Civil Procedure Rules Service Via Email . Under the current rules, service of documents by email is only permitted in certain circumstances, as set out in cpr 6apd.4, which. Where any rule or practice direction states in relation to a body that a document, notice or other communication may be served on or sent. Proceedings for divorce or maintenance and proceedings in the family courts generally are subject to special rules as to service which are. These rules are supplemented by practice. In october 2022, the administrative court held that an agreement to accept service of a claim form by email was valid only if the recipient. Rules 6.3(1)(d) and 6.20(1)(d) of the civil procedural rules (“cpr”) allow service by email of claim forms and other documents;
from www.scribd.com
Rules 6.3(1)(d) and 6.20(1)(d) of the civil procedural rules (“cpr”) allow service by email of claim forms and other documents; Under the current rules, service of documents by email is only permitted in certain circumstances, as set out in cpr 6apd.4, which. Where any rule or practice direction states in relation to a body that a document, notice or other communication may be served on or sent. In october 2022, the administrative court held that an agreement to accept service of a claim form by email was valid only if the recipient. These rules are supplemented by practice. Proceedings for divorce or maintenance and proceedings in the family courts generally are subject to special rules as to service which are.
Civil Procedure (Rules 14,15,16) Service Of Process Lawsuit
Civil Procedure Rules Service Via Email Where any rule or practice direction states in relation to a body that a document, notice or other communication may be served on or sent. In october 2022, the administrative court held that an agreement to accept service of a claim form by email was valid only if the recipient. Where any rule or practice direction states in relation to a body that a document, notice or other communication may be served on or sent. These rules are supplemented by practice. Under the current rules, service of documents by email is only permitted in certain circumstances, as set out in cpr 6apd.4, which. Proceedings for divorce or maintenance and proceedings in the family courts generally are subject to special rules as to service which are. Rules 6.3(1)(d) and 6.20(1)(d) of the civil procedural rules (“cpr”) allow service by email of claim forms and other documents;
From www.signnow.com
SUPERIOR COURT CIVIL RULES of PROCEDURE Form Fill Out and Sign Civil Procedure Rules Service Via Email In october 2022, the administrative court held that an agreement to accept service of a claim form by email was valid only if the recipient. These rules are supplemented by practice. Under the current rules, service of documents by email is only permitted in certain circumstances, as set out in cpr 6apd.4, which. Rules 6.3(1)(d) and 6.20(1)(d) of the civil. Civil Procedure Rules Service Via Email.
From www.pdffiller.com
Uniform Civil Procedure Rules Fill Online, Printable, Fillable, Blank Civil Procedure Rules Service Via Email Where any rule or practice direction states in relation to a body that a document, notice or other communication may be served on or sent. These rules are supplemented by practice. In october 2022, the administrative court held that an agreement to accept service of a claim form by email was valid only if the recipient. Rules 6.3(1)(d) and 6.20(1)(d). Civil Procedure Rules Service Via Email.
From www.youtube.com
Highlights of the Revised Rules of Civil Procedure, Part 1/4 YouTube Civil Procedure Rules Service Via Email Where any rule or practice direction states in relation to a body that a document, notice or other communication may be served on or sent. Under the current rules, service of documents by email is only permitted in certain circumstances, as set out in cpr 6apd.4, which. Proceedings for divorce or maintenance and proceedings in the family courts generally are. Civil Procedure Rules Service Via Email.
From www.federalrulesofcivilprocedure.org
Federal Rules of Civil Procedure 2024 Official Edition Civil Procedure Rules Service Via Email Under the current rules, service of documents by email is only permitted in certain circumstances, as set out in cpr 6apd.4, which. Rules 6.3(1)(d) and 6.20(1)(d) of the civil procedural rules (“cpr”) allow service by email of claim forms and other documents; These rules are supplemented by practice. In october 2022, the administrative court held that an agreement to accept. Civil Procedure Rules Service Via Email.
From www.pdffiller.com
PART 16 STATEMENTS OF CASE Civil Procedure Rules Doc Template Civil Procedure Rules Service Via Email These rules are supplemented by practice. Where any rule or practice direction states in relation to a body that a document, notice or other communication may be served on or sent. Rules 6.3(1)(d) and 6.20(1)(d) of the civil procedural rules (“cpr”) allow service by email of claim forms and other documents; In october 2022, the administrative court held that an. Civil Procedure Rules Service Via Email.
From www.scribd.com
Florida Rules of Civil Procedure Service Of Process Discovery (Law) Civil Procedure Rules Service Via Email Under the current rules, service of documents by email is only permitted in certain circumstances, as set out in cpr 6apd.4, which. Proceedings for divorce or maintenance and proceedings in the family courts generally are subject to special rules as to service which are. In october 2022, the administrative court held that an agreement to accept service of a claim. Civil Procedure Rules Service Via Email.
