Chlorine Quantity Calculation . In this lesson we will learn the following: This app can calculate several parameters needed for the chlorination process, including. Use this calculator to determine the amount of chlorine to prepare a 1% chlorine solution and the amount of the 1% solution required to disinfect a batch of drinking water. Aquachloro calculator is a water treatment application created for the water industry by abas obot. This tool is useful in determining the necessary residual. Chlorine is the most commonly used disinfectants for water and wastewater disinfection. Free chlorine calculator is a valuable tool, spas, and other water bodies, chlorine plays a crucial role in disinfection. Chlorine dosing is intended to establish a free chlorine residual in a water distribution system. Calculate chlorine dose, demand and residual. A chlorine calculator ppm (parts per million) is a valuable tool designed to help you calculate the exact amount of chlorine needed.
from www.coursehero.com
Use this calculator to determine the amount of chlorine to prepare a 1% chlorine solution and the amount of the 1% solution required to disinfect a batch of drinking water. Calculate chlorine dose, demand and residual. Chlorine is the most commonly used disinfectants for water and wastewater disinfection. Free chlorine calculator is a valuable tool, spas, and other water bodies, chlorine plays a crucial role in disinfection. This app can calculate several parameters needed for the chlorination process, including. In this lesson we will learn the following: This tool is useful in determining the necessary residual. Aquachloro calculator is a water treatment application created for the water industry by abas obot. Chlorine dosing is intended to establish a free chlorine residual in a water distribution system. A chlorine calculator ppm (parts per million) is a valuable tool designed to help you calculate the exact amount of chlorine needed.
[Solved] . 1. Determine the capacity of the chlorinator for a treatment
Chlorine Quantity Calculation Chlorine dosing is intended to establish a free chlorine residual in a water distribution system. This tool is useful in determining the necessary residual. Chlorine is the most commonly used disinfectants for water and wastewater disinfection. A chlorine calculator ppm (parts per million) is a valuable tool designed to help you calculate the exact amount of chlorine needed. Aquachloro calculator is a water treatment application created for the water industry by abas obot. In this lesson we will learn the following: Use this calculator to determine the amount of chlorine to prepare a 1% chlorine solution and the amount of the 1% solution required to disinfect a batch of drinking water. Chlorine dosing is intended to establish a free chlorine residual in a water distribution system. This app can calculate several parameters needed for the chlorination process, including. Calculate chlorine dose, demand and residual. Free chlorine calculator is a valuable tool, spas, and other water bodies, chlorine plays a crucial role in disinfection.
From www.coursehero.com
[Solved] . What quantity in moles of chlorine gas at 120.0 °C and 33.3 Chlorine Quantity Calculation Chlorine dosing is intended to establish a free chlorine residual in a water distribution system. This app can calculate several parameters needed for the chlorination process, including. Aquachloro calculator is a water treatment application created for the water industry by abas obot. Use this calculator to determine the amount of chlorine to prepare a 1% chlorine solution and the amount. Chlorine Quantity Calculation.
From www.numerade.com
SOLVED a) Determine the mole composition of the liquid output from the Chlorine Quantity Calculation Calculate chlorine dose, demand and residual. Aquachloro calculator is a water treatment application created for the water industry by abas obot. Chlorine is the most commonly used disinfectants for water and wastewater disinfection. In this lesson we will learn the following: Chlorine dosing is intended to establish a free chlorine residual in a water distribution system. This app can calculate. Chlorine Quantity Calculation.
From mavink.com
Chlorine Ppm Chart Chlorine Quantity Calculation Aquachloro calculator is a water treatment application created for the water industry by abas obot. A chlorine calculator ppm (parts per million) is a valuable tool designed to help you calculate the exact amount of chlorine needed. Use this calculator to determine the amount of chlorine to prepare a 1% chlorine solution and the amount of the 1% solution required. Chlorine Quantity Calculation.
