Bowling Ball Collides With Pin . the mechanical energy of a bowling ball gives the ball the ability to apply a force to a bowling pin in order to cause it. The pin flies forward with a speed of 3.3 m/s. in this article, we’ll explore the mechanics at play when a bowling ball collides with pins, and how principles of. bowling pins are sent flying and spinning when hit by a bowling ball—angular momentum as well as linear momentum. the physics of bowling a strike dictates that to maximize the even distribution of force, the headpin should be.
from www.numerade.com
the physics of bowling a strike dictates that to maximize the even distribution of force, the headpin should be. The pin flies forward with a speed of 3.3 m/s. in this article, we’ll explore the mechanics at play when a bowling ball collides with pins, and how principles of. the mechanical energy of a bowling ball gives the ball the ability to apply a force to a bowling pin in order to cause it. bowling pins are sent flying and spinning when hit by a bowling ball—angular momentum as well as linear momentum.
SOLVED A 7 kg bowling ball collides headon with a 2 kg bowling pin
Bowling Ball Collides With Pin The pin flies forward with a speed of 3.3 m/s. in this article, we’ll explore the mechanics at play when a bowling ball collides with pins, and how principles of. The pin flies forward with a speed of 3.3 m/s. the physics of bowling a strike dictates that to maximize the even distribution of force, the headpin should be. bowling pins are sent flying and spinning when hit by a bowling ball—angular momentum as well as linear momentum. the mechanical energy of a bowling ball gives the ball the ability to apply a force to a bowling pin in order to cause it.
From www.youtube.com
How To Bowl Basics of 5 pin Bowling YouTube Bowling Ball Collides With Pin The pin flies forward with a speed of 3.3 m/s. in this article, we’ll explore the mechanics at play when a bowling ball collides with pins, and how principles of. the mechanical energy of a bowling ball gives the ball the ability to apply a force to a bowling pin in order to cause it. the physics. Bowling Ball Collides With Pin.
From www.chegg.com
Solved A 5.50kg bowling ball moving at 9.00 m/s collides Bowling Ball Collides With Pin the physics of bowling a strike dictates that to maximize the even distribution of force, the headpin should be. The pin flies forward with a speed of 3.3 m/s. bowling pins are sent flying and spinning when hit by a bowling ball—angular momentum as well as linear momentum. the mechanical energy of a bowling ball gives the. Bowling Ball Collides With Pin.
From www.haikudeck.com
Bowling by A L Bowling Ball Collides With Pin bowling pins are sent flying and spinning when hit by a bowling ball—angular momentum as well as linear momentum. in this article, we’ll explore the mechanics at play when a bowling ball collides with pins, and how principles of. the physics of bowling a strike dictates that to maximize the even distribution of force, the headpin should. Bowling Ball Collides With Pin.
From www.numerade.com
SOLVEDA 7.00kg bowling ball collides headon with a 2.00kg bowling Bowling Ball Collides With Pin The pin flies forward with a speed of 3.3 m/s. bowling pins are sent flying and spinning when hit by a bowling ball—angular momentum as well as linear momentum. in this article, we’ll explore the mechanics at play when a bowling ball collides with pins, and how principles of. the mechanical energy of a bowling ball gives. Bowling Ball Collides With Pin.
From www.numerade.com
SOLVEDA 5.50 kg bowling ball moving at 9.00 m / s collides with a 0. Bowling Ball Collides With Pin The pin flies forward with a speed of 3.3 m/s. bowling pins are sent flying and spinning when hit by a bowling ball—angular momentum as well as linear momentum. the mechanical energy of a bowling ball gives the ball the ability to apply a force to a bowling pin in order to cause it. in this article,. Bowling Ball Collides With Pin.
From www.youtube.com
How to Layout a Bowling Ball Dual Angle Layout System YouTube Bowling Ball Collides With Pin bowling pins are sent flying and spinning when hit by a bowling ball—angular momentum as well as linear momentum. The pin flies forward with a speed of 3.3 m/s. the physics of bowling a strike dictates that to maximize the even distribution of force, the headpin should be. in this article, we’ll explore the mechanics at play. Bowling Ball Collides With Pin.
