Customs Tariff Code For Essence . Find out the us import and export data, trade trends, and related hts codes for essential oil products under code 3301.90. Use flexport's free search tool to find the tariff code to correctly classify your goods for customs. Find the tariff number, trade restrictions and policies, and examples of essential oils and their concentrates in fats, oils, waxes, or solutions. Simply search using your product’s name, description, or code. Use our free hs & hts code lookup tool to find the tariff code for your products. The harmonized tariff schedule of the united states (hts) sets out the tariff rates and statistical categories for all merchandise.
from www.scribd.com
Find the tariff number, trade restrictions and policies, and examples of essential oils and their concentrates in fats, oils, waxes, or solutions. The harmonized tariff schedule of the united states (hts) sets out the tariff rates and statistical categories for all merchandise. Find out the us import and export data, trade trends, and related hts codes for essential oil products under code 3301.90. Use flexport's free search tool to find the tariff code to correctly classify your goods for customs. Simply search using your product’s name, description, or code. Use our free hs & hts code lookup tool to find the tariff code for your products.
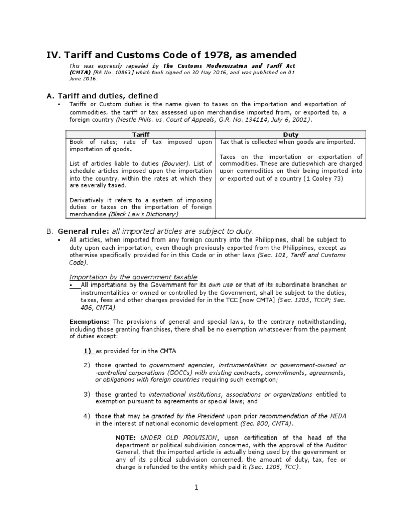
Tariff and Customs Code Tariff Customs
Customs Tariff Code For Essence Find the tariff number, trade restrictions and policies, and examples of essential oils and their concentrates in fats, oils, waxes, or solutions. Simply search using your product’s name, description, or code. Find out the us import and export data, trade trends, and related hts codes for essential oil products under code 3301.90. Use our free hs & hts code lookup tool to find the tariff code for your products. Use flexport's free search tool to find the tariff code to correctly classify your goods for customs. Find the tariff number, trade restrictions and policies, and examples of essential oils and their concentrates in fats, oils, waxes, or solutions. The harmonized tariff schedule of the united states (hts) sets out the tariff rates and statistical categories for all merchandise.
From brunofuga.adv.br
Introduction To Customs Classification Part The Harmonized, 46 OFF Customs Tariff Code For Essence The harmonized tariff schedule of the united states (hts) sets out the tariff rates and statistical categories for all merchandise. Use flexport's free search tool to find the tariff code to correctly classify your goods for customs. Use our free hs & hts code lookup tool to find the tariff code for your products. Find the tariff number, trade restrictions. Customs Tariff Code For Essence.
From support.ordoro.com
Ordoro How can I update the customs declaration form with a Harmonized Tariff code? Customs Tariff Code For Essence Simply search using your product’s name, description, or code. Find out the us import and export data, trade trends, and related hts codes for essential oil products under code 3301.90. Find the tariff number, trade restrictions and policies, and examples of essential oils and their concentrates in fats, oils, waxes, or solutions. Use our free hs & hts code lookup. Customs Tariff Code For Essence.
From www.gmccbrexithub.com
What are Tariff Codes and Why Do We Need to Get Them Right? Customs Tariff Code For Essence Find out the us import and export data, trade trends, and related hts codes for essential oil products under code 3301.90. The harmonized tariff schedule of the united states (hts) sets out the tariff rates and statistical categories for all merchandise. Use flexport's free search tool to find the tariff code to correctly classify your goods for customs. Use our. Customs Tariff Code For Essence.
From www.slideserve.com
PPT Customs Tariff PowerPoint Presentation, free download ID2061079 Customs Tariff Code For Essence Simply search using your product’s name, description, or code. Find the tariff number, trade restrictions and policies, and examples of essential oils and their concentrates in fats, oils, waxes, or solutions. Use our free hs & hts code lookup tool to find the tariff code for your products. Use flexport's free search tool to find the tariff code to correctly. Customs Tariff Code For Essence.
