Sodium Hydroxide Not Dissolving . learn how water dissolves ionic and molecular compounds, and why some compounds are insoluble in water. We know that water will not dissolve oil. special care is required to prepare a solution of sodium hydroxide or naoh in water because considerable heat is liberated by the exothermic reaction. on the other hand, if the solvation forces are much stronger than the compound’s electrostatic forces, the dissolution is. learn how to dissolve sodium hydroxide in water and feel the warmth of an exothermic reaction. an example of a nonpolar compound could be something like oil. Let's go back to this first idea of. Sodium hydroxide is an example of a strong. the dissolution of sodium hydroxide in water is an exothermic process, and so, according to le chatelier’s principle,. if i say one mole of sodium sulfate dissolves in water i am really meaning for every mole of sodium sulfate that dissolves, two moles of.
from www.unifolks.com
We know that water will not dissolve oil. on the other hand, if the solvation forces are much stronger than the compound’s electrostatic forces, the dissolution is. learn how to dissolve sodium hydroxide in water and feel the warmth of an exothermic reaction. Sodium hydroxide is an example of a strong. if i say one mole of sodium sulfate dissolves in water i am really meaning for every mole of sodium sulfate that dissolves, two moles of. an example of a nonpolar compound could be something like oil. special care is required to prepare a solution of sodium hydroxide or naoh in water because considerable heat is liberated by the exothermic reaction. learn how water dissolves ionic and molecular compounds, and why some compounds are insoluble in water. Let's go back to this first idea of. the dissolution of sodium hydroxide in water is an exothermic process, and so, according to le chatelier’s principle,.
A student dissolves 10.2 g of sodium hydroxide (NaOH) in 200. g of
Sodium Hydroxide Not Dissolving Let's go back to this first idea of. an example of a nonpolar compound could be something like oil. if i say one mole of sodium sulfate dissolves in water i am really meaning for every mole of sodium sulfate that dissolves, two moles of. special care is required to prepare a solution of sodium hydroxide or naoh in water because considerable heat is liberated by the exothermic reaction. the dissolution of sodium hydroxide in water is an exothermic process, and so, according to le chatelier’s principle,. on the other hand, if the solvation forces are much stronger than the compound’s electrostatic forces, the dissolution is. Sodium hydroxide is an example of a strong. Let's go back to this first idea of. learn how water dissolves ionic and molecular compounds, and why some compounds are insoluble in water. learn how to dissolve sodium hydroxide in water and feel the warmth of an exothermic reaction. We know that water will not dissolve oil.
From www.chegg.com
Solved A student dissolves 11.1 g of sodium hydroxide (NaOH) Sodium Hydroxide Not Dissolving if i say one mole of sodium sulfate dissolves in water i am really meaning for every mole of sodium sulfate that dissolves, two moles of. on the other hand, if the solvation forces are much stronger than the compound’s electrostatic forces, the dissolution is. special care is required to prepare a solution of sodium hydroxide or. Sodium Hydroxide Not Dissolving.
From www.numerade.com
Question 19 0 / 0.5 pts When solid sodium hydroxide (NaOH) is placed Sodium Hydroxide Not Dissolving if i say one mole of sodium sulfate dissolves in water i am really meaning for every mole of sodium sulfate that dissolves, two moles of. the dissolution of sodium hydroxide in water is an exothermic process, and so, according to le chatelier’s principle,. We know that water will not dissolve oil. Sodium hydroxide is an example of. Sodium Hydroxide Not Dissolving.
From kunduz.com
[ANSWERED] A sodium hydroxide solution is prepared by dissolving 5 0 g Sodium Hydroxide Not Dissolving special care is required to prepare a solution of sodium hydroxide or naoh in water because considerable heat is liberated by the exothermic reaction. Sodium hydroxide is an example of a strong. if i say one mole of sodium sulfate dissolves in water i am really meaning for every mole of sodium sulfate that dissolves, two moles of.. Sodium Hydroxide Not Dissolving.
From www.chemicalslearning.com
What is the Reaction of Magnesium Chloride and Sodium Hydroxide? Sodium Hydroxide Not Dissolving if i say one mole of sodium sulfate dissolves in water i am really meaning for every mole of sodium sulfate that dissolves, two moles of. We know that water will not dissolve oil. on the other hand, if the solvation forces are much stronger than the compound’s electrostatic forces, the dissolution is. learn how to dissolve. Sodium Hydroxide Not Dissolving.