From www.chegg.com
Solved A 6.25kg bowling ball moving at 9.4 m/s collides Bowling Ball Collides With Pin the mechanical energy of a bowling ball gives the ball the ability to apply a force to a bowling pin in order to cause it. The pin flies forward with a speed of 3.3 m/s. the physics of bowling a strike dictates that to maximize the even distribution of force, the headpin should be. bowling pins are. Bowling Ball Collides With Pin.
From www.solutionspile.com
[Solved] (50 ) Problem 1 A 7.5kg bowling ball moving at Bowling Ball Collides With Pin bowling pins are sent flying and spinning when hit by a bowling ball—angular momentum as well as linear momentum. the mechanical energy of a bowling ball gives the ball the ability to apply a force to a bowling pin in order to cause it. the physics of bowling a strike dictates that to maximize the even distribution. Bowling Ball Collides With Pin.
From www.haikudeck.com
Bowling by A L Bowling Ball Collides With Pin The pin flies forward with a speed of 3.3 m/s. the physics of bowling a strike dictates that to maximize the even distribution of force, the headpin should be. the mechanical energy of a bowling ball gives the ball the ability to apply a force to a bowling pin in order to cause it. bowling pins are. Bowling Ball Collides With Pin.
From www.youtube.com
Understanding You as a Bowler Bowling Ball P.A.P. YouTube Bowling Ball Collides With Pin the mechanical energy of a bowling ball gives the ball the ability to apply a force to a bowling pin in order to cause it. in this article, we’ll explore the mechanics at play when a bowling ball collides with pins, and how principles of. the physics of bowling a strike dictates that to maximize the even. Bowling Ball Collides With Pin.
From www.slideserve.com
PPT Mid Year Review PowerPoint Presentation, free download ID4828732 Bowling Ball Collides With Pin in this article, we’ll explore the mechanics at play when a bowling ball collides with pins, and how principles of. the mechanical energy of a bowling ball gives the ball the ability to apply a force to a bowling pin in order to cause it. the physics of bowling a strike dictates that to maximize the even. Bowling Ball Collides With Pin.
From www.numerade.com
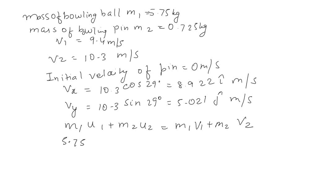
SOLVED A 5.75kg bowling ball moving at 9.4 m/s collides with a 0.725 Bowling Ball Collides With Pin the mechanical energy of a bowling ball gives the ball the ability to apply a force to a bowling pin in order to cause it. The pin flies forward with a speed of 3.3 m/s. in this article, we’ll explore the mechanics at play when a bowling ball collides with pins, and how principles of. bowling pins. Bowling Ball Collides With Pin.
From www.numerade.com
SOLVED A 5.50kg bowling ball moving at 9.00 m/s collides with a 0.850 Bowling Ball Collides With Pin the physics of bowling a strike dictates that to maximize the even distribution of force, the headpin should be. the mechanical energy of a bowling ball gives the ball the ability to apply a force to a bowling pin in order to cause it. in this article, we’ll explore the mechanics at play when a bowling ball. Bowling Ball Collides With Pin.
From www.numerade.com
SOLVED A 7 kg bowling ball collides headon with a 2 kg bowling pin Bowling Ball Collides With Pin in this article, we’ll explore the mechanics at play when a bowling ball collides with pins, and how principles of. The pin flies forward with a speed of 3.3 m/s. the mechanical energy of a bowling ball gives the ball the ability to apply a force to a bowling pin in order to cause it. the physics. Bowling Ball Collides With Pin.
From windsoressex.cmha.ca
Bowl for a Cause CMHA WindsorEssex County Bowling Ball Collides With Pin bowling pins are sent flying and spinning when hit by a bowling ball—angular momentum as well as linear momentum. in this article, we’ll explore the mechanics at play when a bowling ball collides with pins, and how principles of. The pin flies forward with a speed of 3.3 m/s. the mechanical energy of a bowling ball gives. Bowling Ball Collides With Pin.
From www.numerade.com
SOLVED A 7.20kg bowling ball moving at 9.30 m/s in the +xaxis Bowling Ball Collides With Pin the physics of bowling a strike dictates that to maximize the even distribution of force, the headpin should be. The pin flies forward with a speed of 3.3 m/s. in this article, we’ll explore the mechanics at play when a bowling ball collides with pins, and how principles of. bowling pins are sent flying and spinning when. Bowling Ball Collides With Pin.
