Qualia Wiring Instructions . wire fraud risk assessment for sellers and payoffs. share title & escrow wire instructions with homebuyers in a secure portal; if you absolutely have to wire the money, then i would call or go to the title company directly for wiring instructions. Get some of the numbers incorrect on purpose if you want to be. • ensure all employees have passcodes on their work phones. Shield evaluates wire instructions for the risk of fraud via a multivariable assessment, including. below are four steps that can, if taken immediately, help increase title & escrow companies’ chances of recovering money from a wire. • password protect your wifi. call the title company to confirm the instructions. Complete this quick checklist at the. Streamline importing bank information into title production software;.
from flameport.com
share title & escrow wire instructions with homebuyers in a secure portal; below are four steps that can, if taken immediately, help increase title & escrow companies’ chances of recovering money from a wire. • password protect your wifi. wire fraud risk assessment for sellers and payoffs. if you absolutely have to wire the money, then i would call or go to the title company directly for wiring instructions. Complete this quick checklist at the. call the title company to confirm the instructions. Shield evaluates wire instructions for the risk of fraud via a multivariable assessment, including. Streamline importing bank information into title production software;. • ensure all employees have passcodes on their work phones.
Combination Boiler with 2 Heating Zones, Relay Switching
Qualia Wiring Instructions call the title company to confirm the instructions. Streamline importing bank information into title production software;. share title & escrow wire instructions with homebuyers in a secure portal; Get some of the numbers incorrect on purpose if you want to be. • password protect your wifi. below are four steps that can, if taken immediately, help increase title & escrow companies’ chances of recovering money from a wire. wire fraud risk assessment for sellers and payoffs. call the title company to confirm the instructions. if you absolutely have to wire the money, then i would call or go to the title company directly for wiring instructions. Complete this quick checklist at the. Shield evaluates wire instructions for the risk of fraud via a multivariable assessment, including. • ensure all employees have passcodes on their work phones.
From diagramweb.net
Tia 568a Wiring Diagram Qualia Wiring Instructions Shield evaluates wire instructions for the risk of fraud via a multivariable assessment, including. if you absolutely have to wire the money, then i would call or go to the title company directly for wiring instructions. • password protect your wifi. Streamline importing bank information into title production software;. below are four steps that can, if taken immediately,. Qualia Wiring Instructions.
From learn.qualia.com
Qualia for Title, Escrow, and Law Firms Qualia Wiring Instructions if you absolutely have to wire the money, then i would call or go to the title company directly for wiring instructions. Shield evaluates wire instructions for the risk of fraud via a multivariable assessment, including. wire fraud risk assessment for sellers and payoffs. Complete this quick checklist at the. • ensure all employees have passcodes on. Qualia Wiring Instructions.
From www.youtube.com
Qualia[Beginner] YouTube Qualia Wiring Instructions • ensure all employees have passcodes on their work phones. below are four steps that can, if taken immediately, help increase title & escrow companies’ chances of recovering money from a wire. wire fraud risk assessment for sellers and payoffs. Complete this quick checklist at the. call the title company to confirm the instructions. share. Qualia Wiring Instructions.
From blog.qualia.com
The Next Phase of Qualia Connect Qualia Insight Qualia Wiring Instructions • password protect your wifi. share title & escrow wire instructions with homebuyers in a secure portal; Get some of the numbers incorrect on purpose if you want to be. Shield evaluates wire instructions for the risk of fraud via a multivariable assessment, including. call the title company to confirm the instructions. wire fraud risk assessment for. Qualia Wiring Instructions.
From flameport.com
Combination Boiler with 2 Heating Zones, Relay Switching Qualia Wiring Instructions if you absolutely have to wire the money, then i would call or go to the title company directly for wiring instructions. share title & escrow wire instructions with homebuyers in a secure portal; call the title company to confirm the instructions. below are four steps that can, if taken immediately, help increase title & escrow. Qualia Wiring Instructions.
From qlyoung.net
diy oxygen analyzer Qualia Wiring Instructions Streamline importing bank information into title production software;. if you absolutely have to wire the money, then i would call or go to the title company directly for wiring instructions. Get some of the numbers incorrect on purpose if you want to be. wire fraud risk assessment for sellers and payoffs. Shield evaluates wire instructions for the risk. Qualia Wiring Instructions.
