What Is Board Of Governors Fee Waiver . The california college promise grant, formerly known as the board of governors fee waiver, serves more than 1 million california. Learn how to apply for the california college promise grant (ccpg), formerly known as the board of governors fee waiver (bogw), to. The california college promise grant (ccpg), formerly called the board of governor's fee waiver (bogw), is a state funded program. The california college promise grant (formerly known as the board of governors fee waiver) is a program that provides assistance to cover community college enrollment fees. For eligible california residents, the california community colleges promise grant permits enrollment fees to be waived. Bog waiver (board of governors fee waiver) is a grant that waives the enrollment fees for eligible california residents in community.
from studylib.net
Learn how to apply for the california college promise grant (ccpg), formerly known as the board of governors fee waiver (bogw), to. Bog waiver (board of governors fee waiver) is a grant that waives the enrollment fees for eligible california residents in community. The california college promise grant (ccpg), formerly called the board of governor's fee waiver (bogw), is a state funded program. For eligible california residents, the california community colleges promise grant permits enrollment fees to be waived. The california college promise grant, formerly known as the board of governors fee waiver, serves more than 1 million california. The california college promise grant (formerly known as the board of governors fee waiver) is a program that provides assistance to cover community college enrollment fees.
20162017 Board of Governors Fee Waiver Program ELIGIBILITY REQUIREMENTS
What Is Board Of Governors Fee Waiver For eligible california residents, the california community colleges promise grant permits enrollment fees to be waived. The california college promise grant, formerly known as the board of governors fee waiver, serves more than 1 million california. Bog waiver (board of governors fee waiver) is a grant that waives the enrollment fees for eligible california residents in community. The california college promise grant (ccpg), formerly called the board of governor's fee waiver (bogw), is a state funded program. For eligible california residents, the california community colleges promise grant permits enrollment fees to be waived. Learn how to apply for the california college promise grant (ccpg), formerly known as the board of governors fee waiver (bogw), to. The california college promise grant (formerly known as the board of governors fee waiver) is a program that provides assistance to cover community college enrollment fees.
From www.slideserve.com
PPT Board of Governors Fee Waiver PowerPoint Presentation, free What Is Board Of Governors Fee Waiver The california college promise grant, formerly known as the board of governors fee waiver, serves more than 1 million california. The california college promise grant (formerly known as the board of governors fee waiver) is a program that provides assistance to cover community college enrollment fees. The california college promise grant (ccpg), formerly called the board of governor's fee waiver. What Is Board Of Governors Fee Waiver.
From www.slideserve.com
PPT Chancellor’s Office EOPS/CARE Program Update Part 2 PowerPoint What Is Board Of Governors Fee Waiver Bog waiver (board of governors fee waiver) is a grant that waives the enrollment fees for eligible california residents in community. The california college promise grant, formerly known as the board of governors fee waiver, serves more than 1 million california. For eligible california residents, the california community colleges promise grant permits enrollment fees to be waived. The california college. What Is Board Of Governors Fee Waiver.
From studylib.net
20152016 Board of Governors Fee Waiver Program Method A and Method B What Is Board Of Governors Fee Waiver Bog waiver (board of governors fee waiver) is a grant that waives the enrollment fees for eligible california residents in community. The california college promise grant (ccpg), formerly called the board of governor's fee waiver (bogw), is a state funded program. For eligible california residents, the california community colleges promise grant permits enrollment fees to be waived. The california college. What Is Board Of Governors Fee Waiver.
From www.slideserve.com
PPT Board of Governors Fee Waiver PowerPoint Presentation, free What Is Board Of Governors Fee Waiver Bog waiver (board of governors fee waiver) is a grant that waives the enrollment fees for eligible california residents in community. The california college promise grant, formerly known as the board of governors fee waiver, serves more than 1 million california. The california college promise grant (formerly known as the board of governors fee waiver) is a program that provides. What Is Board Of Governors Fee Waiver.