From blog.rexcer.com
Customs and Tariff Code, Find the Right Customs and Tariff Customs Tariff Code For Essence Use flexport's free search tool to find the tariff code to correctly classify your goods for customs. Use our free hs & hts code lookup tool to find the tariff code for your products. The harmonized tariff schedule of the united states (hts) sets out the tariff rates and statistical categories for all merchandise. Find the tariff number, trade restrictions. Customs Tariff Code For Essence.
From www.mendel-online.eu
The Customs Tariffs Customs Tariff Code For Essence Simply search using your product’s name, description, or code. Use flexport's free search tool to find the tariff code to correctly classify your goods for customs. Use our free hs & hts code lookup tool to find the tariff code for your products. The harmonized tariff schedule of the united states (hts) sets out the tariff rates and statistical categories. Customs Tariff Code For Essence.
From support-ebay.packlink.com
Customs invoice and how to complete it Help Center Customs Tariff Code For Essence Find out the us import and export data, trade trends, and related hts codes for essential oil products under code 3301.90. Use our free hs & hts code lookup tool to find the tariff code for your products. Use flexport's free search tool to find the tariff code to correctly classify your goods for customs. The harmonized tariff schedule of. Customs Tariff Code For Essence.
From www.scribd.com
Tariff and Customs Code Tariff Customs Customs Tariff Code For Essence Simply search using your product’s name, description, or code. Use our free hs & hts code lookup tool to find the tariff code for your products. Find the tariff number, trade restrictions and policies, and examples of essential oils and their concentrates in fats, oils, waxes, or solutions. The harmonized tariff schedule of the united states (hts) sets out the. Customs Tariff Code For Essence.
From prestasisawit.mpob.gov.my
Prestasi Sawit Malaysia Customs Tariff Code For Essence Use our free hs & hts code lookup tool to find the tariff code for your products. Find out the us import and export data, trade trends, and related hts codes for essential oil products under code 3301.90. Use flexport's free search tool to find the tariff code to correctly classify your goods for customs. Simply search using your product’s. Customs Tariff Code For Essence.
From prestasisawit.mpob.gov.my
Prestasi Sawit Malaysia Customs Tariff Code For Essence Simply search using your product’s name, description, or code. Use our free hs & hts code lookup tool to find the tariff code for your products. Use flexport's free search tool to find the tariff code to correctly classify your goods for customs. Find the tariff number, trade restrictions and policies, and examples of essential oils and their concentrates in. Customs Tariff Code For Essence.
From shopee.com.my
Customs Tariff Codes for Oil Palm Product and Schedule of Tariff Rates (Based on HS 2017 Customs Tariff Code For Essence Find the tariff number, trade restrictions and policies, and examples of essential oils and their concentrates in fats, oils, waxes, or solutions. Simply search using your product’s name, description, or code. Find out the us import and export data, trade trends, and related hts codes for essential oil products under code 3301.90. Use our free hs & hts code lookup. Customs Tariff Code For Essence.
From www.afcinternationalllc.com
Customs Brokerage Services Ultimate Guide AFC International, LLC Customs Tariff Code For Essence Use flexport's free search tool to find the tariff code to correctly classify your goods for customs. Simply search using your product’s name, description, or code. The harmonized tariff schedule of the united states (hts) sets out the tariff rates and statistical categories for all merchandise. Find the tariff number, trade restrictions and policies, and examples of essential oils and. Customs Tariff Code For Essence.
From eclear.com
Classify Correctly The Customs Tariff Number Explained eClear Customs Tariff Code For Essence Use flexport's free search tool to find the tariff code to correctly classify your goods for customs. Use our free hs & hts code lookup tool to find the tariff code for your products. Find out the us import and export data, trade trends, and related hts codes for essential oil products under code 3301.90. The harmonized tariff schedule of. Customs Tariff Code For Essence.
From www.youtube.com
Advance Ruling on Tariff Classification, Customs Valuation, and Rules of Origin YouTube Customs Tariff Code For Essence The harmonized tariff schedule of the united states (hts) sets out the tariff rates and statistical categories for all merchandise. Find out the us import and export data, trade trends, and related hts codes for essential oil products under code 3301.90. Use flexport's free search tool to find the tariff code to correctly classify your goods for customs. Find the. Customs Tariff Code For Essence.
From www.easypost.com
How to Add Customs Information EasyPost Customs Tariff Code For Essence Simply search using your product’s name, description, or code. Find out the us import and export data, trade trends, and related hts codes for essential oil products under code 3301.90. Use our free hs & hts code lookup tool to find the tariff code for your products. Find the tariff number, trade restrictions and policies, and examples of essential oils. Customs Tariff Code For Essence.
