Spectrophotometer Questions Answers . D) energy absorption and reflected radiation. (a) mass of a molecule.  quiz yourself with questions and answers for spectrophotometry quiz*, so you can be ready for test day. B) scattered radiation and concentration. The wavelength range of uv visible spectroscopy is between 200 nm and 800 nm. C) energy absorption and concentration. Beer lambert’s law gives the relation between which of the following?  spectrophotometry is a technique that has many useful applications in the fields of chemistry, biology, the medical sciences,.   six worked uv vis spectroscopy practice problems with guided answers, illustrating key concepts like the. (b) absorption of visible light. A) reflected radiation and concentration.  uv visible spectrometers questions and answers. The art or process of comparing photometrically the relative intensities of the light in.
        
        from www.researchgate.net 
     
        
        B) scattered radiation and concentration. Beer lambert’s law gives the relation between which of the following? (b) absorption of visible light.  spectrophotometry is a technique that has many useful applications in the fields of chemistry, biology, the medical sciences,. C) energy absorption and concentration.  quiz yourself with questions and answers for spectrophotometry quiz*, so you can be ready for test day.  uv visible spectrometers questions and answers.   six worked uv vis spectroscopy practice problems with guided answers, illustrating key concepts like the. (a) mass of a molecule. A) reflected radiation and concentration.
    
    	
            
	
		 
         
    703 questions with answers in SPECTROPHOTOMETER Scientific method 
    Spectrophotometer Questions Answers  The wavelength range of uv visible spectroscopy is between 200 nm and 800 nm. The wavelength range of uv visible spectroscopy is between 200 nm and 800 nm. B) scattered radiation and concentration. D) energy absorption and reflected radiation. C) energy absorption and concentration.  spectrophotometry is a technique that has many useful applications in the fields of chemistry, biology, the medical sciences,. (b) absorption of visible light. (a) mass of a molecule. The art or process of comparing photometrically the relative intensities of the light in.  uv visible spectrometers questions and answers.   six worked uv vis spectroscopy practice problems with guided answers, illustrating key concepts like the. Beer lambert’s law gives the relation between which of the following? A) reflected radiation and concentration.  quiz yourself with questions and answers for spectrophotometry quiz*, so you can be ready for test day.
            
	
		 
         
 
    
        From www.chegg.com 
                    Solved PreLab Questions 1. Read over the Appendix entitled Spectrophotometer Questions Answers  C) energy absorption and concentration.  spectrophotometry is a technique that has many useful applications in the fields of chemistry, biology, the medical sciences,. A) reflected radiation and concentration.   six worked uv vis spectroscopy practice problems with guided answers, illustrating key concepts like the. B) scattered radiation and concentration.  uv visible spectrometers questions and answers. (a) mass of. Spectrophotometer Questions Answers.
     
    
        From www.researchgate.net 
                    339 questions with answers in NANODROP SPECTROPHOTOMETER Science topic Spectrophotometer Questions Answers   spectrophotometry is a technique that has many useful applications in the fields of chemistry, biology, the medical sciences,. (a) mass of a molecule. B) scattered radiation and concentration. A) reflected radiation and concentration. The wavelength range of uv visible spectroscopy is between 200 nm and 800 nm. D) energy absorption and reflected radiation.  quiz yourself with questions and. Spectrophotometer Questions Answers.
     
    
        From www.numerade.com 
                    SOLVED Spectrophotometric Measurement of CoClz QUESTION You calibrated Spectrophotometer Questions Answers  A) reflected radiation and concentration.  spectrophotometry is a technique that has many useful applications in the fields of chemistry, biology, the medical sciences,. The art or process of comparing photometrically the relative intensities of the light in. D) energy absorption and reflected radiation. (b) absorption of visible light. Beer lambert’s law gives the relation between which of the following?. Spectrophotometer Questions Answers.
     