From www.slideserve.com
PPT Board of Governors Fee Waiver PowerPoint Presentation, free What Is Board Of Governors Fee Waiver Learn how to apply for the california college promise grant (ccpg), formerly known as the board of governors fee waiver (bogw), to. The california college promise grant (formerly known as the board of governors fee waiver) is a program that provides assistance to cover community college enrollment fees. For eligible california residents, the california community colleges promise grant permits enrollment. What Is Board Of Governors Fee Waiver.
From www.uslegalforms.com
Modesto Junior College Board of Governor's Fee Waiver Application (BOGW What Is Board Of Governors Fee Waiver Learn how to apply for the california college promise grant (ccpg), formerly known as the board of governors fee waiver (bogw), to. The california college promise grant (ccpg), formerly called the board of governor's fee waiver (bogw), is a state funded program. The california college promise grant (formerly known as the board of governors fee waiver) is a program that. What Is Board Of Governors Fee Waiver.
From www.formsbank.com
Gavilan Joint Community College Board Of Governors Fee Waiver What Is Board Of Governors Fee Waiver Bog waiver (board of governors fee waiver) is a grant that waives the enrollment fees for eligible california residents in community. The california college promise grant (ccpg), formerly called the board of governor's fee waiver (bogw), is a state funded program. The california college promise grant, formerly known as the board of governors fee waiver, serves more than 1 million. What Is Board Of Governors Fee Waiver.
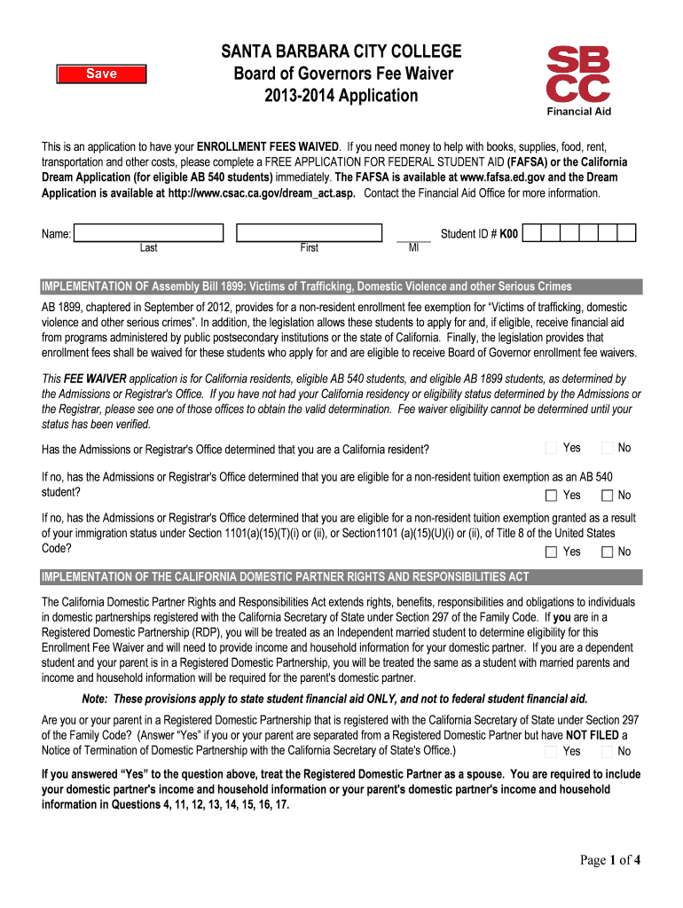
From www.pdffiller.com
Fillable Online sbcc SANTA BARBARA CITY COLLEGE Board of Governors Fee What Is Board Of Governors Fee Waiver Bog waiver (board of governors fee waiver) is a grant that waives the enrollment fees for eligible california residents in community. The california college promise grant, formerly known as the board of governors fee waiver, serves more than 1 million california. The california college promise grant (ccpg), formerly called the board of governor's fee waiver (bogw), is a state funded. What Is Board Of Governors Fee Waiver.
From www.urbancny.com
Governor Hochul Announces Application Fee Waivers Across NYS Public and What Is Board Of Governors Fee Waiver The california college promise grant (formerly known as the board of governors fee waiver) is a program that provides assistance to cover community college enrollment fees. Bog waiver (board of governors fee waiver) is a grant that waives the enrollment fees for eligible california residents in community. The california college promise grant (ccpg), formerly called the board of governor's fee. What Is Board Of Governors Fee Waiver.