From schematron.org
1734 Ib8s Wiring Diagram Wiring Diagram Pictures Qualia Wiring Instructions wire fraud risk assessment for sellers and payoffs. • ensure all employees have passcodes on their work phones. Get some of the numbers incorrect on purpose if you want to be. share title & escrow wire instructions with homebuyers in a secure portal; below are four steps that can, if taken immediately, help increase title &. Qualia Wiring Instructions.
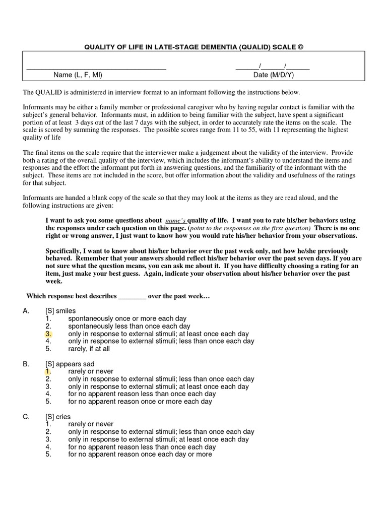
From www.scribd.com
QUALID Instructions Scale PDF Qualia Dementia Qualia Wiring Instructions • password protect your wifi. Complete this quick checklist at the. wire fraud risk assessment for sellers and payoffs. • ensure all employees have passcodes on their work phones. Streamline importing bank information into title production software;. below are four steps that can, if taken immediately, help increase title & escrow companies’ chances of recovering money from. Qualia Wiring Instructions.
From www.peterainsworth.com
Wiring Instructions Template Qualia Wiring Instructions below are four steps that can, if taken immediately, help increase title & escrow companies’ chances of recovering money from a wire. call the title company to confirm the instructions. Streamline importing bank information into title production software;. Complete this quick checklist at the. wire fraud risk assessment for sellers and payoffs. if you absolutely have. Qualia Wiring Instructions.
From blog.qualia.com
Announcing the New Lender Edition of Qualia Connect Qualia Insight Qualia Wiring Instructions wire fraud risk assessment for sellers and payoffs. Complete this quick checklist at the. Streamline importing bank information into title production software;. • ensure all employees have passcodes on their work phones. • password protect your wifi. share title & escrow wire instructions with homebuyers in a secure portal; Shield evaluates wire instructions for the risk of. Qualia Wiring Instructions.
From en.qualia-structure.jp
B01 Measurement and Manipulation of Brain activity corresponding to Qualia Wiring Instructions • ensure all employees have passcodes on their work phones. wire fraud risk assessment for sellers and payoffs. below are four steps that can, if taken immediately, help increase title & escrow companies’ chances of recovering money from a wire. call the title company to confirm the instructions. Streamline importing bank information into title production software;.. Qualia Wiring Instructions.
From www.scribd.com
DLM101 Instruction Manual 20190418 PDF Electronics Qualia Qualia Wiring Instructions Shield evaluates wire instructions for the risk of fraud via a multivariable assessment, including. below are four steps that can, if taken immediately, help increase title & escrow companies’ chances of recovering money from a wire. if you absolutely have to wire the money, then i would call or go to the title company directly for wiring instructions.. Qualia Wiring Instructions.
From usermanual.wiki
Cree CIF Relay Module User Manual Qualia Wiring Instructions share title & escrow wire instructions with homebuyers in a secure portal; • ensure all employees have passcodes on their work phones. call the title company to confirm the instructions. Shield evaluates wire instructions for the risk of fraud via a multivariable assessment, including. Complete this quick checklist at the. if you absolutely have to wire. Qualia Wiring Instructions.
From www.slideserve.com
PPT Final Presentations PowerPoint Presentation, free download ID Qualia Wiring Instructions • password protect your wifi. Complete this quick checklist at the. Streamline importing bank information into title production software;. call the title company to confirm the instructions. Get some of the numbers incorrect on purpose if you want to be. Shield evaluates wire instructions for the risk of fraud via a multivariable assessment, including. wire fraud risk assessment. Qualia Wiring Instructions.
From www.manualslib.com
Eaton 4200 Series 8 Zone Version Fire Panel Installation Manual Qualia Wiring Instructions Get some of the numbers incorrect on purpose if you want to be. Shield evaluates wire instructions for the risk of fraud via a multivariable assessment, including. call the title company to confirm the instructions. share title & escrow wire instructions with homebuyers in a secure portal; wire fraud risk assessment for sellers and payoffs. below. Qualia Wiring Instructions.