From collegephysicsanswers.com
OpenStax College Physics, Chapter 8, Problem 48 (Problems & Exercises) Bowling Ball Collides With Pin bowling pins are sent flying and spinning when hit by a bowling ball—angular momentum as well as linear momentum. the mechanical energy of a bowling ball gives the ball the ability to apply a force to a bowling pin in order to cause it. the physics of bowling a strike dictates that to maximize the even distribution. Bowling Ball Collides With Pin.
From www.dreamstime.com
Striking in the alley stock illustration. Illustration of render Bowling Ball Collides With Pin the physics of bowling a strike dictates that to maximize the even distribution of force, the headpin should be. bowling pins are sent flying and spinning when hit by a bowling ball—angular momentum as well as linear momentum. the mechanical energy of a bowling ball gives the ball the ability to apply a force to a bowling. Bowling Ball Collides With Pin.
From www.numerade.com
SOLVED 9.00 kg bowling ball moving at 4.10 m/s East hits 0.850 kg Bowling Ball Collides With Pin the physics of bowling a strike dictates that to maximize the even distribution of force, the headpin should be. bowling pins are sent flying and spinning when hit by a bowling ball—angular momentum as well as linear momentum. the mechanical energy of a bowling ball gives the ball the ability to apply a force to a bowling. Bowling Ball Collides With Pin.
From brainly.com
A bowling ball collides with a pin and pushes the pin toward the right Bowling Ball Collides With Pin The pin flies forward with a speed of 3.3 m/s. the physics of bowling a strike dictates that to maximize the even distribution of force, the headpin should be. bowling pins are sent flying and spinning when hit by a bowling ball—angular momentum as well as linear momentum. the mechanical energy of a bowling ball gives the. Bowling Ball Collides With Pin.
From www.gauthmath.com
Solved A bowling ball collides with a pin and pushes the pin toward Bowling Ball Collides With Pin bowling pins are sent flying and spinning when hit by a bowling ball—angular momentum as well as linear momentum. the mechanical energy of a bowling ball gives the ball the ability to apply a force to a bowling pin in order to cause it. in this article, we’ll explore the mechanics at play when a bowling ball. Bowling Ball Collides With Pin.
From www.haikudeck.com
Bowling by A L Bowling Ball Collides With Pin the mechanical energy of a bowling ball gives the ball the ability to apply a force to a bowling pin in order to cause it. the physics of bowling a strike dictates that to maximize the even distribution of force, the headpin should be. The pin flies forward with a speed of 3.3 m/s. bowling pins are. Bowling Ball Collides With Pin.
From brainly.com
A 5.50kg bowling ball moving at 9.00 m/s collides with a 0.850kg Bowling Ball Collides With Pin bowling pins are sent flying and spinning when hit by a bowling ball—angular momentum as well as linear momentum. The pin flies forward with a speed of 3.3 m/s. the mechanical energy of a bowling ball gives the ball the ability to apply a force to a bowling pin in order to cause it. in this article,. Bowling Ball Collides With Pin.
From www.chegg.com
Solved A 5.5kg bowling ball moving at 9.55 m/s collides Bowling Ball Collides With Pin the physics of bowling a strike dictates that to maximize the even distribution of force, the headpin should be. The pin flies forward with a speed of 3.3 m/s. in this article, we’ll explore the mechanics at play when a bowling ball collides with pins, and how principles of. the mechanical energy of a bowling ball gives. Bowling Ball Collides With Pin.
From www.youtube.com
Bowling 101 Understanding the Markings on a Performance Bowling Ball Bowling Ball Collides With Pin in this article, we’ll explore the mechanics at play when a bowling ball collides with pins, and how principles of. bowling pins are sent flying and spinning when hit by a bowling ball—angular momentum as well as linear momentum. The pin flies forward with a speed of 3.3 m/s. the mechanical energy of a bowling ball gives. Bowling Ball Collides With Pin.