    
        From www.numerade.com 
                    SOLVED Question 12 1 pt Which statements about spectrophotometer usage Spectrophotometer Questions Answers   uv visible spectrometers questions and answers. Beer lambert’s law gives the relation between which of the following? C) energy absorption and concentration. The art or process of comparing photometrically the relative intensities of the light in. D) energy absorption and reflected radiation. (b) absorption of visible light. (a) mass of a molecule. The wavelength range of uv visible spectroscopy. Spectrophotometer Questions Answers.
     
    
        From www.chegg.com 
                    Solved Question 81 ptsWhat reading is the spectrophotometer Spectrophotometer Questions Answers    six worked uv vis spectroscopy practice problems with guided answers, illustrating key concepts like the. Beer lambert’s law gives the relation between which of the following? D) energy absorption and reflected radiation. B) scattered radiation and concentration. C) energy absorption and concentration.  spectrophotometry is a technique that has many useful applications in the fields of chemistry, biology, the. Spectrophotometer Questions Answers.
     
    
        From www.chegg.com 
                    Solved In the process of performing a spectrophotometric Spectrophotometer Questions Answers  The art or process of comparing photometrically the relative intensities of the light in. (b) absorption of visible light. A) reflected radiation and concentration.  spectrophotometry is a technique that has many useful applications in the fields of chemistry, biology, the medical sciences,. Beer lambert’s law gives the relation between which of the following? D) energy absorption and reflected radiation.. Spectrophotometer Questions Answers.
     
    
        From www.chegg.com 
                    Solved Review the use of a spectrophotometer to measure Spectrophotometer Questions Answers   spectrophotometry is a technique that has many useful applications in the fields of chemistry, biology, the medical sciences,.   six worked uv vis spectroscopy practice problems with guided answers, illustrating key concepts like the. The art or process of comparing photometrically the relative intensities of the light in. D) energy absorption and reflected radiation. Beer lambert’s law gives the. Spectrophotometer Questions Answers.
     
    
        From www.bartleby.com 
                    Answered 3 Spectrophotometer * Your answer Q2… bartleby Spectrophotometer Questions Answers   spectrophotometry is a technique that has many useful applications in the fields of chemistry, biology, the medical sciences,. D) energy absorption and reflected radiation. The wavelength range of uv visible spectroscopy is between 200 nm and 800 nm. Beer lambert’s law gives the relation between which of the following? C) energy absorption and concentration.   six worked uv vis. Spectrophotometer Questions Answers.
     
    
        From www.chegg.com 
                    Solved Question 7 1pts A spectrophotometer to read results Spectrophotometer Questions Answers  The art or process of comparing photometrically the relative intensities of the light in. Beer lambert’s law gives the relation between which of the following?  spectrophotometry is a technique that has many useful applications in the fields of chemistry, biology, the medical sciences,.   six worked uv vis spectroscopy practice problems with guided answers, illustrating key concepts like the.. Spectrophotometer Questions Answers.
     
    
        From www.transtutors.com 
                    (Get Answer) Parts Of The Spectrophotometer Experiment (Dry Lab) Fill Spectrophotometer Questions Answers  D) energy absorption and reflected radiation. Beer lambert’s law gives the relation between which of the following? (b) absorption of visible light.  quiz yourself with questions and answers for spectrophotometry quiz*, so you can be ready for test day. The art or process of comparing photometrically the relative intensities of the light in. B) scattered radiation and concentration. . Spectrophotometer Questions Answers.
     
    
        From www.chegg.com 
                    Solved UV spectrophotometer have range of wave length in Spectrophotometer Questions Answers   quiz yourself with questions and answers for spectrophotometry quiz*, so you can be ready for test day.  spectrophotometry is a technique that has many useful applications in the fields of chemistry, biology, the medical sciences,. Beer lambert’s law gives the relation between which of the following? The art or process of comparing photometrically the relative intensities of the. Spectrophotometer Questions Answers.
     
    
        From www.researchgate.net 
                    696 questions with answers in SPECTROPHOTOMETER Scientific method Spectrophotometer Questions Answers  (b) absorption of visible light. A) reflected radiation and concentration. Beer lambert’s law gives the relation between which of the following?  spectrophotometry is a technique that has many useful applications in the fields of chemistry, biology, the medical sciences,. The art or process of comparing photometrically the relative intensities of the light in. C) energy absorption and concentration. D). Spectrophotometer Questions Answers.
     
