-ekonomics.com
Nitrogen Production Process What Is The Industrial Preparation Of Nitrogen Gas There are two methods of preparing nitrogen for industrial application; Air is reduced to liquid air by applying high pressure ranging between 100. This illustration shows how fast gases like oxygen and moisture permeate the surface of the individual membrane fibers. The main methods of nitrogen gas generation. This process mainly involves two steps: How to prepare nitrogen (n2) for. What Is The Industrial Preparation Of Nitrogen Gas.
From brainly.in
Draw a well labelled diagram for the laboratory preparation of nitrogen. Brainly.in What Is The Industrial Preparation Of Nitrogen Gas This illustration shows how fast gases like oxygen and moisture permeate the surface of the individual membrane fibers. How to prepare nitrogen (n2) for industrial application. The main methods of nitrogen gas generation. Air is reduced to liquid air by applying high pressure ranging between 100. Nitrogen gas (n2) is a colorless, odorless gas which makes up roughly 78% of. What Is The Industrial Preparation Of Nitrogen Gas.
From www.animalia-life.club
Uses Of Nitrogen What Is The Industrial Preparation Of Nitrogen Gas Integrated nitrogen generation systems from parker use air from a standard industrial compressor that is essentially ‘sieved’ so that. The main methods of nitrogen gas generation. There are two methods of preparing nitrogen for industrial application; In this article, we will consider how nitrogen is produced on an industrial basis. This illustration shows how fast gases like oxygen and moisture. What Is The Industrial Preparation Of Nitrogen Gas.
From www.indiamart.com
Industrial PSA Nitrogen Gas Plant at Rs 450000 Psa Nitrogen Gas Generators in Hapur ID What Is The Industrial Preparation Of Nitrogen Gas It is used in industry as a simple. Nitrogen is obtained commercially by liquefaction and fractional distillation of air. Integrated nitrogen generation systems from parker use air from a standard industrial compressor that is essentially ‘sieved’ so that. There are two methods of preparing nitrogen for industrial application; In this article, we will consider how nitrogen is produced on an. What Is The Industrial Preparation Of Nitrogen Gas.
From www.youtube.com
class 9 some gases nitrogen YouTube What Is The Industrial Preparation Of Nitrogen Gas There are two methods of preparing nitrogen for industrial application; It is used in industry as a simple. How to prepare nitrogen (n2) for industrial application. Nitrogen gas (n2) is a colorless, odorless gas which makes up roughly 78% of the earth’s atmosphere. Nitrogen is obtained commercially by liquefaction and fractional distillation of air. This illustration shows how fast gases. What Is The Industrial Preparation Of Nitrogen Gas.
From www.airproducts.com
PRISM® Onsite Cryogenic Nitrogen Plants and Services What Is The Industrial Preparation Of Nitrogen Gas Nitrogen is obtained commercially by liquefaction and fractional distillation of air. This process mainly involves two steps: It is used in industry as a simple. Nitrogen gas (n2) is a colorless, odorless gas which makes up roughly 78% of the earth’s atmosphere. Air is reduced to liquid air by applying high pressure ranging between 100. There are two methods of. What Is The Industrial Preparation Of Nitrogen Gas.
From nitrogengassanroso.blogspot.com
Nitrogen Gas Laboratory Preparation Of Nitrogen Gas What Is The Industrial Preparation Of Nitrogen Gas It is used in industry as a simple. In this article, we will consider how nitrogen is produced on an industrial basis. Air is reduced to liquid air by applying high pressure ranging between 100. Nitrogen gas (n2) is a colorless, odorless gas which makes up roughly 78% of the earth’s atmosphere. How to prepare nitrogen (n2) for industrial application.. What Is The Industrial Preparation Of Nitrogen Gas.
From www.onsitegas.com
Nitrogen Gas for Lab Equipment Laboratory Nitrogen Generator What Is The Industrial Preparation Of Nitrogen Gas Integrated nitrogen generation systems from parker use air from a standard industrial compressor that is essentially ‘sieved’ so that. How to prepare nitrogen (n2) for industrial application. It is used in industry as a simple. Nitrogen is obtained commercially by liquefaction and fractional distillation of air. In this article, we will consider how nitrogen is produced on an industrial basis.. What Is The Industrial Preparation Of Nitrogen Gas.
From chemizest.blogspot.com
Nitrogen production method What Is The Industrial Preparation Of Nitrogen Gas Air is reduced to liquid air by applying high pressure ranging between 100. How to prepare nitrogen (n2) for industrial application. This process mainly involves two steps: In this article, we will consider how nitrogen is produced on an industrial basis. Nitrogen gas (n2) is a colorless, odorless gas which makes up roughly 78% of the earth’s atmosphere. Integrated nitrogen. What Is The Industrial Preparation Of Nitrogen Gas.