From www.slideserve.com
PPT FINANCIAL AID 101 PowerPoint Presentation, free download ID1671397 What Is Board Of Governors Fee Waiver Bog waiver (board of governors fee waiver) is a grant that waives the enrollment fees for eligible california residents in community. Learn how to apply for the california college promise grant (ccpg), formerly known as the board of governors fee waiver (bogw), to. For eligible california residents, the california community colleges promise grant permits enrollment fees to be waived. The. What Is Board Of Governors Fee Waiver.
From www.slideserve.com
PPT FINANCIAL AID Office PowerPoint Presentation, free download ID What Is Board Of Governors Fee Waiver The california college promise grant, formerly known as the board of governors fee waiver, serves more than 1 million california. Bog waiver (board of governors fee waiver) is a grant that waives the enrollment fees for eligible california residents in community. The california college promise grant (ccpg), formerly called the board of governor's fee waiver (bogw), is a state funded. What Is Board Of Governors Fee Waiver.
From www.pdffiller.com
20172024 Form CCC Board of Governors Fee Waiver Application Fill What Is Board Of Governors Fee Waiver Bog waiver (board of governors fee waiver) is a grant that waives the enrollment fees for eligible california residents in community. Learn how to apply for the california college promise grant (ccpg), formerly known as the board of governors fee waiver (bogw), to. The california college promise grant, formerly known as the board of governors fee waiver, serves more than. What Is Board Of Governors Fee Waiver.
From www.formsbank.com
Fillable Board Of Governors Fee Waiver Appeal Feather River College What Is Board Of Governors Fee Waiver For eligible california residents, the california community colleges promise grant permits enrollment fees to be waived. The california college promise grant (ccpg), formerly called the board of governor's fee waiver (bogw), is a state funded program. Learn how to apply for the california college promise grant (ccpg), formerly known as the board of governors fee waiver (bogw), to. The california. What Is Board Of Governors Fee Waiver.
From slideplayer.com
Board of Governors Fee Waiver Regulatory Changes EOPS/Care Statewide What Is Board Of Governors Fee Waiver For eligible california residents, the california community colleges promise grant permits enrollment fees to be waived. The california college promise grant, formerly known as the board of governors fee waiver, serves more than 1 million california. Bog waiver (board of governors fee waiver) is a grant that waives the enrollment fees for eligible california residents in community. Learn how to. What Is Board Of Governors Fee Waiver.
From www.slideserve.com
PPT Board of Governors Fee Waiver PowerPoint Presentation, free What Is Board Of Governors Fee Waiver The california college promise grant (formerly known as the board of governors fee waiver) is a program that provides assistance to cover community college enrollment fees. Bog waiver (board of governors fee waiver) is a grant that waives the enrollment fees for eligible california residents in community. The california college promise grant, formerly known as the board of governors fee. What Is Board Of Governors Fee Waiver.
From www.bakersfieldcpr.net
Board of Governors Waiver Financial Aid What Is Board Of Governors Fee Waiver For eligible california residents, the california community colleges promise grant permits enrollment fees to be waived. Bog waiver (board of governors fee waiver) is a grant that waives the enrollment fees for eligible california residents in community. The california college promise grant (ccpg), formerly called the board of governor's fee waiver (bogw), is a state funded program. The california college. What Is Board Of Governors Fee Waiver.
From www.formsbank.com
California Community Colleges Board Of Governors Enrollment Fee Waiver What Is Board Of Governors Fee Waiver For eligible california residents, the california community colleges promise grant permits enrollment fees to be waived. Bog waiver (board of governors fee waiver) is a grant that waives the enrollment fees for eligible california residents in community. The california college promise grant (formerly known as the board of governors fee waiver) is a program that provides assistance to cover community. What Is Board Of Governors Fee Waiver.