From www.chegg.com
Solved Theo Dissolving solid sodium hydroxide in water to Sodium Hydroxide Not Dissolving Let's go back to this first idea of. learn how to dissolve sodium hydroxide in water and feel the warmth of an exothermic reaction. We know that water will not dissolve oil. special care is required to prepare a solution of sodium hydroxide or naoh in water because considerable heat is liberated by the exothermic reaction. the. Sodium Hydroxide Not Dissolving.
From www.chegg.com
Solved Calculation As the sodium hydroxide dissolves, heat Sodium Hydroxide Not Dissolving Sodium hydroxide is an example of a strong. Let's go back to this first idea of. learn how to dissolve sodium hydroxide in water and feel the warmth of an exothermic reaction. special care is required to prepare a solution of sodium hydroxide or naoh in water because considerable heat is liberated by the exothermic reaction. if. Sodium Hydroxide Not Dissolving.
From socratic.org
What is the pH of a 0.0605 M solution of sodium hydroxide, NaOH? Socratic Sodium Hydroxide Not Dissolving Sodium hydroxide is an example of a strong. on the other hand, if the solvation forces are much stronger than the compound’s electrostatic forces, the dissolution is. We know that water will not dissolve oil. special care is required to prepare a solution of sodium hydroxide or naoh in water because considerable heat is liberated by the exothermic. Sodium Hydroxide Not Dissolving.
From www.chegg.com
Solved (1) Solid sodium hydroxide dissolves in water to form Sodium Hydroxide Not Dissolving on the other hand, if the solvation forces are much stronger than the compound’s electrostatic forces, the dissolution is. We know that water will not dissolve oil. learn how to dissolve sodium hydroxide in water and feel the warmth of an exothermic reaction. the dissolution of sodium hydroxide in water is an exothermic process, and so, according. Sodium Hydroxide Not Dissolving.
From www.chegg.com
Solved A student dissolves 13.1 g of sodium hydroxide (NaOH) Sodium Hydroxide Not Dissolving Sodium hydroxide is an example of a strong. special care is required to prepare a solution of sodium hydroxide or naoh in water because considerable heat is liberated by the exothermic reaction. if i say one mole of sodium sulfate dissolves in water i am really meaning for every mole of sodium sulfate that dissolves, two moles of.. Sodium Hydroxide Not Dissolving.
From www.bienxanhtd.com
Sodium hydroxide (NaOH) Sodium Hydroxide Not Dissolving if i say one mole of sodium sulfate dissolves in water i am really meaning for every mole of sodium sulfate that dissolves, two moles of. learn how water dissolves ionic and molecular compounds, and why some compounds are insoluble in water. learn how to dissolve sodium hydroxide in water and feel the warmth of an exothermic. Sodium Hydroxide Not Dissolving.
From www.sciencephoto.com
Sodium hydroxide molecule, illustration Stock Image F037/4398 Sodium Hydroxide Not Dissolving learn how water dissolves ionic and molecular compounds, and why some compounds are insoluble in water. We know that water will not dissolve oil. Sodium hydroxide is an example of a strong. on the other hand, if the solvation forces are much stronger than the compound’s electrostatic forces, the dissolution is. Let's go back to this first idea. Sodium Hydroxide Not Dissolving.
From www.numerade.com
SOLVED Question 27 5 pts Calculate the molarity of a sodium hydroxide Sodium Hydroxide Not Dissolving learn how to dissolve sodium hydroxide in water and feel the warmth of an exothermic reaction. Sodium hydroxide is an example of a strong. on the other hand, if the solvation forces are much stronger than the compound’s electrostatic forces, the dissolution is. the dissolution of sodium hydroxide in water is an exothermic process, and so, according. Sodium Hydroxide Not Dissolving.
From www.youtube.com
What happens when Sodium Hydroxide and Aluminium Reacts Sodium Hydroxide Not Dissolving an example of a nonpolar compound could be something like oil. on the other hand, if the solvation forces are much stronger than the compound’s electrostatic forces, the dissolution is. the dissolution of sodium hydroxide in water is an exothermic process, and so, according to le chatelier’s principle,. special care is required to prepare a solution. Sodium Hydroxide Not Dissolving.