From adroit-aes.com
Nitrogen Generators Adroit AES What Is The Industrial Preparation Of Nitrogen Gas Nitrogen is obtained commercially by liquefaction and fractional distillation of air. How to prepare nitrogen (n2) for industrial application. This illustration shows how fast gases like oxygen and moisture permeate the surface of the individual membrane fibers. Nitrogen gas (n2) is a colorless, odorless gas which makes up roughly 78% of the earth’s atmosphere. The main methods of nitrogen gas. What Is The Industrial Preparation Of Nitrogen Gas.
From nuberggpd.com
Nitrogen MXModel Nuberg GPD What Is The Industrial Preparation Of Nitrogen Gas In this article, we will consider how nitrogen is produced on an industrial basis. How to prepare nitrogen (n2) for industrial application. There are two methods of preparing nitrogen for industrial application; Nitrogen is obtained commercially by liquefaction and fractional distillation of air. This process mainly involves two steps: It is used in industry as a simple. Air is reduced. What Is The Industrial Preparation Of Nitrogen Gas.
From stock.adobe.com
Lab equipment for nitrogen production. Nitrogen is an industrial gas produced by fractional What Is The Industrial Preparation Of Nitrogen Gas This illustration shows how fast gases like oxygen and moisture permeate the surface of the individual membrane fibers. Nitrogen is obtained commercially by liquefaction and fractional distillation of air. Integrated nitrogen generation systems from parker use air from a standard industrial compressor that is essentially ‘sieved’ so that. The main methods of nitrogen gas generation. How to prepare nitrogen (n2). What Is The Industrial Preparation Of Nitrogen Gas.
From yacylinder.en.made-in-china.com
40L Industrial N2 Nitrogen 200bar 5.8mm High Pressure Vessel Seamless Steel Nitrogen N2 Gas What Is The Industrial Preparation Of Nitrogen Gas Integrated nitrogen generation systems from parker use air from a standard industrial compressor that is essentially ‘sieved’ so that. How to prepare nitrogen (n2) for industrial application. Air is reduced to liquid air by applying high pressure ranging between 100. It is used in industry as a simple. Nitrogen gas (n2) is a colorless, odorless gas which makes up roughly. What Is The Industrial Preparation Of Nitrogen Gas.
From www.alamy.com
Scientific Designing of Preparation of Nitrogen Gas. Colorful Symbols. Vector Illustration Stock What Is The Industrial Preparation Of Nitrogen Gas Air is reduced to liquid air by applying high pressure ranging between 100. It is used in industry as a simple. This illustration shows how fast gases like oxygen and moisture permeate the surface of the individual membrane fibers. How to prepare nitrogen (n2) for industrial application. There are two methods of preparing nitrogen for industrial application; This process mainly. What Is The Industrial Preparation Of Nitrogen Gas.
From www.youtube.com
Preparation of Nitrogen from Air, Chemistry Lecture Sabaq.pk YouTube What Is The Industrial Preparation Of Nitrogen Gas Nitrogen is obtained commercially by liquefaction and fractional distillation of air. This process mainly involves two steps: In this article, we will consider how nitrogen is produced on an industrial basis. Air is reduced to liquid air by applying high pressure ranging between 100. It is used in industry as a simple. There are two methods of preparing nitrogen for. What Is The Industrial Preparation Of Nitrogen Gas.
From www.indiamart.com
Liquid Nitrogen Gas at Rs 100/liter Nagar Nigam Indore ID 12903571930 What Is The Industrial Preparation Of Nitrogen Gas This process mainly involves two steps: Air is reduced to liquid air by applying high pressure ranging between 100. The main methods of nitrogen gas generation. It is used in industry as a simple. Nitrogen is obtained commercially by liquefaction and fractional distillation of air. This illustration shows how fast gases like oxygen and moisture permeate the surface of the. What Is The Industrial Preparation Of Nitrogen Gas.
From air-energy.co.uk
Nitrogen Generators Air Energy LTD What Is The Industrial Preparation Of Nitrogen Gas Nitrogen is obtained commercially by liquefaction and fractional distillation of air. This process mainly involves two steps: How to prepare nitrogen (n2) for industrial application. There are two methods of preparing nitrogen for industrial application; This illustration shows how fast gases like oxygen and moisture permeate the surface of the individual membrane fibers. The main methods of nitrogen gas generation.. What Is The Industrial Preparation Of Nitrogen Gas.