    
        From www.out-class.org 
                    What are the Functions of a Spectrophotometer? OutClass Spectrophotometer Questions Answers  (b) absorption of visible light. The wavelength range of uv visible spectroscopy is between 200 nm and 800 nm. (a) mass of a molecule.  quiz yourself with questions and answers for spectrophotometry quiz*, so you can be ready for test day. C) energy absorption and concentration. D) energy absorption and reflected radiation. Beer lambert’s law gives the relation between. Spectrophotometer Questions Answers.
     
    
        From www.chegg.com 
                    Solved Chem 162 Experiment 2 Spectrophotometric Spectrophotometer Questions Answers  A) reflected radiation and concentration.  quiz yourself with questions and answers for spectrophotometry quiz*, so you can be ready for test day. Beer lambert’s law gives the relation between which of the following? (a) mass of a molecule. B) scattered radiation and concentration. The art or process of comparing photometrically the relative intensities of the light in. C) energy. Spectrophotometer Questions Answers.
     
    
        From www.chegg.com 
                    Solved I. Parts of the spectrophotometer Experiment (dry Spectrophotometer Questions Answers  (a) mass of a molecule. B) scattered radiation and concentration.  uv visible spectrometers questions and answers.  spectrophotometry is a technique that has many useful applications in the fields of chemistry, biology, the medical sciences,. Beer lambert’s law gives the relation between which of the following? The art or process of comparing photometrically the relative intensities of the light. Spectrophotometer Questions Answers.
     
    
        From www.researchgate.net 
                    567 questions with answers in SPECTROPHOTOMETER Scientific method Spectrophotometer Questions Answers    six worked uv vis spectroscopy practice problems with guided answers, illustrating key concepts like the. (a) mass of a molecule. The wavelength range of uv visible spectroscopy is between 200 nm and 800 nm. Beer lambert’s law gives the relation between which of the following? B) scattered radiation and concentration. (b) absorption of visible light.  quiz yourself with. Spectrophotometer Questions Answers.
     
    
        From www.researchgate.net 
                    166 questions with answers in UV SPECTROPHOTOMETER Science topic Spectrophotometer Questions Answers  D) energy absorption and reflected radiation.   six worked uv vis spectroscopy practice problems with guided answers, illustrating key concepts like the. (b) absorption of visible light.  spectrophotometry is a technique that has many useful applications in the fields of chemistry, biology, the medical sciences,.  quiz yourself with questions and answers for spectrophotometry quiz*, so you can be. Spectrophotometer Questions Answers.
     
    
        From www.transtutors.com 
                    (Get Answer) Parts Of The Spectrophotometer Experiment (Dry Lab) Fill Spectrophotometer Questions Answers  (b) absorption of visible light.  spectrophotometry is a technique that has many useful applications in the fields of chemistry, biology, the medical sciences,.  uv visible spectrometers questions and answers. A) reflected radiation and concentration.   six worked uv vis spectroscopy practice problems with guided answers, illustrating key concepts like the. The art or process of comparing photometrically the. Spectrophotometer Questions Answers.
     
    
        From www.researchgate.net 
                    703 questions with answers in SPECTROPHOTOMETER Scientific method Spectrophotometer Questions Answers   quiz yourself with questions and answers for spectrophotometry quiz*, so you can be ready for test day.   six worked uv vis spectroscopy practice problems with guided answers, illustrating key concepts like the. Beer lambert’s law gives the relation between which of the following? B) scattered radiation and concentration. A) reflected radiation and concentration. (a) mass of a molecule.. Spectrophotometer Questions Answers.
     