From www.pdffiller.com
Fillable Online Civil Procedure Rules Fax Email Print pdfFiller Civil Procedure Rules Service Via Email These rules are supplemented by practice. In october 2022, the administrative court held that an agreement to accept service of a claim form by email was valid only if the recipient. Under the current rules, service of documents by email is only permitted in certain circumstances, as set out in cpr 6apd.4, which. Where any rule or practice direction states. Civil Procedure Rules Service Via Email.
From www.youtube.com
Rules of Court Civil Procedure Rules 3639 YouTube Civil Procedure Rules Service Via Email Proceedings for divorce or maintenance and proceedings in the family courts generally are subject to special rules as to service which are. Under the current rules, service of documents by email is only permitted in certain circumstances, as set out in cpr 6apd.4, which. These rules are supplemented by practice. Where any rule or practice direction states in relation to. Civil Procedure Rules Service Via Email.
From exyiqioyl.blob.core.windows.net
Service Minnesota Rules Of Civil Procedure at Albert Lambert blog Civil Procedure Rules Service Via Email In october 2022, the administrative court held that an agreement to accept service of a claim form by email was valid only if the recipient. Under the current rules, service of documents by email is only permitted in certain circumstances, as set out in cpr 6apd.4, which. These rules are supplemented by practice. Rules 6.3(1)(d) and 6.20(1)(d) of the civil. Civil Procedure Rules Service Via Email.
From partasfriends.com
306a(5) of the Texas Rules of Civil Procedure Part As Friends® Civil Procedure Rules Service Via Email In october 2022, the administrative court held that an agreement to accept service of a claim form by email was valid only if the recipient. Proceedings for divorce or maintenance and proceedings in the family courts generally are subject to special rules as to service which are. Rules 6.3(1)(d) and 6.20(1)(d) of the civil procedural rules (“cpr”) allow service by. Civil Procedure Rules Service Via Email.
From www.studocu.com
Rules of Civil Procedure Rules of Civil Procedure General Principles Civil Procedure Rules Service Via Email Rules 6.3(1)(d) and 6.20(1)(d) of the civil procedural rules (“cpr”) allow service by email of claim forms and other documents; Where any rule or practice direction states in relation to a body that a document, notice or other communication may be served on or sent. In october 2022, the administrative court held that an agreement to accept service of a. Civil Procedure Rules Service Via Email.
From www.studocu.com
Civil Procedure Law Outline 3 Civil Procedure Purposes that the Civil Procedure Rules Service Via Email In october 2022, the administrative court held that an agreement to accept service of a claim form by email was valid only if the recipient. Proceedings for divorce or maintenance and proceedings in the family courts generally are subject to special rules as to service which are. These rules are supplemented by practice. Rules 6.3(1)(d) and 6.20(1)(d) of the civil. Civil Procedure Rules Service Via Email.
From www.studocu.com
Civil procedure reviewer rule 1 to 20 CIVIL PROCEDURE Rules 1 71 I Civil Procedure Rules Service Via Email Proceedings for divorce or maintenance and proceedings in the family courts generally are subject to special rules as to service which are. Where any rule or practice direction states in relation to a body that a document, notice or other communication may be served on or sent. Under the current rules, service of documents by email is only permitted in. Civil Procedure Rules Service Via Email.
From www.scribd.com
Civil Procedure Rules SI 7130 Service Of Process Lawsuit Civil Procedure Rules Service Via Email Rules 6.3(1)(d) and 6.20(1)(d) of the civil procedural rules (“cpr”) allow service by email of claim forms and other documents; These rules are supplemented by practice. Where any rule or practice direction states in relation to a body that a document, notice or other communication may be served on or sent. In october 2022, the administrative court held that an. Civil Procedure Rules Service Via Email.
From www.studocu.com
Civil Procedure Rules Cheat Sheet MAKE SURE TO UNDERLINE EVERY Civil Procedure Rules Service Via Email Where any rule or practice direction states in relation to a body that a document, notice or other communication may be served on or sent. Under the current rules, service of documents by email is only permitted in certain circumstances, as set out in cpr 6apd.4, which. Rules 6.3(1)(d) and 6.20(1)(d) of the civil procedural rules (“cpr”) allow service by. Civil Procedure Rules Service Via Email.
From www.civilform.net
Federal Rules Of Civil Procedure Waiver Of Service Form Civil Form 2023 Civil Procedure Rules Service Via Email In october 2022, the administrative court held that an agreement to accept service of a claim form by email was valid only if the recipient. Where any rule or practice direction states in relation to a body that a document, notice or other communication may be served on or sent. Rules 6.3(1)(d) and 6.20(1)(d) of the civil procedural rules (“cpr”). Civil Procedure Rules Service Via Email.
