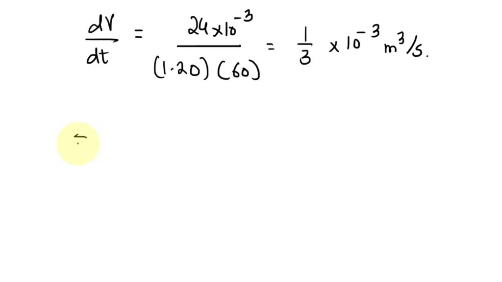
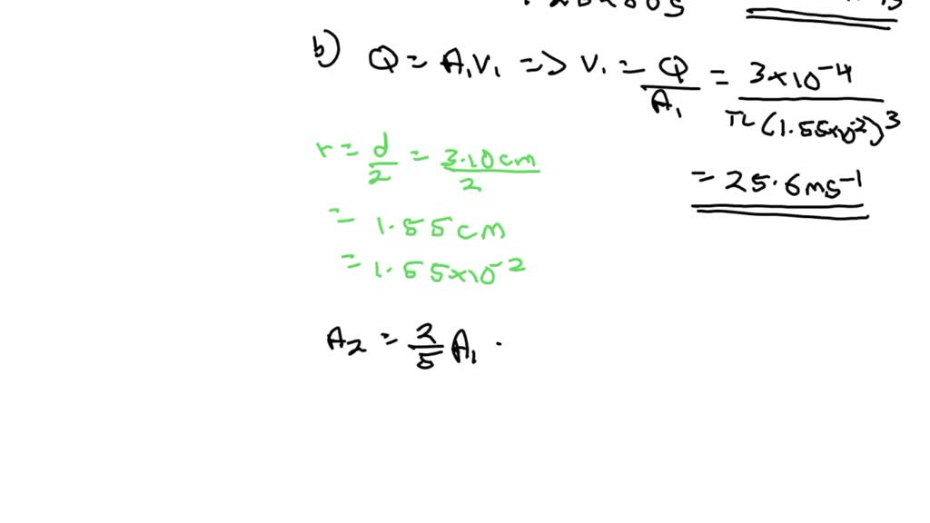
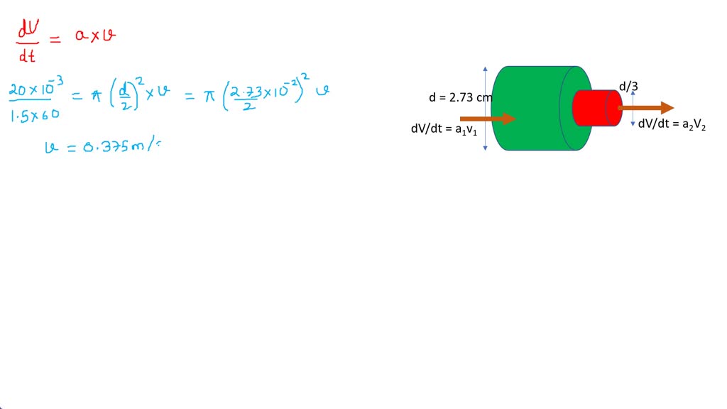
Water Flowing Through A Garden Hose Of Diameter . the amount of water that flows through a garden hose per minute depends on its diameter. the flow rate of water through a garden hose is measured in gallons per minute (gpm). (a) what is the speed. A nozzle is attached to the. calculate the amount of water that flows from a garden hose. Water flowing through a garden hose of diameter 2.75 cm fills a 24.0 l bucket in 1.50 min. The most common diameter for. The flow rate can vary depending on a few factors, including the diameter of the hose, the pressure of the water source, and any obstructions in the hose. Calculation from available pressure, hose diameter and the. A nozzle is now attached to the end.
from www.istockphoto.com
Calculation from available pressure, hose diameter and the. The most common diameter for. (a) what is the speed. A nozzle is attached to the. the amount of water that flows through a garden hose per minute depends on its diameter. A nozzle is now attached to the end. The flow rate can vary depending on a few factors, including the diameter of the hose, the pressure of the water source, and any obstructions in the hose. the flow rate of water through a garden hose is measured in gallons per minute (gpm). calculate the amount of water that flows from a garden hose. Water flowing through a garden hose of diameter 2.75 cm fills a 24.0 l bucket in 1.50 min.