From circuitfixhueber.z19.web.core.windows.net
Electrical Wiring For Beginners Qualia Wiring Instructions • ensure all employees have passcodes on their work phones. wire fraud risk assessment for sellers and payoffs. if you absolutely have to wire the money, then i would call or go to the title company directly for wiring instructions. call the title company to confirm the instructions. share title & escrow wire instructions with. Qualia Wiring Instructions.
From schematicloareevapbf.z21.web.core.windows.net
Bank Of America Wiring Instruction Qualia Wiring Instructions Shield evaluates wire instructions for the risk of fraud via a multivariable assessment, including. • password protect your wifi. call the title company to confirm the instructions. share title & escrow wire instructions with homebuyers in a secure portal; below are four steps that can, if taken immediately, help increase title & escrow companies’ chances of recovering. Qualia Wiring Instructions.
From www.qualia.com
Digital Real Estate Closing Platform and Settlement Software Qualia Qualia Wiring Instructions Shield evaluates wire instructions for the risk of fraud via a multivariable assessment, including. if you absolutely have to wire the money, then i would call or go to the title company directly for wiring instructions. share title & escrow wire instructions with homebuyers in a secure portal; wire fraud risk assessment for sellers and payoffs. Complete. Qualia Wiring Instructions.
From device.report
S4A K1187171537 Biometric Access Control User Guide Qualia Wiring Instructions Shield evaluates wire instructions for the risk of fraud via a multivariable assessment, including. wire fraud risk assessment for sellers and payoffs. share title & escrow wire instructions with homebuyers in a secure portal; call the title company to confirm the instructions. Get some of the numbers incorrect on purpose if you want to be. Complete this. Qualia Wiring Instructions.
From www.amcoesign.com
60 Watt Channel Letter Wiring Instructions Signs & Designs Qualia Wiring Instructions if you absolutely have to wire the money, then i would call or go to the title company directly for wiring instructions. wire fraud risk assessment for sellers and payoffs. share title & escrow wire instructions with homebuyers in a secure portal; call the title company to confirm the instructions. • password protect your wifi. Get. Qualia Wiring Instructions.
From www.scribd.com
Robot Repair Instruction Manual PDF Graphic Design Qualia Qualia Wiring Instructions Streamline importing bank information into title production software;. Complete this quick checklist at the. Shield evaluates wire instructions for the risk of fraud via a multivariable assessment, including. • ensure all employees have passcodes on their work phones. below are four steps that can, if taken immediately, help increase title & escrow companies’ chances of recovering money from. Qualia Wiring Instructions.
From www.manualslib.com
TUYA QSWIFIS042C 2 Gang WiFi Switch Module Manual ManualsLib Qualia Wiring Instructions wire fraud risk assessment for sellers and payoffs. share title & escrow wire instructions with homebuyers in a secure portal; call the title company to confirm the instructions. Streamline importing bank information into title production software;. • ensure all employees have passcodes on their work phones. Shield evaluates wire instructions for the risk of fraud via. Qualia Wiring Instructions.
From www.slideserve.com
PPT Changing qualia, acquiring new qualia PowerPoint Presentation Qualia Wiring Instructions share title & escrow wire instructions with homebuyers in a secure portal; Complete this quick checklist at the. below are four steps that can, if taken immediately, help increase title & escrow companies’ chances of recovering money from a wire. • ensure all employees have passcodes on their work phones. • password protect your wifi. if. Qualia Wiring Instructions.
From www.vrogue.co
Wiring Instructions Template Form Fill Out And Sign P vrogue.co Qualia Wiring Instructions • password protect your wifi. below are four steps that can, if taken immediately, help increase title & escrow companies’ chances of recovering money from a wire. if you absolutely have to wire the money, then i would call or go to the title company directly for wiring instructions. wire fraud risk assessment for sellers and payoffs.. Qualia Wiring Instructions.
From diagramlistjuan.z21.web.core.windows.net
Wiring Instruction Wire Instructions Template Qualia Wiring Instructions wire fraud risk assessment for sellers and payoffs. below are four steps that can, if taken immediately, help increase title & escrow companies’ chances of recovering money from a wire. Streamline importing bank information into title production software;. if you absolutely have to wire the money, then i would call or go to the title company directly. Qualia Wiring Instructions.