From www.scribd.com
Civil Procedure Rule Summaries PDF Service Of Process Pleading Civil Procedure Rules Service Via Email In october 2022, the administrative court held that an agreement to accept service of a claim form by email was valid only if the recipient. Proceedings for divorce or maintenance and proceedings in the family courts generally are subject to special rules as to service which are. These rules are supplemented by practice. Where any rule or practice direction states. Civil Procedure Rules Service Via Email.
From www.scribd.com
New Rules of Civil Procedure and Evidence Cheat Sheet for Dummies Civil Procedure Rules Service Via Email Proceedings for divorce or maintenance and proceedings in the family courts generally are subject to special rules as to service which are. These rules are supplemented by practice. Where any rule or practice direction states in relation to a body that a document, notice or other communication may be served on or sent. Rules 6.3(1)(d) and 6.20(1)(d) of the civil. Civil Procedure Rules Service Via Email.
From www.pdffiller.com
Fillable Online Uniform Civil Procedure Rules (Amendment Fax Email Civil Procedure Rules Service Via Email Under the current rules, service of documents by email is only permitted in certain circumstances, as set out in cpr 6apd.4, which. These rules are supplemented by practice. Where any rule or practice direction states in relation to a body that a document, notice or other communication may be served on or sent. In october 2022, the administrative court held. Civil Procedure Rules Service Via Email.
From www.scribd.com
Civil Procedure Template Civil Procedure Rules Service Via Email Rules 6.3(1)(d) and 6.20(1)(d) of the civil procedural rules (“cpr”) allow service by email of claim forms and other documents; In october 2022, the administrative court held that an agreement to accept service of a claim form by email was valid only if the recipient. These rules are supplemented by practice. Under the current rules, service of documents by email. Civil Procedure Rules Service Via Email.
From www.scribd.com
Civil Procedure Rules PDF Civil Procedure Rules Service Via Email Where any rule or practice direction states in relation to a body that a document, notice or other communication may be served on or sent. Rules 6.3(1)(d) and 6.20(1)(d) of the civil procedural rules (“cpr”) allow service by email of claim forms and other documents; Proceedings for divorce or maintenance and proceedings in the family courts generally are subject to. Civil Procedure Rules Service Via Email.
From www.scribd.com
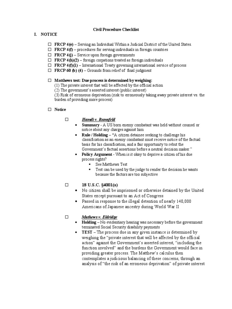
Civil Procedure Checklist Notice Service Of Process Federal Rules Civil Procedure Rules Service Via Email In october 2022, the administrative court held that an agreement to accept service of a claim form by email was valid only if the recipient. Where any rule or practice direction states in relation to a body that a document, notice or other communication may be served on or sent. These rules are supplemented by practice. Under the current rules,. Civil Procedure Rules Service Via Email.
From www.studocu.com
Civil Procedure Rules Civil Procedure Rules Civil Procedure Rules Civil Procedure Rules Service Via Email Proceedings for divorce or maintenance and proceedings in the family courts generally are subject to special rules as to service which are. These rules are supplemented by practice. In october 2022, the administrative court held that an agreement to accept service of a claim form by email was valid only if the recipient. Rules 6.3(1)(d) and 6.20(1)(d) of the civil. Civil Procedure Rules Service Via Email.
From www.researchgate.net
(PDF) An overview of the Uniform Civil Procedure Rules Civil Procedure Rules Service Via Email Rules 6.3(1)(d) and 6.20(1)(d) of the civil procedural rules (“cpr”) allow service by email of claim forms and other documents; Proceedings for divorce or maintenance and proceedings in the family courts generally are subject to special rules as to service which are. In october 2022, the administrative court held that an agreement to accept service of a claim form by. Civil Procedure Rules Service Via Email.
From www.docsity.com
Federal Rules of Civil Procedure Cheat Sheet Cheat Sheet Civil Civil Procedure Rules Service Via Email Proceedings for divorce or maintenance and proceedings in the family courts generally are subject to special rules as to service which are. Where any rule or practice direction states in relation to a body that a document, notice or other communication may be served on or sent. Under the current rules, service of documents by email is only permitted in. Civil Procedure Rules Service Via Email.