Garden Hose With Flowing Water Stock Photo Download Image Now
Water Flowing Through A Garden Hose Of Diameter Calculation from available pressure, hose diameter and the. calculate the amount of water that flows from a garden hose. The most common diameter for. Water flowing through a garden hose of diameter 2.75 cm fills a 24.0 l bucket in 1.50 min. the flow rate of water through a garden hose is measured in gallons per minute (gpm). A nozzle is attached to the. the amount of water that flows through a garden hose per minute depends on its diameter. The flow rate can vary depending on a few factors, including the diameter of the hose, the pressure of the water source, and any obstructions in the hose. A nozzle is now attached to the end. Calculation from available pressure, hose diameter and the. (a) what is the speed.
From www.numerade.com
SOLVED Water flowing through a garden hose of diameter 2.73 cm fills a Water Flowing Through A Garden Hose Of Diameter A nozzle is now attached to the end. Calculation from available pressure, hose diameter and the. The flow rate can vary depending on a few factors, including the diameter of the hose, the pressure of the water source, and any obstructions in the hose. Water flowing through a garden hose of diameter 2.75 cm fills a 24.0 l bucket in. Water Flowing Through A Garden Hose Of Diameter.
From www.gardeningstuffs.com
How Is A Garden Hose Diameter Measured? A Quick Guide Water Flowing Through A Garden Hose Of Diameter The most common diameter for. the amount of water that flows through a garden hose per minute depends on its diameter. A nozzle is now attached to the end. the flow rate of water through a garden hose is measured in gallons per minute (gpm). calculate the amount of water that flows from a garden hose. A. Water Flowing Through A Garden Hose Of Diameter.
From www.dreamstime.com
Water Flowing from Water Hose Stock Image Image of flowing, garden Water Flowing Through A Garden Hose Of Diameter the flow rate of water through a garden hose is measured in gallons per minute (gpm). (a) what is the speed. A nozzle is now attached to the end. the amount of water that flows through a garden hose per minute depends on its diameter. The most common diameter for. Calculation from available pressure, hose diameter and the.. Water Flowing Through A Garden Hose Of Diameter.
From www.chegg.com
Solved Water flowing through a garden hose of diameter 2.80 Water Flowing Through A Garden Hose Of Diameter calculate the amount of water that flows from a garden hose. Calculation from available pressure, hose diameter and the. the amount of water that flows through a garden hose per minute depends on its diameter. The most common diameter for. The flow rate can vary depending on a few factors, including the diameter of the hose, the pressure. Water Flowing Through A Garden Hose Of Diameter.
From www.youtube.com
Fluid Mechanics Water Flows through a Horizontal 180 Degree Pipe Bend Water Flowing Through A Garden Hose Of Diameter The most common diameter for. The flow rate can vary depending on a few factors, including the diameter of the hose, the pressure of the water source, and any obstructions in the hose. the flow rate of water through a garden hose is measured in gallons per minute (gpm). A nozzle is attached to the. A nozzle is now. Water Flowing Through A Garden Hose Of Diameter.
From www.istockphoto.com
Garden Hose With Flowing Water Stock Photo Download Image Now Water Flowing Through A Garden Hose Of Diameter A nozzle is now attached to the end. calculate the amount of water that flows from a garden hose. The most common diameter for. the amount of water that flows through a garden hose per minute depends on its diameter. Water flowing through a garden hose of diameter 2.75 cm fills a 24.0 l bucket in 1.50 min.. Water Flowing Through A Garden Hose Of Diameter.
From gardenerspath.com
7 Best Garden Hoses for 2022 A Gardener's Path Buying Guide Water Flowing Through A Garden Hose Of Diameter A nozzle is now attached to the end. (a) what is the speed. Calculation from available pressure, hose diameter and the. the amount of water that flows through a garden hose per minute depends on its diameter. Water flowing through a garden hose of diameter 2.75 cm fills a 24.0 l bucket in 1.50 min. The most common diameter. Water Flowing Through A Garden Hose Of Diameter.
From dxolkphsc.blob.core.windows.net
Watering Garden Every Day at Reba Hess blog Water Flowing Through A Garden Hose Of Diameter Calculation from available pressure, hose diameter and the. the flow rate of water through a garden hose is measured in gallons per minute (gpm). (a) what is the speed. calculate the amount of water that flows from a garden hose. A nozzle is now attached to the end. The flow rate can vary depending on a few factors,. Water Flowing Through A Garden Hose Of Diameter.