From www.customs-link.com
Tariff Classification Service CustomsLink Customs Tariff Code For Essence Use flexport's free search tool to find the tariff code to correctly classify your goods for customs. Find out the us import and export data, trade trends, and related hts codes for essential oil products under code 3301.90. The harmonized tariff schedule of the united states (hts) sets out the tariff rates and statistical categories for all merchandise. Simply search. Customs Tariff Code For Essence.
From www.youtube.com
Customs Tariff Codes Simplified For You YouTube Customs Tariff Code For Essence Use our free hs & hts code lookup tool to find the tariff code for your products. Simply search using your product’s name, description, or code. The harmonized tariff schedule of the united states (hts) sets out the tariff rates and statistical categories for all merchandise. Find out the us import and export data, trade trends, and related hts codes. Customs Tariff Code For Essence.
From www.wtagroup.com
How to Find Your Tariff Code A Complete and Easy Guide for UK Imports Customs Tariff Code For Essence The harmonized tariff schedule of the united states (hts) sets out the tariff rates and statistical categories for all merchandise. Use our free hs & hts code lookup tool to find the tariff code for your products. Use flexport's free search tool to find the tariff code to correctly classify your goods for customs. Simply search using your product’s name,. Customs Tariff Code For Essence.
From www.owlaw.com
Customs Tariff Codes What you need to know » O&W Customs Tariff Code For Essence Use flexport's free search tool to find the tariff code to correctly classify your goods for customs. Find out the us import and export data, trade trends, and related hts codes for essential oil products under code 3301.90. The harmonized tariff schedule of the united states (hts) sets out the tariff rates and statistical categories for all merchandise. Use our. Customs Tariff Code For Essence.
From www.shippingsolutions.com
Harmonized Tariff Schedule of the United States (HTS) How to Use It Customs Tariff Code For Essence Simply search using your product’s name, description, or code. The harmonized tariff schedule of the united states (hts) sets out the tariff rates and statistical categories for all merchandise. Find the tariff number, trade restrictions and policies, and examples of essential oils and their concentrates in fats, oils, waxes, or solutions. Find out the us import and export data, trade. Customs Tariff Code For Essence.
From blog.rexcer.com
Import Tariff Code Customs Tariff Code For Essence Use our free hs & hts code lookup tool to find the tariff code for your products. Find the tariff number, trade restrictions and policies, and examples of essential oils and their concentrates in fats, oils, waxes, or solutions. Simply search using your product’s name, description, or code. Use flexport's free search tool to find the tariff code to correctly. Customs Tariff Code For Essence.
From www.youtube.com
Mastering Tariff Codes for Smooth Customs Clearance YouTube Customs Tariff Code For Essence Find the tariff number, trade restrictions and policies, and examples of essential oils and their concentrates in fats, oils, waxes, or solutions. Simply search using your product’s name, description, or code. Use flexport's free search tool to find the tariff code to correctly classify your goods for customs. Find out the us import and export data, trade trends, and related. Customs Tariff Code For Essence.
From hxefjjgbz.blob.core.windows.net
Hs Tariff Code For Diesel Engine Spare Parts at William Dixon blog Customs Tariff Code For Essence Use flexport's free search tool to find the tariff code to correctly classify your goods for customs. Find the tariff number, trade restrictions and policies, and examples of essential oils and their concentrates in fats, oils, waxes, or solutions. The harmonized tariff schedule of the united states (hts) sets out the tariff rates and statistical categories for all merchandise. Use. Customs Tariff Code For Essence.
From studylib.net
CUSTOMS TARIFF SCHEDULE 4 CONCESSIONAL RATES OF Customs Tariff Code For Essence Simply search using your product’s name, description, or code. Use our free hs & hts code lookup tool to find the tariff code for your products. Use flexport's free search tool to find the tariff code to correctly classify your goods for customs. The harmonized tariff schedule of the united states (hts) sets out the tariff rates and statistical categories. Customs Tariff Code For Essence.
From www.purolatorinternational.com
Proper Tariff Classification Vital to Customs Compliance Customs Tariff Code For Essence Use flexport's free search tool to find the tariff code to correctly classify your goods for customs. Find the tariff number, trade restrictions and policies, and examples of essential oils and their concentrates in fats, oils, waxes, or solutions. Find out the us import and export data, trade trends, and related hts codes for essential oil products under code 3301.90.. Customs Tariff Code For Essence.