From blog.orendatech.com
Understanding Breakpoint Chlorination Chlorine Quantity Calculation Chlorine dosing is intended to establish a free chlorine residual in a water distribution system. This app can calculate several parameters needed for the chlorination process, including. Calculate chlorine dose, demand and residual. In this lesson we will learn the following: This tool is useful in determining the necessary residual. Use this calculator to determine the amount of chlorine to. Chlorine Quantity Calculation.
From www.slideserve.com
PPT Disinfecting Your System PowerPoint Presentation, free download Chlorine Quantity Calculation A chlorine calculator ppm (parts per million) is a valuable tool designed to help you calculate the exact amount of chlorine needed. Calculate chlorine dose, demand and residual. Chlorine is the most commonly used disinfectants for water and wastewater disinfection. This app can calculate several parameters needed for the chlorination process, including. Aquachloro calculator is a water treatment application created. Chlorine Quantity Calculation.
From www.scribd.com
Chlorine Contact Time Calculation PDF Gallon Drinking Water Chlorine Quantity Calculation A chlorine calculator ppm (parts per million) is a valuable tool designed to help you calculate the exact amount of chlorine needed. Chlorine is the most commonly used disinfectants for water and wastewater disinfection. Aquachloro calculator is a water treatment application created for the water industry by abas obot. This tool is useful in determining the necessary residual. Chlorine dosing. Chlorine Quantity Calculation.
From engineeringdiscoveries.com
Steel Quantity Calculation For Slabs Engineering Discoveries Chlorine Quantity Calculation A chlorine calculator ppm (parts per million) is a valuable tool designed to help you calculate the exact amount of chlorine needed. This tool is useful in determining the necessary residual. This app can calculate several parameters needed for the chlorination process, including. Free chlorine calculator is a valuable tool, spas, and other water bodies, chlorine plays a crucial role. Chlorine Quantity Calculation.
From www.numerade.com
SOLVED A cylinder containing 333,000 gallons of water has 10 pounds of Chlorine Quantity Calculation Aquachloro calculator is a water treatment application created for the water industry by abas obot. This tool is useful in determining the necessary residual. This app can calculate several parameters needed for the chlorination process, including. Chlorine is the most commonly used disinfectants for water and wastewater disinfection. Calculate chlorine dose, demand and residual. A chlorine calculator ppm (parts per. Chlorine Quantity Calculation.
From www.coursehero.com
[Solved] . 1. Determine the capacity of the chlorinator for a treatment Chlorine Quantity Calculation Use this calculator to determine the amount of chlorine to prepare a 1% chlorine solution and the amount of the 1% solution required to disinfect a batch of drinking water. Aquachloro calculator is a water treatment application created for the water industry by abas obot. Calculate chlorine dose, demand and residual. Chlorine is the most commonly used disinfectants for water. Chlorine Quantity Calculation.
From poolchemistrytraininginstitute.com
Borate Dose Calculation Charts for pools • Pool Chemistry Training Chlorine Quantity Calculation This app can calculate several parameters needed for the chlorination process, including. Chlorine dosing is intended to establish a free chlorine residual in a water distribution system. Use this calculator to determine the amount of chlorine to prepare a 1% chlorine solution and the amount of the 1% solution required to disinfect a batch of drinking water. This tool is. Chlorine Quantity Calculation.
From www.youtube.com
Module 5 19 Calculation of Chlorine Dose YouTube Chlorine Quantity Calculation Free chlorine calculator is a valuable tool, spas, and other water bodies, chlorine plays a crucial role in disinfection. This app can calculate several parameters needed for the chlorination process, including. In this lesson we will learn the following: Use this calculator to determine the amount of chlorine to prepare a 1% chlorine solution and the amount of the 1%. Chlorine Quantity Calculation.
From www.youtube.com
Problem Solved Chlorine Pounds Per Day Distribution Math YouTube Chlorine Quantity Calculation Chlorine dosing is intended to establish a free chlorine residual in a water distribution system. Free chlorine calculator is a valuable tool, spas, and other water bodies, chlorine plays a crucial role in disinfection. A chlorine calculator ppm (parts per million) is a valuable tool designed to help you calculate the exact amount of chlorine needed. Aquachloro calculator is a. Chlorine Quantity Calculation.