From brainly.in
Water is being pumped out through a circular pipe whose internal Water Flowing Through A Garden Hose Of Diameter the flow rate of water through a garden hose is measured in gallons per minute (gpm). (a) what is the speed. The most common diameter for. Calculation from available pressure, hose diameter and the. Water flowing through a garden hose of diameter 2.75 cm fills a 24.0 l bucket in 1.50 min. A nozzle is now attached to the. Water Flowing Through A Garden Hose Of Diameter.
From www.fascinatewithzea.com
Calculate Flow Rate Of Garden Hose Fasci Garden Water Flowing Through A Garden Hose Of Diameter The most common diameter for. the flow rate of water through a garden hose is measured in gallons per minute (gpm). Water flowing through a garden hose of diameter 2.75 cm fills a 24.0 l bucket in 1.50 min. The flow rate can vary depending on a few factors, including the diameter of the hose, the pressure of the. Water Flowing Through A Garden Hose Of Diameter.
From www.chegg.com
Solved Water flowing through a garden hose of diameter 2.72 Water Flowing Through A Garden Hose Of Diameter Water flowing through a garden hose of diameter 2.75 cm fills a 24.0 l bucket in 1.50 min. A nozzle is now attached to the end. Calculation from available pressure, hose diameter and the. the amount of water that flows through a garden hose per minute depends on its diameter. (a) what is the speed. The most common diameter. Water Flowing Through A Garden Hose Of Diameter.
From www.numerade.com
Water flows with a speed of 3.50 m/s through a garden hose with a Water Flowing Through A Garden Hose Of Diameter A nozzle is attached to the. the amount of water that flows through a garden hose per minute depends on its diameter. A nozzle is now attached to the end. (a) what is the speed. calculate the amount of water that flows from a garden hose. Calculation from available pressure, hose diameter and the. Water flowing through a. Water Flowing Through A Garden Hose Of Diameter.
From www.chegg.com
Solved Water flowing through a garden hose of diameter 2.84 Water Flowing Through A Garden Hose Of Diameter Calculation from available pressure, hose diameter and the. (a) what is the speed. calculate the amount of water that flows from a garden hose. The flow rate can vary depending on a few factors, including the diameter of the hose, the pressure of the water source, and any obstructions in the hose. the flow rate of water through. Water Flowing Through A Garden Hose Of Diameter.
From gardenhosezone.com
Typical Garden Hose Flow Rate A Guide To Finding The Right Garden Water Flowing Through A Garden Hose Of Diameter the flow rate of water through a garden hose is measured in gallons per minute (gpm). the amount of water that flows through a garden hose per minute depends on its diameter. The most common diameter for. Calculation from available pressure, hose diameter and the. calculate the amount of water that flows from a garden hose. A. Water Flowing Through A Garden Hose Of Diameter.
From informacionpublica.svet.gob.gt
Domestic Water Piping Design Guide, How To Size And Select Water Flowing Through A Garden Hose Of Diameter The most common diameter for. A nozzle is attached to the. calculate the amount of water that flows from a garden hose. (a) what is the speed. The flow rate can vary depending on a few factors, including the diameter of the hose, the pressure of the water source, and any obstructions in the hose. Water flowing through a. Water Flowing Through A Garden Hose Of Diameter.
From www.gardeningstuffs.com
How Is A Garden Hose Diameter Measured? A Quick Guide Water Flowing Through A Garden Hose Of Diameter the amount of water that flows through a garden hose per minute depends on its diameter. the flow rate of water through a garden hose is measured in gallons per minute (gpm). Calculation from available pressure, hose diameter and the. A nozzle is attached to the. A nozzle is now attached to the end. The flow rate can. Water Flowing Through A Garden Hose Of Diameter.
From inspectapedia.com
Water Flow Rate Calculation & Measurement Procedures Shelly Weinberg Water Flowing Through A Garden Hose Of Diameter the amount of water that flows through a garden hose per minute depends on its diameter. Calculation from available pressure, hose diameter and the. calculate the amount of water that flows from a garden hose. The most common diameter for. The flow rate can vary depending on a few factors, including the diameter of the hose, the pressure. Water Flowing Through A Garden Hose Of Diameter.