From joiqoqqvp.blob.core.windows.net
Kansas Rules Of Civil Procedure Service Of Process at Michele Rivera blog Civil Procedure Rules Service Via Email Proceedings for divorce or maintenance and proceedings in the family courts generally are subject to special rules as to service which are. Under the current rules, service of documents by email is only permitted in certain circumstances, as set out in cpr 6apd.4, which. These rules are supplemented by practice. Rules 6.3(1)(d) and 6.20(1)(d) of the civil procedural rules (“cpr”). Civil Procedure Rules Service Via Email.
From www.studocu.com
Lecture notes, Topics 115 Civil Procedure CIVIL PROCEDURE TOPIC 1 Civil Procedure Rules Service Via Email Under the current rules, service of documents by email is only permitted in certain circumstances, as set out in cpr 6apd.4, which. In october 2022, the administrative court held that an agreement to accept service of a claim form by email was valid only if the recipient. These rules are supplemented by practice. Where any rule or practice direction states. Civil Procedure Rules Service Via Email.
From www.etsy.com
Civil Procedure Law School Outline Flowchart Etsy Civil Procedure Rules Service Via Email Proceedings for divorce or maintenance and proceedings in the family courts generally are subject to special rules as to service which are. These rules are supplemented by practice. In october 2022, the administrative court held that an agreement to accept service of a claim form by email was valid only if the recipient. Where any rule or practice direction states. Civil Procedure Rules Service Via Email.
From www.signnow.com
New Mexico Rules of Civil Procedure, Process Serving Rules Form Fill Civil Procedure Rules Service Via Email Rules 6.3(1)(d) and 6.20(1)(d) of the civil procedural rules (“cpr”) allow service by email of claim forms and other documents; In october 2022, the administrative court held that an agreement to accept service of a claim form by email was valid only if the recipient. Proceedings for divorce or maintenance and proceedings in the family courts generally are subject to. Civil Procedure Rules Service Via Email.
From www.scribd.com
Civil Procedure (Rules 14,15,16) Service Of Process Lawsuit Civil Procedure Rules Service Via Email Under the current rules, service of documents by email is only permitted in certain circumstances, as set out in cpr 6apd.4, which. In october 2022, the administrative court held that an agreement to accept service of a claim form by email was valid only if the recipient. Proceedings for divorce or maintenance and proceedings in the family courts generally are. Civil Procedure Rules Service Via Email.
From themanuelstore.com
Riano CivPro Vol. 1 (2022) Civil Procedure Rules 156 Volume I Bar L Civil Procedure Rules Service Via Email Rules 6.3(1)(d) and 6.20(1)(d) of the civil procedural rules (“cpr”) allow service by email of claim forms and other documents; In october 2022, the administrative court held that an agreement to accept service of a claim form by email was valid only if the recipient. Where any rule or practice direction states in relation to a body that a document,. Civil Procedure Rules Service Via Email.
From www.studocu.com
Civil Procedure Reviewer Rule 1 to 10 CIVIL PROCEDURE Rules 1 71 I Civil Procedure Rules Service Via Email Under the current rules, service of documents by email is only permitted in certain circumstances, as set out in cpr 6apd.4, which. These rules are supplemented by practice. In october 2022, the administrative court held that an agreement to accept service of a claim form by email was valid only if the recipient. Proceedings for divorce or maintenance and proceedings. Civil Procedure Rules Service Via Email.
From www.pdffiller.com
Fillable Online (Uniform Civil Procedure Rules) Fax Email Print pdfFiller Civil Procedure Rules Service Via Email These rules are supplemented by practice. Rules 6.3(1)(d) and 6.20(1)(d) of the civil procedural rules (“cpr”) allow service by email of claim forms and other documents; Under the current rules, service of documents by email is only permitted in certain circumstances, as set out in cpr 6apd.4, which. Proceedings for divorce or maintenance and proceedings in the family courts generally. Civil Procedure Rules Service Via Email.
From www.studocu.com
Civil Procedure Study Unit 11 Copy CIVIL PROCEDURE CIVIL Civil Procedure Rules Service Via Email Where any rule or practice direction states in relation to a body that a document, notice or other communication may be served on or sent. Proceedings for divorce or maintenance and proceedings in the family courts generally are subject to special rules as to service which are. Under the current rules, service of documents by email is only permitted in. Civil Procedure Rules Service Via Email.
From www.pdffiller.com
Fillable Online Uniform Civil Procedure Rules Fax Email Print pdfFiller Civil Procedure Rules Service Via Email Rules 6.3(1)(d) and 6.20(1)(d) of the civil procedural rules (“cpr”) allow service by email of claim forms and other documents; These rules are supplemented by practice. Proceedings for divorce or maintenance and proceedings in the family courts generally are subject to special rules as to service which are. Under the current rules, service of documents by email is only permitted. Civil Procedure Rules Service Via Email.