From www.unifolks.com
A student dissolves 10.2 g of sodium hydroxide (NaOH) in 200. g of Sodium Hydroxide Not Dissolving the dissolution of sodium hydroxide in water is an exothermic process, and so, according to le chatelier’s principle,. Let's go back to this first idea of. learn how water dissolves ionic and molecular compounds, and why some compounds are insoluble in water. an example of a nonpolar compound could be something like oil. special care is. Sodium Hydroxide Not Dissolving.
From www.numerade.com
SOLVED 'An unknown mass of benzoic acid is titrated to the end point Sodium Hydroxide Not Dissolving We know that water will not dissolve oil. learn how water dissolves ionic and molecular compounds, and why some compounds are insoluble in water. Let's go back to this first idea of. learn how to dissolve sodium hydroxide in water and feel the warmth of an exothermic reaction. Sodium hydroxide is an example of a strong. an. Sodium Hydroxide Not Dissolving.
From askfilo.com
5. 1 litre solution is made by dissolving 40mg sodium hydroxide in water Sodium Hydroxide Not Dissolving an example of a nonpolar compound could be something like oil. We know that water will not dissolve oil. special care is required to prepare a solution of sodium hydroxide or naoh in water because considerable heat is liberated by the exothermic reaction. Sodium hydroxide is an example of a strong. on the other hand, if the. Sodium Hydroxide Not Dissolving.
From www.coursehero.com
[Solved] 8 A sodium hydroxide solution was prepared by dissolving 4.30 Sodium Hydroxide Not Dissolving Sodium hydroxide is an example of a strong. special care is required to prepare a solution of sodium hydroxide or naoh in water because considerable heat is liberated by the exothermic reaction. Let's go back to this first idea of. learn how to dissolve sodium hydroxide in water and feel the warmth of an exothermic reaction. if. Sodium Hydroxide Not Dissolving.
From www.chegg.com
Solved Reaction 1 The dissolving of solid sodium hydroxide Sodium Hydroxide Not Dissolving an example of a nonpolar compound could be something like oil. if i say one mole of sodium sulfate dissolves in water i am really meaning for every mole of sodium sulfate that dissolves, two moles of. We know that water will not dissolve oil. on the other hand, if the solvation forces are much stronger than. Sodium Hydroxide Not Dissolving.
From scienceinfo.com
Sodium Hydroxide (NaOH) Formula, Properties, Preparation, Uses Sodium Hydroxide Not Dissolving an example of a nonpolar compound could be something like oil. if i say one mole of sodium sulfate dissolves in water i am really meaning for every mole of sodium sulfate that dissolves, two moles of. learn how to dissolve sodium hydroxide in water and feel the warmth of an exothermic reaction. We know that water. Sodium Hydroxide Not Dissolving.
From www.mpimpex.co.th
Q RëC™ SODIUM HYDROXIDE Solution, 1 ลิตร (0.01M 2M) M&P IMPEX Sodium Hydroxide Not Dissolving if i say one mole of sodium sulfate dissolves in water i am really meaning for every mole of sodium sulfate that dissolves, two moles of. Let's go back to this first idea of. on the other hand, if the solvation forces are much stronger than the compound’s electrostatic forces, the dissolution is. We know that water will. Sodium Hydroxide Not Dissolving.
From www.youtube.com
Equation for Sodium Carbonate Dissolving in Water (Na2CO3 + H2O) YouTube Sodium Hydroxide Not Dissolving an example of a nonpolar compound could be something like oil. special care is required to prepare a solution of sodium hydroxide or naoh in water because considerable heat is liberated by the exothermic reaction. We know that water will not dissolve oil. learn how to dissolve sodium hydroxide in water and feel the warmth of an. Sodium Hydroxide Not Dissolving.
From www.chegg.com
Solved A student dissolves 11.6 g of sodium hydroxide (NaOH) Sodium Hydroxide Not Dissolving an example of a nonpolar compound could be something like oil. We know that water will not dissolve oil. on the other hand, if the solvation forces are much stronger than the compound’s electrostatic forces, the dissolution is. if i say one mole of sodium sulfate dissolves in water i am really meaning for every mole of. Sodium Hydroxide Not Dissolving.
From pubs.acs.org
Direct Extraction of Sodium Hydroxide by Calix[4]pyrroleBased IonPair Sodium Hydroxide Not Dissolving the dissolution of sodium hydroxide in water is an exothermic process, and so, according to le chatelier’s principle,. an example of a nonpolar compound could be something like oil. on the other hand, if the solvation forces are much stronger than the compound’s electrostatic forces, the dissolution is. learn how to dissolve sodium hydroxide in water. Sodium Hydroxide Not Dissolving.