From www.numerade.com
SOLVED a) If it takes 1.85 min to fill a 23.0 L bucket with water Water Flowing Through A Garden Hose Of Diameter The flow rate can vary depending on a few factors, including the diameter of the hose, the pressure of the water source, and any obstructions in the hose. Calculation from available pressure, hose diameter and the. A nozzle is attached to the. (a) what is the speed. calculate the amount of water that flows from a garden hose. The. Water Flowing Through A Garden Hose Of Diameter.
From gardenhosezone.com
How Many GPM is a Garden Hose? A Water Flow Measuring Guide For Home Water Flowing Through A Garden Hose Of Diameter (a) what is the speed. A nozzle is attached to the. The most common diameter for. calculate the amount of water that flows from a garden hose. the amount of water that flows through a garden hose per minute depends on its diameter. A nozzle is now attached to the end. Water flowing through a garden hose of. Water Flowing Through A Garden Hose Of Diameter.
From www.numerade.com
SOLVED (a) If it takes 1.25 min to fill a 22.5 L bucket with water Water Flowing Through A Garden Hose Of Diameter Water flowing through a garden hose of diameter 2.75 cm fills a 24.0 l bucket in 1.50 min. Calculation from available pressure, hose diameter and the. A nozzle is now attached to the end. (a) what is the speed. The most common diameter for. the flow rate of water through a garden hose is measured in gallons per minute. Water Flowing Through A Garden Hose Of Diameter.
From www.numerade.com
SOLVED Water flowing through a garden hose of diameter 2.74 cm fills a Water Flowing Through A Garden Hose Of Diameter Calculation from available pressure, hose diameter and the. calculate the amount of water that flows from a garden hose. the amount of water that flows through a garden hose per minute depends on its diameter. A nozzle is attached to the. the flow rate of water through a garden hose is measured in gallons per minute (gpm).. Water Flowing Through A Garden Hose Of Diameter.
From dxoftbbwm.blob.core.windows.net
Why Outside Water Faucet Not Working at Ronald Thomas blog Water Flowing Through A Garden Hose Of Diameter calculate the amount of water that flows from a garden hose. (a) what is the speed. Calculation from available pressure, hose diameter and the. A nozzle is attached to the. the flow rate of water through a garden hose is measured in gallons per minute (gpm). the amount of water that flows through a garden hose per. Water Flowing Through A Garden Hose Of Diameter.
From www.numerade.com
SOLVED Water (ρ=1000 kg/m3 ) is flowing through a garden hose of Water Flowing Through A Garden Hose Of Diameter Water flowing through a garden hose of diameter 2.75 cm fills a 24.0 l bucket in 1.50 min. the flow rate of water through a garden hose is measured in gallons per minute (gpm). A nozzle is now attached to the end. (a) what is the speed. The flow rate can vary depending on a few factors, including the. Water Flowing Through A Garden Hose Of Diameter.
From waterfm.com
Survey Private Sector Should Play Central Role in Water Delivery Water Flowing Through A Garden Hose Of Diameter calculate the amount of water that flows from a garden hose. A nozzle is now attached to the end. The most common diameter for. The flow rate can vary depending on a few factors, including the diameter of the hose, the pressure of the water source, and any obstructions in the hose. Water flowing through a garden hose of. Water Flowing Through A Garden Hose Of Diameter.
From dxousrksi.blob.core.windows.net
Sprinkler System Flow Rate Calculation at David McCue blog Water Flowing Through A Garden Hose Of Diameter A nozzle is now attached to the end. the flow rate of water through a garden hose is measured in gallons per minute (gpm). Calculation from available pressure, hose diameter and the. The flow rate can vary depending on a few factors, including the diameter of the hose, the pressure of the water source, and any obstructions in the. Water Flowing Through A Garden Hose Of Diameter.
From www.toppr.com
Water flowing through a garden hose of diameter 2.74 cm fills a 25L Water Flowing Through A Garden Hose Of Diameter the flow rate of water through a garden hose is measured in gallons per minute (gpm). calculate the amount of water that flows from a garden hose. A nozzle is attached to the. Calculation from available pressure, hose diameter and the. Water flowing through a garden hose of diameter 2.75 cm fills a 24.0 l bucket in 1.50. Water Flowing Through A Garden Hose Of Diameter.