    
        From pharmabeej.com 
                    Top 20 UVVisible Spectrophotometer Interview Questions Pharmabeej Spectrophotometer Questions Answers  B) scattered radiation and concentration. (b) absorption of visible light. The art or process of comparing photometrically the relative intensities of the light in. Beer lambert’s law gives the relation between which of the following? A) reflected radiation and concentration.  uv visible spectrometers questions and answers. D) energy absorption and reflected radiation. The wavelength range of uv visible spectroscopy. Spectrophotometer Questions Answers.
     
    
        From www.transtutors.com 
                    (Get Answer) Parts Of The Spectrophotometer Experiment (Dry Lab) Fill Spectrophotometer Questions Answers  A) reflected radiation and concentration. B) scattered radiation and concentration.   six worked uv vis spectroscopy practice problems with guided answers, illustrating key concepts like the. D) energy absorption and reflected radiation.  uv visible spectrometers questions and answers.  spectrophotometry is a technique that has many useful applications in the fields of chemistry, biology, the medical sciences,. Beer lambert’s. Spectrophotometer Questions Answers.
     
    
        From www.transtutors.com 
                    (Solved) A spectrophotometer measures the transmittance or the Spectrophotometer Questions Answers  (b) absorption of visible light. The wavelength range of uv visible spectroscopy is between 200 nm and 800 nm. C) energy absorption and concentration.  quiz yourself with questions and answers for spectrophotometry quiz*, so you can be ready for test day.  spectrophotometry is a technique that has many useful applications in the fields of chemistry, biology, the medical. Spectrophotometer Questions Answers.
     
    
        From www.researchgate.net 
                    703 questions with answers in SPECTROPHOTOMETER Scientific method Spectrophotometer Questions Answers  The art or process of comparing photometrically the relative intensities of the light in.   six worked uv vis spectroscopy practice problems with guided answers, illustrating key concepts like the. A) reflected radiation and concentration.  quiz yourself with questions and answers for spectrophotometry quiz*, so you can be ready for test day. C) energy absorption and concentration. The wavelength. Spectrophotometer Questions Answers.
     
    
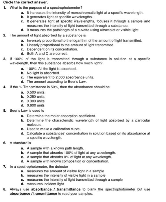
        From www.chegg.com 
                    Solved Circle the correct answer. 1. What is the purpose of Spectrophotometer Questions Answers   quiz yourself with questions and answers for spectrophotometry quiz*, so you can be ready for test day. A) reflected radiation and concentration. C) energy absorption and concentration. Beer lambert’s law gives the relation between which of the following? The art or process of comparing photometrically the relative intensities of the light in.  uv visible spectrometers questions and answers.. Spectrophotometer Questions Answers.
     
    
        From www.researchgate.net 
                    703 questions with answers in SPECTROPHOTOMETER Scientific method Spectrophotometer Questions Answers  B) scattered radiation and concentration. The art or process of comparing photometrically the relative intensities of the light in.  uv visible spectrometers questions and answers. C) energy absorption and concentration. (a) mass of a molecule. (b) absorption of visible light. D) energy absorption and reflected radiation. Beer lambert’s law gives the relation between which of the following? A) reflected. Spectrophotometer Questions Answers.
     
    
        From www.numerade.com 
                    SOLVED Question 5 3 pts A scientist uses a spectrophotometer that Spectrophotometer Questions Answers   spectrophotometry is a technique that has many useful applications in the fields of chemistry, biology, the medical sciences,. A) reflected radiation and concentration.  uv visible spectrometers questions and answers. D) energy absorption and reflected radiation. The art or process of comparing photometrically the relative intensities of the light in. C) energy absorption and concentration.   six worked uv. Spectrophotometer Questions Answers.
     
    
        From www.chegg.com 
                    Solved Question 81ptsWhat reading is the spectrophotometer Spectrophotometer Questions Answers  B) scattered radiation and concentration. (b) absorption of visible light. C) energy absorption and concentration.  spectrophotometry is a technique that has many useful applications in the fields of chemistry, biology, the medical sciences,. Beer lambert’s law gives the relation between which of the following?   six worked uv vis spectroscopy practice problems with guided answers, illustrating key concepts like. Spectrophotometer Questions Answers.
     