From wou.edu
CH104 Chapter 7 Solutions Chemistry Sodium Hydroxide Not Dissolving the dissolution of sodium hydroxide in water is an exothermic process, and so, according to le chatelier’s principle,. learn how water dissolves ionic and molecular compounds, and why some compounds are insoluble in water. Let's go back to this first idea of. an example of a nonpolar compound could be something like oil. Sodium hydroxide is an. Sodium Hydroxide Not Dissolving.
From www.chegg.com
Solved A sodium hydroxide solution is prepared by dissolving Sodium Hydroxide Not Dissolving on the other hand, if the solvation forces are much stronger than the compound’s electrostatic forces, the dissolution is. if i say one mole of sodium sulfate dissolves in water i am really meaning for every mole of sodium sulfate that dissolves, two moles of. learn how water dissolves ionic and molecular compounds, and why some compounds. Sodium Hydroxide Not Dissolving.
From www.doubtnut.com
Zinc dissolves in sodium hydroxide solution Sodium Hydroxide Not Dissolving learn how water dissolves ionic and molecular compounds, and why some compounds are insoluble in water. if i say one mole of sodium sulfate dissolves in water i am really meaning for every mole of sodium sulfate that dissolves, two moles of. on the other hand, if the solvation forces are much stronger than the compound’s electrostatic. Sodium Hydroxide Not Dissolving.
From naturallysafe.com.au
Ingredient Spotlight Sodium Hydroxide it's caustic so why is it in Sodium Hydroxide Not Dissolving an example of a nonpolar compound could be something like oil. special care is required to prepare a solution of sodium hydroxide or naoh in water because considerable heat is liberated by the exothermic reaction. on the other hand, if the solvation forces are much stronger than the compound’s electrostatic forces, the dissolution is. learn how. Sodium Hydroxide Not Dissolving.
From www.chegg.com
Solved (1) Solid sodium hydroxide dissolves in water to form Sodium Hydroxide Not Dissolving learn how to dissolve sodium hydroxide in water and feel the warmth of an exothermic reaction. on the other hand, if the solvation forces are much stronger than the compound’s electrostatic forces, the dissolution is. special care is required to prepare a solution of sodium hydroxide or naoh in water because considerable heat is liberated by the. Sodium Hydroxide Not Dissolving.
From www.laboratorynotes.com
Preparation of 10 M Sodium Hydroxide (NaOH) Solution Laboratory Notes Sodium Hydroxide Not Dissolving special care is required to prepare a solution of sodium hydroxide or naoh in water because considerable heat is liberated by the exothermic reaction. Sodium hydroxide is an example of a strong. the dissolution of sodium hydroxide in water is an exothermic process, and so, according to le chatelier’s principle,. We know that water will not dissolve oil.. Sodium Hydroxide Not Dissolving.
From testbook.com
Sodium Hydroxide Definition, Preparation, Properties, and Uses Sodium Hydroxide Not Dissolving We know that water will not dissolve oil. special care is required to prepare a solution of sodium hydroxide or naoh in water because considerable heat is liberated by the exothermic reaction. learn how water dissolves ionic and molecular compounds, and why some compounds are insoluble in water. an example of a nonpolar compound could be something. Sodium Hydroxide Not Dissolving.
From www.slideshare.net
5 3 and 5 4 Sodium Hydroxide Not Dissolving learn how water dissolves ionic and molecular compounds, and why some compounds are insoluble in water. special care is required to prepare a solution of sodium hydroxide or naoh in water because considerable heat is liberated by the exothermic reaction. on the other hand, if the solvation forces are much stronger than the compound’s electrostatic forces, the. Sodium Hydroxide Not Dissolving.