From slideplayer.com
Advancement Information Session ppt download What Is Board Of Governors Fee Waiver For eligible california residents, the california community colleges promise grant permits enrollment fees to be waived. Learn how to apply for the california college promise grant (ccpg), formerly known as the board of governors fee waiver (bogw), to. Bog waiver (board of governors fee waiver) is a grant that waives the enrollment fees for eligible california residents in community. The. What Is Board Of Governors Fee Waiver.
From www.scribd.com
Anta Onica Ollege 20172018 Board of Governors Fee Waiver Signature What Is Board Of Governors Fee Waiver The california college promise grant (ccpg), formerly called the board of governor's fee waiver (bogw), is a state funded program. The california college promise grant (formerly known as the board of governors fee waiver) is a program that provides assistance to cover community college enrollment fees. The california college promise grant, formerly known as the board of governors fee waiver,. What Is Board Of Governors Fee Waiver.
From www.pdffiller.com
Fillable Online BOG Fee Waiver Form Board of Governors Fee Waiver Fax What Is Board Of Governors Fee Waiver The california college promise grant (formerly known as the board of governors fee waiver) is a program that provides assistance to cover community college enrollment fees. For eligible california residents, the california community colleges promise grant permits enrollment fees to be waived. The california college promise grant (ccpg), formerly called the board of governor's fee waiver (bogw), is a state. What Is Board Of Governors Fee Waiver.
From www.pdffiller.com
Fillable Online www.lavc.edugetattachmentfinancialaidBoard Of Governors What Is Board Of Governors Fee Waiver The california college promise grant, formerly known as the board of governors fee waiver, serves more than 1 million california. The california college promise grant (ccpg), formerly called the board of governor's fee waiver (bogw), is a state funded program. The california college promise grant (formerly known as the board of governors fee waiver) is a program that provides assistance. What Is Board Of Governors Fee Waiver.
From www.pdffiller.com
Fillable Online Board of governors fee waiver summer 2019 Fax Email What Is Board Of Governors Fee Waiver The california college promise grant (formerly known as the board of governors fee waiver) is a program that provides assistance to cover community college enrollment fees. The california college promise grant (ccpg), formerly called the board of governor's fee waiver (bogw), is a state funded program. The california college promise grant, formerly known as the board of governors fee waiver,. What Is Board Of Governors Fee Waiver.
From www.slideserve.com
PPT Board of Governors Fee Waiver PowerPoint Presentation, free What Is Board Of Governors Fee Waiver For eligible california residents, the california community colleges promise grant permits enrollment fees to be waived. Learn how to apply for the california college promise grant (ccpg), formerly known as the board of governors fee waiver (bogw), to. The california college promise grant, formerly known as the board of governors fee waiver, serves more than 1 million california. The california. What Is Board Of Governors Fee Waiver.
From slideplayer.com
Board of Governors Fee Waiver Regulatory Changes EOPS/Care Statewide What Is Board Of Governors Fee Waiver Bog waiver (board of governors fee waiver) is a grant that waives the enrollment fees for eligible california residents in community. The california college promise grant (formerly known as the board of governors fee waiver) is a program that provides assistance to cover community college enrollment fees. Learn how to apply for the california college promise grant (ccpg), formerly known. What Is Board Of Governors Fee Waiver.
From www.slideserve.com
PPT Board of Governors Fee Waiver PowerPoint Presentation, free What Is Board Of Governors Fee Waiver For eligible california residents, the california community colleges promise grant permits enrollment fees to be waived. The california college promise grant (ccpg), formerly called the board of governor's fee waiver (bogw), is a state funded program. Bog waiver (board of governors fee waiver) is a grant that waives the enrollment fees for eligible california residents in community. The california college. What Is Board Of Governors Fee Waiver.
From studylib.net
20162017 Board of Governors Fee Waiver Program ELIGIBILITY REQUIREMENTS What Is Board Of Governors Fee Waiver Bog waiver (board of governors fee waiver) is a grant that waives the enrollment fees for eligible california residents in community. The california college promise grant (ccpg), formerly called the board of governor's fee waiver (bogw), is a state funded program. The california college promise grant (formerly known as the board of governors fee waiver) is a program that provides. What Is Board Of Governors Fee Waiver.