From stoplearn.com
Compounds of Nitrogen and preparation Notes 2023 What Is The Industrial Preparation Of Nitrogen Gas In this article, we will consider how nitrogen is produced on an industrial basis. It is used in industry as a simple. This process mainly involves two steps: Nitrogen is obtained commercially by liquefaction and fractional distillation of air. Integrated nitrogen generation systems from parker use air from a standard industrial compressor that is essentially ‘sieved’ so that. Air is. What Is The Industrial Preparation Of Nitrogen Gas.
From brainly.in
preparing nitrogen gas in laboratory with labelled diagramchemical equationprocedure Brainly.in What Is The Industrial Preparation Of Nitrogen Gas How to prepare nitrogen (n2) for industrial application. There are two methods of preparing nitrogen for industrial application; Nitrogen is obtained commercially by liquefaction and fractional distillation of air. Integrated nitrogen generation systems from parker use air from a standard industrial compressor that is essentially ‘sieved’ so that. The main methods of nitrogen gas generation. This process mainly involves two. What Is The Industrial Preparation Of Nitrogen Gas.
From www.youtube.com
Laboratory Preparation Of Nitrogen YouTube What Is The Industrial Preparation Of Nitrogen Gas In this article, we will consider how nitrogen is produced on an industrial basis. Air is reduced to liquid air by applying high pressure ranging between 100. The main methods of nitrogen gas generation. It is used in industry as a simple. How to prepare nitrogen (n2) for industrial application. Integrated nitrogen generation systems from parker use air from a. What Is The Industrial Preparation Of Nitrogen Gas.
From www.adamsgas.co.uk
Nitrogen Gas FAQs Adams Gas What Is The Industrial Preparation Of Nitrogen Gas This process mainly involves two steps: There are two methods of preparing nitrogen for industrial application; Nitrogen is obtained commercially by liquefaction and fractional distillation of air. Nitrogen gas (n2) is a colorless, odorless gas which makes up roughly 78% of the earth’s atmosphere. Integrated nitrogen generation systems from parker use air from a standard industrial compressor that is essentially. What Is The Industrial Preparation Of Nitrogen Gas.
From www.animalia-life.club
Uses Of Nitrogen What Is The Industrial Preparation Of Nitrogen Gas It is used in industry as a simple. In this article, we will consider how nitrogen is produced on an industrial basis. Nitrogen is obtained commercially by liquefaction and fractional distillation of air. How to prepare nitrogen (n2) for industrial application. This illustration shows how fast gases like oxygen and moisture permeate the surface of the individual membrane fibers. Integrated. What Is The Industrial Preparation Of Nitrogen Gas.
From www.bossgoo.com
Industrial Preparation Of Nitrogen Gas/ N2 Generator, High Quality Industrial Preparation Of What Is The Industrial Preparation Of Nitrogen Gas This illustration shows how fast gases like oxygen and moisture permeate the surface of the individual membrane fibers. Air is reduced to liquid air by applying high pressure ranging between 100. There are two methods of preparing nitrogen for industrial application; How to prepare nitrogen (n2) for industrial application. It is used in industry as a simple. In this article,. What Is The Industrial Preparation Of Nitrogen Gas.
From www.essentialchemicalindustry.org
Oxygen, nitrogen and the rare gases What Is The Industrial Preparation Of Nitrogen Gas It is used in industry as a simple. Air is reduced to liquid air by applying high pressure ranging between 100. This illustration shows how fast gases like oxygen and moisture permeate the surface of the individual membrane fibers. How to prepare nitrogen (n2) for industrial application. Nitrogen gas (n2) is a colorless, odorless gas which makes up roughly 78%. What Is The Industrial Preparation Of Nitrogen Gas.
From dymapak.com
How and Why Is Nitrogen Gas Used For Packaging? What Is The Industrial Preparation Of Nitrogen Gas It is used in industry as a simple. Nitrogen gas (n2) is a colorless, odorless gas which makes up roughly 78% of the earth’s atmosphere. Nitrogen is obtained commercially by liquefaction and fractional distillation of air. This illustration shows how fast gases like oxygen and moisture permeate the surface of the individual membrane fibers. There are two methods of preparing. What Is The Industrial Preparation Of Nitrogen Gas.
From www.mvsengg.com
What are the Uses of Nitrogen in Oil & Gas Industry? MVS Engineering What Is The Industrial Preparation Of Nitrogen Gas There are two methods of preparing nitrogen for industrial application; It is used in industry as a simple. Nitrogen is obtained commercially by liquefaction and fractional distillation of air. Air is reduced to liquid air by applying high pressure ranging between 100. Integrated nitrogen generation systems from parker use air from a standard industrial compressor that is essentially ‘sieved’ so. What Is The Industrial Preparation Of Nitrogen Gas.