From www.numerade.com
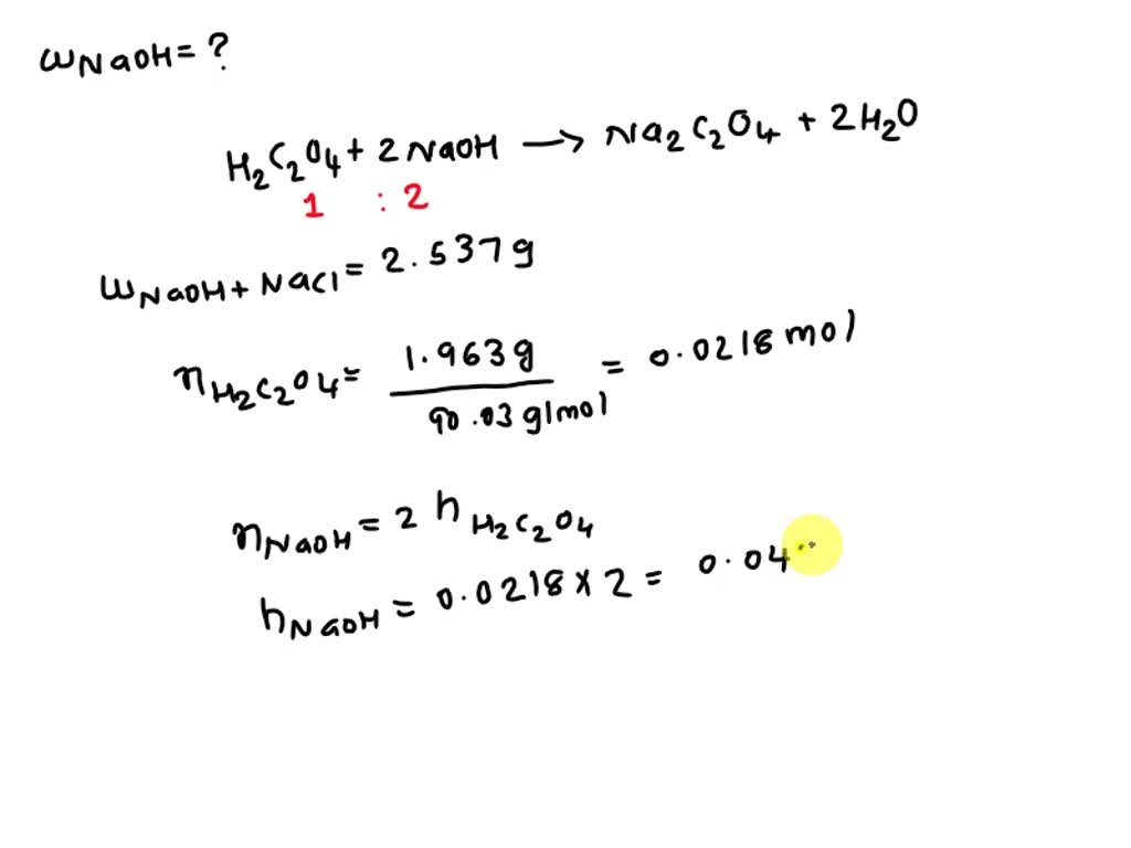
SOLVED Chem [020 Chapter 4 Stoichiometry A 2.537 g sample contains a Sodium Hydroxide Not Dissolving Sodium hydroxide is an example of a strong. on the other hand, if the solvation forces are much stronger than the compound’s electrostatic forces, the dissolution is. learn how water dissolves ionic and molecular compounds, and why some compounds are insoluble in water. an example of a nonpolar compound could be something like oil. special care. Sodium Hydroxide Not Dissolving.
From www.youtube.com
How to prepare and standardize 0.1 N Sodium Hydroxide(NaOH) Solution Sodium Hydroxide Not Dissolving on the other hand, if the solvation forces are much stronger than the compound’s electrostatic forces, the dissolution is. if i say one mole of sodium sulfate dissolves in water i am really meaning for every mole of sodium sulfate that dissolves, two moles of. learn how water dissolves ionic and molecular compounds, and why some compounds. Sodium Hydroxide Not Dissolving.
From www.youtube.com
How to Write the Net Ionic Equation for Acetic acid + Sodium hydroxide Sodium Hydroxide Not Dissolving Sodium hydroxide is an example of a strong. if i say one mole of sodium sulfate dissolves in water i am really meaning for every mole of sodium sulfate that dissolves, two moles of. an example of a nonpolar compound could be something like oil. Let's go back to this first idea of. learn how to dissolve. Sodium Hydroxide Not Dissolving.
From www.chegg.com
Solved Reaction 1 The dissolving of solid sodium hydroxide Sodium Hydroxide Not Dissolving an example of a nonpolar compound could be something like oil. We know that water will not dissolve oil. learn how to dissolve sodium hydroxide in water and feel the warmth of an exothermic reaction. the dissolution of sodium hydroxide in water is an exothermic process, and so, according to le chatelier’s principle,. Sodium hydroxide is an. Sodium Hydroxide Not Dissolving.