From www.formsbank.com
California Community Colleges 201516 Board Of Governors Fee Waiver What Is Board Of Governors Fee Waiver For eligible california residents, the california community colleges promise grant permits enrollment fees to be waived. The california college promise grant, formerly known as the board of governors fee waiver, serves more than 1 million california. The california college promise grant (ccpg), formerly called the board of governor's fee waiver (bogw), is a state funded program. The california college promise. What Is Board Of Governors Fee Waiver.
From www.bogwaiver.com
Apply BOG Fee Waiver Now (California College Promise Grant) Board of What Is Board Of Governors Fee Waiver The california college promise grant, formerly known as the board of governors fee waiver, serves more than 1 million california. The california college promise grant (ccpg), formerly called the board of governor's fee waiver (bogw), is a state funded program. Bog waiver (board of governors fee waiver) is a grant that waives the enrollment fees for eligible california residents in. What Is Board Of Governors Fee Waiver.
From www.pdffiller.com
Fillable Online smc Board of Governors Fee Waiver Application What Is Board Of Governors Fee Waiver For eligible california residents, the california community colleges promise grant permits enrollment fees to be waived. The california college promise grant, formerly known as the board of governors fee waiver, serves more than 1 million california. The california college promise grant (formerly known as the board of governors fee waiver) is a program that provides assistance to cover community college. What Is Board Of Governors Fee Waiver.
From slideplayer.com
Board of Governors Fee Waiver ppt download What Is Board Of Governors Fee Waiver Bog waiver (board of governors fee waiver) is a grant that waives the enrollment fees for eligible california residents in community. The california college promise grant (ccpg), formerly called the board of governor's fee waiver (bogw), is a state funded program. Learn how to apply for the california college promise grant (ccpg), formerly known as the board of governors fee. What Is Board Of Governors Fee Waiver.
From www.slideserve.com
PPT Board of Governors Fee Waiver PowerPoint Presentation, free What Is Board Of Governors Fee Waiver The california college promise grant (formerly known as the board of governors fee waiver) is a program that provides assistance to cover community college enrollment fees. Bog waiver (board of governors fee waiver) is a grant that waives the enrollment fees for eligible california residents in community. The california college promise grant, formerly known as the board of governors fee. What Is Board Of Governors Fee Waiver.
From www.slideserve.com
PPT Board of Governors Fee Waiver PowerPoint Presentation, free What Is Board Of Governors Fee Waiver The california college promise grant, formerly known as the board of governors fee waiver, serves more than 1 million california. Learn how to apply for the california college promise grant (ccpg), formerly known as the board of governors fee waiver (bogw), to. The california college promise grant (ccpg), formerly called the board of governor's fee waiver (bogw), is a state. What Is Board Of Governors Fee Waiver.
From slideplayer.com
Financial aid What you need to know ppt download What Is Board Of Governors Fee Waiver For eligible california residents, the california community colleges promise grant permits enrollment fees to be waived. Bog waiver (board of governors fee waiver) is a grant that waives the enrollment fees for eligible california residents in community. The california college promise grant (ccpg), formerly called the board of governor's fee waiver (bogw), is a state funded program. The california college. What Is Board Of Governors Fee Waiver.
From www.dochub.com
Board of governors fee waiver application 20032004 Fill out & sign What Is Board Of Governors Fee Waiver The california college promise grant (ccpg), formerly called the board of governor's fee waiver (bogw), is a state funded program. The california college promise grant (formerly known as the board of governors fee waiver) is a program that provides assistance to cover community college enrollment fees. The california college promise grant, formerly known as the board of governors fee waiver,. What Is Board Of Governors Fee Waiver.
From www.pdffiller.com
Fillable Online formerly known as the Board of Governors Fee Waiver What Is Board Of Governors Fee Waiver For eligible california residents, the california community colleges promise grant permits enrollment fees to be waived. Learn how to apply for the california college promise grant (ccpg), formerly known as the board of governors fee waiver (bogw), to. Bog waiver (board of governors fee waiver) is a grant that waives the enrollment fees for eligible california residents in community. The. What Is Board Of Governors Fee Waiver.