From www.upwork.com
A Customs Tariff Number for your Etsy shop EU orders Upwork Customs Tariff Code For Essence Simply search using your product’s name, description, or code. Use flexport's free search tool to find the tariff code to correctly classify your goods for customs. Find the tariff number, trade restrictions and policies, and examples of essential oils and their concentrates in fats, oils, waxes, or solutions. Use our free hs & hts code lookup tool to find the. Customs Tariff Code For Essence.
From www.upwork.com
Customs tariff codes (HS, HTS, CN, Taric) and rates of duty for any country Upwork Customs Tariff Code For Essence The harmonized tariff schedule of the united states (hts) sets out the tariff rates and statistical categories for all merchandise. Find out the us import and export data, trade trends, and related hts codes for essential oil products under code 3301.90. Use our free hs & hts code lookup tool to find the tariff code for your products. Find the. Customs Tariff Code For Essence.
From shopee.com.my
Customs Tariff Codes for Oil Palm Product and Schedule of Tariff Rates (Discount Palm Oil Book Customs Tariff Code For Essence Use our free hs & hts code lookup tool to find the tariff code for your products. Find the tariff number, trade restrictions and policies, and examples of essential oils and their concentrates in fats, oils, waxes, or solutions. Simply search using your product’s name, description, or code. Use flexport's free search tool to find the tariff code to correctly. Customs Tariff Code For Essence.
From www.customsmanager.org
Customs Tariff and Determining Commodity Codes (HS) Customs Manager Ltd Customs Tariff Code For Essence Simply search using your product’s name, description, or code. Find the tariff number, trade restrictions and policies, and examples of essential oils and their concentrates in fats, oils, waxes, or solutions. Use flexport's free search tool to find the tariff code to correctly classify your goods for customs. The harmonized tariff schedule of the united states (hts) sets out the. Customs Tariff Code For Essence.
From shallbd.com
Como encontrar seu código tarifário HS Um guia passo a passo Customs Tariff Code For Essence Use our free hs & hts code lookup tool to find the tariff code for your products. Use flexport's free search tool to find the tariff code to correctly classify your goods for customs. The harmonized tariff schedule of the united states (hts) sets out the tariff rates and statistical categories for all merchandise. Find the tariff number, trade restrictions. Customs Tariff Code For Essence.
From www.inxpresssandton.co.za
Understanding Tariff Codes Customs Tariff Code For Essence Use our free hs & hts code lookup tool to find the tariff code for your products. Find the tariff number, trade restrictions and policies, and examples of essential oils and their concentrates in fats, oils, waxes, or solutions. Find out the us import and export data, trade trends, and related hts codes for essential oil products under code 3301.90.. Customs Tariff Code For Essence.
From www.slideserve.com
PPT Customs Tariff PowerPoint Presentation, free download ID3041727 Customs Tariff Code For Essence The harmonized tariff schedule of the united states (hts) sets out the tariff rates and statistical categories for all merchandise. Use flexport's free search tool to find the tariff code to correctly classify your goods for customs. Find the tariff number, trade restrictions and policies, and examples of essential oils and their concentrates in fats, oils, waxes, or solutions. Use. Customs Tariff Code For Essence.
From sites.google.com
CUSTOMS TARIFF CODES Customs Tariff Code For Essence Use our free hs & hts code lookup tool to find the tariff code for your products. Find the tariff number, trade restrictions and policies, and examples of essential oils and their concentrates in fats, oils, waxes, or solutions. Simply search using your product’s name, description, or code. Use flexport's free search tool to find the tariff code to correctly. Customs Tariff Code For Essence.
From www.upwork.com
Customs tariff codes (HS, HTS, CN, Taric) and rates of duty for any country Upwork Customs Tariff Code For Essence Use flexport's free search tool to find the tariff code to correctly classify your goods for customs. Find out the us import and export data, trade trends, and related hts codes for essential oil products under code 3301.90. Find the tariff number, trade restrictions and policies, and examples of essential oils and their concentrates in fats, oils, waxes, or solutions.. Customs Tariff Code For Essence.
From www.scribd.com
Lecture On Tariff and Customs Code PDF Asset Forfeiture Customs Customs Tariff Code For Essence Find out the us import and export data, trade trends, and related hts codes for essential oil products under code 3301.90. Use flexport's free search tool to find the tariff code to correctly classify your goods for customs. Find the tariff number, trade restrictions and policies, and examples of essential oils and their concentrates in fats, oils, waxes, or solutions.. Customs Tariff Code For Essence.