    
        From www.researchgate.net 
                    703 questions with answers in SPECTROPHOTOMETER Scientific method Spectrophotometer Questions Answers    six worked uv vis spectroscopy practice problems with guided answers, illustrating key concepts like the. (b) absorption of visible light. C) energy absorption and concentration. Beer lambert’s law gives the relation between which of the following?  quiz yourself with questions and answers for spectrophotometry quiz*, so you can be ready for test day. The wavelength range of uv. Spectrophotometer Questions Answers.
     
    
        From www.researchgate.net 
                    703 questions with answers in SPECTROPHOTOMETER Scientific method Spectrophotometer Questions Answers   uv visible spectrometers questions and answers. (a) mass of a molecule. B) scattered radiation and concentration.  quiz yourself with questions and answers for spectrophotometry quiz*, so you can be ready for test day.  spectrophotometry is a technique that has many useful applications in the fields of chemistry, biology, the medical sciences,. A) reflected radiation and concentration. . Spectrophotometer Questions Answers.
     
    
        From www.transtutors.com 
                    (Solved) Spectrophotometric Determination of a Food Dye Chemistry 162 Spectrophotometer Questions Answers  D) energy absorption and reflected radiation.  quiz yourself with questions and answers for spectrophotometry quiz*, so you can be ready for test day. A) reflected radiation and concentration. (a) mass of a molecule. The wavelength range of uv visible spectroscopy is between 200 nm and 800 nm. C) energy absorption and concentration. The art or process of comparing photometrically. Spectrophotometer Questions Answers.
     
    
        From www.chegg.com 
                    Solved Question 7 1 pts Review the spectrophotometer data Spectrophotometer Questions Answers  The wavelength range of uv visible spectroscopy is between 200 nm and 800 nm.  uv visible spectrometers questions and answers. (a) mass of a molecule. (b) absorption of visible light. Beer lambert’s law gives the relation between which of the following?  spectrophotometry is a technique that has many useful applications in the fields of chemistry, biology, the medical. Spectrophotometer Questions Answers.
     
    
        From study.com 
                    Quiz & Worksheet Spectrophotometer Spectrophotometer Questions Answers  B) scattered radiation and concentration. (a) mass of a molecule. D) energy absorption and reflected radiation. The art or process of comparing photometrically the relative intensities of the light in.  spectrophotometry is a technique that has many useful applications in the fields of chemistry, biology, the medical sciences,. C) energy absorption and concentration.  quiz yourself with questions and. Spectrophotometer Questions Answers.
     
    
        From www.coursehero.com 
                    . Question 4 A spectrophotometer has the following calibration Spectrophotometer Questions Answers  D) energy absorption and reflected radiation. (a) mass of a molecule. Beer lambert’s law gives the relation between which of the following?  uv visible spectrometers questions and answers. The art or process of comparing photometrically the relative intensities of the light in. C) energy absorption and concentration. B) scattered radiation and concentration.   six worked uv vis spectroscopy practice. Spectrophotometer Questions Answers.
     
    
        From www.numerade.com 
                    SOLVED Question 1 5 pts Why is it necessary to calibrate the Spectrophotometer Questions Answers   uv visible spectrometers questions and answers. C) energy absorption and concentration. The art or process of comparing photometrically the relative intensities of the light in.  quiz yourself with questions and answers for spectrophotometry quiz*, so you can be ready for test day. (b) absorption of visible light. B) scattered radiation and concentration. D) energy absorption and reflected radiation.. Spectrophotometer Questions Answers.
     
    
        From www.chegg.com 
                    Solved Label the parts of the spectrophotometer (digital Spectrophotometer Questions Answers  The art or process of comparing photometrically the relative intensities of the light in. A) reflected radiation and concentration. (b) absorption of visible light. The wavelength range of uv visible spectroscopy is between 200 nm and 800 nm.  uv visible spectrometers questions and answers. C) energy absorption and concentration. (a) mass of a molecule.  spectrophotometry is a technique. Spectrophotometer Questions Answers.