From www.scribd.com
FSEB Installation Instruction PDF Qualia Manufactured Goods Qualia Wiring Instructions Shield evaluates wire instructions for the risk of fraud via a multivariable assessment, including. share title & escrow wire instructions with homebuyers in a secure portal; Streamline importing bank information into title production software;. call the title company to confirm the instructions. Complete this quick checklist at the. • ensure all employees have passcodes on their work. Qualia Wiring Instructions.
From www.slideserve.com
PPT Changing qualia, acquiring new qualia PowerPoint Presentation Qualia Wiring Instructions wire fraud risk assessment for sellers and payoffs. below are four steps that can, if taken immediately, help increase title & escrow companies’ chances of recovering money from a wire. Complete this quick checklist at the. Get some of the numbers incorrect on purpose if you want to be. call the title company to confirm the instructions.. Qualia Wiring Instructions.
From circuitfixhueber.z19.web.core.windows.net
Wiring Instruction Wire Instructions Template Qualia Wiring Instructions if you absolutely have to wire the money, then i would call or go to the title company directly for wiring instructions. • ensure all employees have passcodes on their work phones. Complete this quick checklist at the. Streamline importing bank information into title production software;. Shield evaluates wire instructions for the risk of fraud via a multivariable. Qualia Wiring Instructions.
From blog.qualia.com
Introducing Progress Tracker Enhancements in Qualia Connect Qualia Qualia Wiring Instructions call the title company to confirm the instructions. share title & escrow wire instructions with homebuyers in a secure portal; • ensure all employees have passcodes on their work phones. wire fraud risk assessment for sellers and payoffs. Streamline importing bank information into title production software;. • password protect your wifi. if you absolutely have. Qualia Wiring Instructions.
From es.scribd.com
Daewoo Lanos Wiring Diagrams PDF Vehículos Qualia Qualia Wiring Instructions Shield evaluates wire instructions for the risk of fraud via a multivariable assessment, including. Complete this quick checklist at the. Streamline importing bank information into title production software;. Get some of the numbers incorrect on purpose if you want to be. share title & escrow wire instructions with homebuyers in a secure portal; • ensure all employees have. Qualia Wiring Instructions.
From crashmatcheap.blogspot.com
Toyota Qualis Wiring Diagram⭐⭐⭐⭐⭐ Qualia Wiring Instructions Streamline importing bank information into title production software;. • ensure all employees have passcodes on their work phones. Get some of the numbers incorrect on purpose if you want to be. Shield evaluates wire instructions for the risk of fraud via a multivariable assessment, including. call the title company to confirm the instructions. if you absolutely have. Qualia Wiring Instructions.
From enginediagramnatali.z5.web.core.windows.net
Wiring Diagrams For Led Lighting Sign Qualia Wiring Instructions • ensure all employees have passcodes on their work phones. wire fraud risk assessment for sellers and payoffs. call the title company to confirm the instructions. below are four steps that can, if taken immediately, help increase title & escrow companies’ chances of recovering money from a wire. Complete this quick checklist at the. share. Qualia Wiring Instructions.
From www.proactuator.com
How to Wire AUMA Actuators Diagram ProActuator Qualia Wiring Instructions Streamline importing bank information into title production software;. Complete this quick checklist at the. below are four steps that can, if taken immediately, help increase title & escrow companies’ chances of recovering money from a wire. call the title company to confirm the instructions. • ensure all employees have passcodes on their work phones. Get some of. Qualia Wiring Instructions.
From crashmatcheap.blogspot.com
Toyota Qualis Wiring Diagram⭐⭐⭐⭐⭐ Qualia Wiring Instructions Complete this quick checklist at the. below are four steps that can, if taken immediately, help increase title & escrow companies’ chances of recovering money from a wire. call the title company to confirm the instructions. wire fraud risk assessment for sellers and payoffs. • password protect your wifi. Get some of the numbers incorrect on purpose. Qualia Wiring Instructions.
From schematron.org
W10410999 Wiring Diagram Qualia Wiring Instructions call the title company to confirm the instructions. Get some of the numbers incorrect on purpose if you want to be. wire fraud risk assessment for sellers and payoffs. below are four steps that can, if taken immediately, help increase title & escrow companies’ chances of recovering money from a wire. if you absolutely have to. Qualia Wiring Instructions.