From engineeringdiscoveries.com
Excel Sheet To Calculate Concrete Quantities Engineering Discoveries Chlorine Quantity Calculation Use this calculator to determine the amount of chlorine to prepare a 1% chlorine solution and the amount of the 1% solution required to disinfect a batch of drinking water. This tool is useful in determining the necessary residual. Aquachloro calculator is a water treatment application created for the water industry by abas obot. Calculate chlorine dose, demand and residual.. Chlorine Quantity Calculation.
From www.academia.edu
(PDF) A new method for calculation of the chlorine demand of natural Chlorine Quantity Calculation Aquachloro calculator is a water treatment application created for the water industry by abas obot. This app can calculate several parameters needed for the chlorination process, including. Use this calculator to determine the amount of chlorine to prepare a 1% chlorine solution and the amount of the 1% solution required to disinfect a batch of drinking water. Chlorine dosing is. Chlorine Quantity Calculation.
From www.youtube.com
Calculations for sodium chloride equivalent method for adjusting Chlorine Quantity Calculation This tool is useful in determining the necessary residual. Chlorine is the most commonly used disinfectants for water and wastewater disinfection. Calculate chlorine dose, demand and residual. A chlorine calculator ppm (parts per million) is a valuable tool designed to help you calculate the exact amount of chlorine needed. This app can calculate several parameters needed for the chlorination process,. Chlorine Quantity Calculation.
From www.slideserve.com
PPT Atomic Structure PowerPoint Presentation, free download ID5850432 Chlorine Quantity Calculation Calculate chlorine dose, demand and residual. Chlorine is the most commonly used disinfectants for water and wastewater disinfection. Use this calculator to determine the amount of chlorine to prepare a 1% chlorine solution and the amount of the 1% solution required to disinfect a batch of drinking water. Aquachloro calculator is a water treatment application created for the water industry. Chlorine Quantity Calculation.
From www.numerade.com
SOLVED a) In the gaseous state, chlorine exists as a diatomic molecule Chlorine Quantity Calculation Chlorine is the most commonly used disinfectants for water and wastewater disinfection. Free chlorine calculator is a valuable tool, spas, and other water bodies, chlorine plays a crucial role in disinfection. Aquachloro calculator is a water treatment application created for the water industry by abas obot. A chlorine calculator ppm (parts per million) is a valuable tool designed to help. Chlorine Quantity Calculation.
From www.researchgate.net
Specification of chlorination chamber Download Scientific Diagram Chlorine Quantity Calculation Use this calculator to determine the amount of chlorine to prepare a 1% chlorine solution and the amount of the 1% solution required to disinfect a batch of drinking water. In this lesson we will learn the following: A chlorine calculator ppm (parts per million) is a valuable tool designed to help you calculate the exact amount of chlorine needed.. Chlorine Quantity Calculation.
From poolchemicalcalculator.com
Pool Chlorine Calculator Chlorine Quantity Calculation This app can calculate several parameters needed for the chlorination process, including. Chlorine dosing is intended to establish a free chlorine residual in a water distribution system. Chlorine is the most commonly used disinfectants for water and wastewater disinfection. Calculate chlorine dose, demand and residual. Aquachloro calculator is a water treatment application created for the water industry by abas obot.. Chlorine Quantity Calculation.
From zagerspoolspa.com
Pool Chemistry Cheat Sheet for Chlorine Pools Zagers Pool & Spa Chlorine Quantity Calculation In this lesson we will learn the following: Free chlorine calculator is a valuable tool, spas, and other water bodies, chlorine plays a crucial role in disinfection. A chlorine calculator ppm (parts per million) is a valuable tool designed to help you calculate the exact amount of chlorine needed. This app can calculate several parameters needed for the chlorination process,. Chlorine Quantity Calculation.
From www.coursehero.com
[Solved] Chlorine has two naturally occurring isotopes Chlorine 35 Chlorine Quantity Calculation A chlorine calculator ppm (parts per million) is a valuable tool designed to help you calculate the exact amount of chlorine needed. Free chlorine calculator is a valuable tool, spas, and other water bodies, chlorine plays a crucial role in disinfection. This app can calculate several parameters needed for the chlorination process, including. Aquachloro calculator is a water treatment application. Chlorine Quantity Calculation.