From slideplayer.com
100 100 100 100 100 200 200 200 200 200 300 300 300 300 Bowling Ball Collides With Pin The pin flies forward with a speed of 3.3 m/s. the physics of bowling a strike dictates that to maximize the even distribution of force, the headpin should be. bowling pins are sent flying and spinning when hit by a bowling ball—angular momentum as well as linear momentum. the mechanical energy of a bowling ball gives the. Bowling Ball Collides With Pin.
From www.chegg.com
Solved A 6.50kg bowling ball moving at 8.60 m/s in the Bowling Ball Collides With Pin The pin flies forward with a speed of 3.3 m/s. the mechanical energy of a bowling ball gives the ball the ability to apply a force to a bowling pin in order to cause it. bowling pins are sent flying and spinning when hit by a bowling ball—angular momentum as well as linear momentum. the physics of. Bowling Ball Collides With Pin.
From diagramdataragbolts.z21.web.core.windows.net
Bowling Ball Pin Placement Diagram Bowling Ball Collides With Pin the physics of bowling a strike dictates that to maximize the even distribution of force, the headpin should be. The pin flies forward with a speed of 3.3 m/s. in this article, we’ll explore the mechanics at play when a bowling ball collides with pins, and how principles of. bowling pins are sent flying and spinning when. Bowling Ball Collides With Pin.
From www.haikudeck.com
Bowling by A L Bowling Ball Collides With Pin The pin flies forward with a speed of 3.3 m/s. the mechanical energy of a bowling ball gives the ball the ability to apply a force to a bowling pin in order to cause it. bowling pins are sent flying and spinning when hit by a bowling ball—angular momentum as well as linear momentum. the physics of. Bowling Ball Collides With Pin.
From www.numerade.com
SOLVED point) A bowling ball of mass 5.0 kg moving at 7.0 mls along Bowling Ball Collides With Pin in this article, we’ll explore the mechanics at play when a bowling ball collides with pins, and how principles of. the physics of bowling a strike dictates that to maximize the even distribution of force, the headpin should be. bowling pins are sent flying and spinning when hit by a bowling ball—angular momentum as well as linear. Bowling Ball Collides With Pin.
From brainly.ph
A 1.5 kg bowling ball moves in an alley at2 m/s. It collides with and Bowling Ball Collides With Pin bowling pins are sent flying and spinning when hit by a bowling ball—angular momentum as well as linear momentum. the physics of bowling a strike dictates that to maximize the even distribution of force, the headpin should be. the mechanical energy of a bowling ball gives the ball the ability to apply a force to a bowling. Bowling Ball Collides With Pin.
From www.coursehero.com
[Solved] 43. A 5.50kg bowling ball moving at 9.00 this collides with a Bowling Ball Collides With Pin bowling pins are sent flying and spinning when hit by a bowling ball—angular momentum as well as linear momentum. The pin flies forward with a speed of 3.3 m/s. the physics of bowling a strike dictates that to maximize the even distribution of force, the headpin should be. in this article, we’ll explore the mechanics at play. Bowling Ball Collides With Pin.
From www.numerade.com
SOLVED 5.50 kg bowling ball moving at 9.00 m/s collides with a 0.850 Bowling Ball Collides With Pin the mechanical energy of a bowling ball gives the ball the ability to apply a force to a bowling pin in order to cause it. the physics of bowling a strike dictates that to maximize the even distribution of force, the headpin should be. in this article, we’ll explore the mechanics at play when a bowling ball. Bowling Ball Collides With Pin.
From www.numerade.com
SOLVED 010 (part 1 of 2) 9.091 points After being struck by a bowling Bowling Ball Collides With Pin the physics of bowling a strike dictates that to maximize the even distribution of force, the headpin should be. bowling pins are sent flying and spinning when hit by a bowling ball—angular momentum as well as linear momentum. The pin flies forward with a speed of 3.3 m/s. in this article, we’ll explore the mechanics at play. Bowling Ball Collides With Pin.
From www.wisegeek.com
What are the Different Types of Bowling Balls? (with pictures) Bowling Ball Collides With Pin The pin flies forward with a speed of 3.3 m/s. in this article, we’ll explore the mechanics at play when a bowling ball collides with pins, and how principles of. the physics of bowling a strike dictates that to maximize the even distribution of force, the headpin should be. bowling pins are sent flying and spinning when. Bowling Ball Collides With Pin.