From www.chegg.com
Solved Water flowing through a garden hose of diameter 2.77 Water Flowing Through A Garden Hose Of Diameter calculate the amount of water that flows from a garden hose. (a) what is the speed. Calculation from available pressure, hose diameter and the. the amount of water that flows through a garden hose per minute depends on its diameter. A nozzle is attached to the. The flow rate can vary depending on a few factors, including the. Water Flowing Through A Garden Hose Of Diameter.
From lulu452.blogspot.com
A Garden Hose Having An Internal Diameter Of Black Vinyl Tubing 3/4 Water Flowing Through A Garden Hose Of Diameter A nozzle is attached to the. (a) what is the speed. the amount of water that flows through a garden hose per minute depends on its diameter. Water flowing through a garden hose of diameter 2.75 cm fills a 24.0 l bucket in 1.50 min. calculate the amount of water that flows from a garden hose. The flow. Water Flowing Through A Garden Hose Of Diameter.
From www.gardenguides.com
How to Calculate Water Flow in a Hose by Using Pressure Garden Guides Water Flowing Through A Garden Hose Of Diameter Calculation from available pressure, hose diameter and the. Water flowing through a garden hose of diameter 2.75 cm fills a 24.0 l bucket in 1.50 min. A nozzle is attached to the. A nozzle is now attached to the end. (a) what is the speed. the amount of water that flows through a garden hose per minute depends on. Water Flowing Through A Garden Hose Of Diameter.
From gardenhosezone.com
How To Measure A Garden Hose Diameter A Guide to Understanding Hose Water Flowing Through A Garden Hose Of Diameter Calculation from available pressure, hose diameter and the. A nozzle is now attached to the end. calculate the amount of water that flows from a garden hose. Water flowing through a garden hose of diameter 2.75 cm fills a 24.0 l bucket in 1.50 min. the flow rate of water through a garden hose is measured in gallons. Water Flowing Through A Garden Hose Of Diameter.
From dekaran.blogspot.com
A Garden Hose Having An Internal Diameter Of / How To Measure The Water Flowing Through A Garden Hose Of Diameter the amount of water that flows through a garden hose per minute depends on its diameter. Calculation from available pressure, hose diameter and the. (a) what is the speed. The most common diameter for. the flow rate of water through a garden hose is measured in gallons per minute (gpm). The flow rate can vary depending on a. Water Flowing Through A Garden Hose Of Diameter.
From www.slideshare.net
Water flow pipe sizes Water Flowing Through A Garden Hose Of Diameter A nozzle is now attached to the end. Water flowing through a garden hose of diameter 2.75 cm fills a 24.0 l bucket in 1.50 min. The flow rate can vary depending on a few factors, including the diameter of the hose, the pressure of the water source, and any obstructions in the hose. (a) what is the speed. . Water Flowing Through A Garden Hose Of Diameter.
From www.numerade.com
SOLVED Water flowing through a garden hose of diameter 2.75 cm fills a Water Flowing Through A Garden Hose Of Diameter the flow rate of water through a garden hose is measured in gallons per minute (gpm). Calculation from available pressure, hose diameter and the. Water flowing through a garden hose of diameter 2.75 cm fills a 24.0 l bucket in 1.50 min. The most common diameter for. (a) what is the speed. calculate the amount of water that. Water Flowing Through A Garden Hose Of Diameter.
From www.dreamstime.com
Water Flows From The Garden Hose. Stock Photo Image of ecology Water Flowing Through A Garden Hose Of Diameter The most common diameter for. A nozzle is attached to the. The flow rate can vary depending on a few factors, including the diameter of the hose, the pressure of the water source, and any obstructions in the hose. Water flowing through a garden hose of diameter 2.75 cm fills a 24.0 l bucket in 1.50 min. A nozzle is. Water Flowing Through A Garden Hose Of Diameter.
From www.chegg.com
Solved water is flowing through a 10 cm diameter water pipe Water Flowing Through A Garden Hose Of Diameter the amount of water that flows through a garden hose per minute depends on its diameter. (a) what is the speed. A nozzle is attached to the. A nozzle is now attached to the end. calculate the amount of water that flows from a garden hose. Calculation from available pressure, hose diameter and the. The most common diameter. Water Flowing Through A Garden Hose Of Diameter.