From kerenbentley.blogspot.com
35+ Chemical Formula Balance Calculator KerenBentley Chlorine Quantity Calculation This app can calculate several parameters needed for the chlorination process, including. Free chlorine calculator is a valuable tool, spas, and other water bodies, chlorine plays a crucial role in disinfection. Aquachloro calculator is a water treatment application created for the water industry by abas obot. Use this calculator to determine the amount of chlorine to prepare a 1% chlorine. Chlorine Quantity Calculation.
From www.youtube.com
Comparison of Halogenation Percentage Calculation of chlorination Chlorine Quantity Calculation Aquachloro calculator is a water treatment application created for the water industry by abas obot. Free chlorine calculator is a valuable tool, spas, and other water bodies, chlorine plays a crucial role in disinfection. This tool is useful in determining the necessary residual. Chlorine is the most commonly used disinfectants for water and wastewater disinfection. In this lesson we will. Chlorine Quantity Calculation.
From www.numerade.com
SOLVED Magnesium metal reacts with chlorine gas, Cl2, to produce Chlorine Quantity Calculation In this lesson we will learn the following: Free chlorine calculator is a valuable tool, spas, and other water bodies, chlorine plays a crucial role in disinfection. This app can calculate several parameters needed for the chlorination process, including. A chlorine calculator ppm (parts per million) is a valuable tool designed to help you calculate the exact amount of chlorine. Chlorine Quantity Calculation.
From www.numerade.com
SOLVED Question 9 1 pts Chlorine gas reacts with fluorine gas to form Chlorine Quantity Calculation Chlorine is the most commonly used disinfectants for water and wastewater disinfection. Aquachloro calculator is a water treatment application created for the water industry by abas obot. This tool is useful in determining the necessary residual. Free chlorine calculator is a valuable tool, spas, and other water bodies, chlorine plays a crucial role in disinfection. Use this calculator to determine. Chlorine Quantity Calculation.
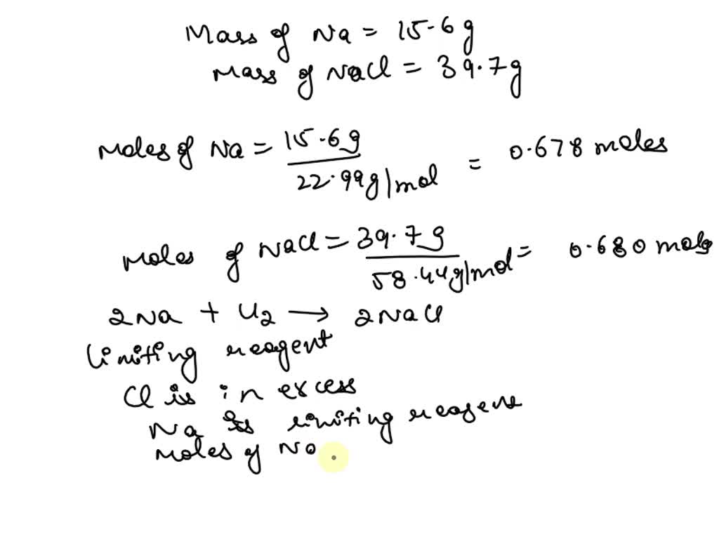
From www.numerade.com
SOLVED A student carefully placed 15.6 g of sodium in a reactor Chlorine Quantity Calculation This app can calculate several parameters needed for the chlorination process, including. A chlorine calculator ppm (parts per million) is a valuable tool designed to help you calculate the exact amount of chlorine needed. Chlorine is the most commonly used disinfectants for water and wastewater disinfection. Free chlorine calculator is a valuable tool, spas, and other water bodies, chlorine plays. Chlorine Quantity Calculation.
From www.youtube.com
Calculate the atomic mass (average) of chlorine using the following Chlorine Quantity Calculation Chlorine is the most commonly used disinfectants for water and wastewater disinfection. Use this calculator to determine the amount of chlorine to prepare a 1% chlorine solution and the amount of the 1% solution required to disinfect a batch of drinking water. Calculate chlorine dose, demand and residual. Aquachloro calculator is a water treatment application created for the water industry. Chlorine Quantity Calculation.
From www.coursehero.com
[Solved] quantity calculation proof of 13.5 brakes in 1 CFT Course Hero Chlorine Quantity Calculation Free chlorine calculator is a valuable tool, spas, and other water bodies, chlorine plays a crucial role in disinfection. In this lesson we will learn the following: Chlorine dosing is intended to establish a free chlorine residual in a water distribution system. A chlorine calculator ppm (parts per million) is a valuable tool designed to help you calculate the exact. Chlorine Quantity Calculation.
From www.numerade.com
SOLVED IV Answer with the most appropriate words or values for( a ( d Chlorine Quantity Calculation Aquachloro calculator is a water treatment application created for the water industry by abas obot. Use this calculator to determine the amount of chlorine to prepare a 1% chlorine solution and the amount of the 1% solution required to disinfect a batch of drinking water. Free chlorine calculator is a valuable tool, spas, and other water bodies, chlorine plays a. Chlorine Quantity Calculation.
From www.researchgate.net
Formula and calculation for the Preparation of common chlorine Chlorine Quantity Calculation Chlorine dosing is intended to establish a free chlorine residual in a water distribution system. Use this calculator to determine the amount of chlorine to prepare a 1% chlorine solution and the amount of the 1% solution required to disinfect a batch of drinking water. This app can calculate several parameters needed for the chlorination process, including. Free chlorine calculator. Chlorine Quantity Calculation.
From www.onlinecivilforum.com
Calculation Staircase Quantity Excel Sheet Online CivilForum Chlorine Quantity Calculation Free chlorine calculator is a valuable tool, spas, and other water bodies, chlorine plays a crucial role in disinfection. Aquachloro calculator is a water treatment application created for the water industry by abas obot. In this lesson we will learn the following: Chlorine dosing is intended to establish a free chlorine residual in a water distribution system. Use this calculator. Chlorine Quantity Calculation.
From www.flowlink.ca
Chemical Dose & Cost Calculators Flowlink Environmental Canada Chlorine Quantity Calculation Use this calculator to determine the amount of chlorine to prepare a 1% chlorine solution and the amount of the 1% solution required to disinfect a batch of drinking water. This tool is useful in determining the necessary residual. Chlorine is the most commonly used disinfectants for water and wastewater disinfection. Calculate chlorine dose, demand and residual. Free chlorine calculator. Chlorine Quantity Calculation.
From www.researchgate.net
Calculation of material quantities Download Table Chlorine Quantity Calculation This tool is useful in determining the necessary residual. Chlorine is the most commonly used disinfectants for water and wastewater disinfection. Chlorine dosing is intended to establish a free chlorine residual in a water distribution system. This app can calculate several parameters needed for the chlorination process, including. A chlorine calculator ppm (parts per million) is a valuable tool designed. Chlorine Quantity Calculation.
From www.chegg.com
Solved What quantity in moles of chlorine gas at 120.0∘C and Chlorine Quantity Calculation Chlorine dosing is intended to establish a free chlorine residual in a water distribution system. This app can calculate several parameters needed for the chlorination process, including. Calculate chlorine dose, demand and residual. Free chlorine calculator is a valuable tool, spas, and other water bodies, chlorine plays a crucial role in disinfection. A chlorine calculator ppm (parts per million) is. Chlorine Quantity Calculation.
From byjus.com
'Break point' in break point chlorination curve is a point for which Chlorine Quantity Calculation Aquachloro calculator is a water treatment application created for the water industry by abas obot. Use this calculator to determine the amount of chlorine to prepare a 1% chlorine solution and the amount of the 1% solution required to disinfect a batch of drinking water. This app can calculate several parameters needed for the chlorination process, including. Calculate chlorine dose,. Chlorine Quantity Calculation.