Alpha Beta Formulas Class 10 . identities involving α and β. formula’s (polynomials) (class 10) degree of polynomial = highest power of variable. Pair of linear equation in two variables formulas. the basic maths class 10 formulas are almost the same for all the boards. αβγ = −d a = −constant term coefficient of x3. The list of maths formulas are: Α 2 + β 2 = (α + β) 2 − 2 α β. Where α and β are the zeroes of the quadratic polynomial ax 2 + bx + c. Sum of roots of a cubic. Α 2 + β 2. learn how to change the given expressions in α+β and α.β form for polynomials. Zeroes (α, β, γ) follow the rules of algebraic identities, i.e., (α + β)² = α². Α2 +β2 = (α + β)2 − 2αβ. product of roots of a quadratic polynomial:
from www.youtube.com
Where α and β are the zeroes of the quadratic polynomial ax 2 + bx + c. learn how to change the given expressions in α+β and α.β form for polynomials. formula’s (polynomials) (class 10) degree of polynomial = highest power of variable. identities involving α and β. Pair of linear equation in two variables formulas. Α 2 + β 2 = (α + β) 2 − 2 α β. The list of maths formulas are: the basic maths class 10 formulas are almost the same for all the boards. Α2 +β2 = (α + β)2 − 2αβ. Zeroes (α, β, γ) follow the rules of algebraic identities, i.e., (α + β)² = α².
alpha beta questions of polynomial chapter 2 class 10 YouTube
Alpha Beta Formulas Class 10 αβγ = −d a = −constant term coefficient of x3. The list of maths formulas are: Zeroes (α, β, γ) follow the rules of algebraic identities, i.e., (α + β)² = α². identities involving α and β. the basic maths class 10 formulas are almost the same for all the boards. Α2 +β2 = (α + β)2 − 2αβ. formula’s (polynomials) (class 10) degree of polynomial = highest power of variable. product of roots of a quadratic polynomial: Sum of roots of a cubic. αβγ = −d a = −constant term coefficient of x3. learn how to change the given expressions in α+β and α.β form for polynomials. Α 2 + β 2 = (α + β) 2 − 2 α β. Pair of linear equation in two variables formulas. Where α and β are the zeroes of the quadratic polynomial ax 2 + bx + c. Α 2 + β 2.
From byjus.com
if alpha and beta are the roots of equation ax^2+bx+c=0, then write Alpha Beta Formulas Class 10 identities involving α and β. Pair of linear equation in two variables formulas. αβγ = −d a = −constant term coefficient of x3. learn how to change the given expressions in α+β and α.β form for polynomials. Α 2 + β 2 = (α + β) 2 − 2 α β. Α2 +β2 = (α + β)2. Alpha Beta Formulas Class 10.
From www.youtube.com
Quadratics alpha beta roots problem 2 YouTube Alpha Beta Formulas Class 10 product of roots of a quadratic polynomial: αβγ = −d a = −constant term coefficient of x3. Α 2 + β 2 = (α + β) 2 − 2 α β. Pair of linear equation in two variables formulas. Zeroes (α, β, γ) follow the rules of algebraic identities, i.e., (α + β)² = α². Sum of roots. Alpha Beta Formulas Class 10.
From www.youtube.com
exp 3.45, ALPHA, BETA PROBLEMS QUADRATIC EQUATIONS GRADE 10 VIDEO 3.2K Alpha Beta Formulas Class 10 identities involving α and β. formula’s (polynomials) (class 10) degree of polynomial = highest power of variable. the basic maths class 10 formulas are almost the same for all the boards. Pair of linear equation in two variables formulas. Zeroes (α, β, γ) follow the rules of algebraic identities, i.e., (α + β)² = α². The list. Alpha Beta Formulas Class 10.
From www.vrogue.co
Alpha Beta Formulas For Maths vrogue.co Alpha Beta Formulas Class 10 Sum of roots of a cubic. αβγ = −d a = −constant term coefficient of x3. Pair of linear equation in two variables formulas. learn how to change the given expressions in α+β and α.β form for polynomials. Α2 +β2 = (α + β)2 − 2αβ. Α 2 + β 2. The list of maths formulas are: . Alpha Beta Formulas Class 10.
From easymathssolution.com
a+b Whole Cube Easy Maths Solutions Alpha Beta Formulas Class 10 Α 2 + β 2. Α2 +β2 = (α + β)2 − 2αβ. learn how to change the given expressions in α+β and α.β form for polynomials. Pair of linear equation in two variables formulas. Where α and β are the zeroes of the quadratic polynomial ax 2 + bx + c. the basic maths class 10 formulas. Alpha Beta Formulas Class 10.
From exotvoyxr.blob.core.windows.net
Alpha + Beta Formulas Class 10 Quadratic Equation at Robert Willard blog Alpha Beta Formulas Class 10 Α 2 + β 2. learn how to change the given expressions in α+β and α.β form for polynomials. Where α and β are the zeroes of the quadratic polynomial ax 2 + bx + c. the basic maths class 10 formulas are almost the same for all the boards. αβγ = −d a = −constant term. Alpha Beta Formulas Class 10.
From apboardsolutions.in
AP SSC 10th Class Maths Notes Chapter 3 Polynomials AP Board Solutions Alpha Beta Formulas Class 10 Pair of linear equation in two variables formulas. αβγ = −d a = −constant term coefficient of x3. Α 2 + β 2. The list of maths formulas are: Sum of roots of a cubic. formula’s (polynomials) (class 10) degree of polynomial = highest power of variable. Α 2 + β 2 = (α + β) 2 −. Alpha Beta Formulas Class 10.
From www.meritnation.com
if alpha and beta are the zeroes of a quadratic polynomial such that Alpha Beta Formulas Class 10 Α 2 + β 2 = (α + β) 2 − 2 α β. product of roots of a quadratic polynomial: formula’s (polynomials) (class 10) degree of polynomial = highest power of variable. The list of maths formulas are: Sum of roots of a cubic. identities involving α and β. Zeroes (α, β, γ) follow the rules. Alpha Beta Formulas Class 10.
From www.youtube.com
Alpha & Beta Important Formulas Class 10 Polynomials Sum of Zeros Alpha Beta Formulas Class 10 αβγ = −d a = −constant term coefficient of x3. Pair of linear equation in two variables formulas. product of roots of a quadratic polynomial: formula’s (polynomials) (class 10) degree of polynomial = highest power of variable. learn how to change the given expressions in α+β and α.β form for polynomials. the basic maths class. Alpha Beta Formulas Class 10.
From www.youtube.com
alpha beta questions of polynomial chapter 2 class 10 YouTube Alpha Beta Formulas Class 10 Α 2 + β 2. Α2 +β2 = (α + β)2 − 2αβ. learn how to change the given expressions in α+β and α.β form for polynomials. formula’s (polynomials) (class 10) degree of polynomial = highest power of variable. the basic maths class 10 formulas are almost the same for all the boards. Where α and β. Alpha Beta Formulas Class 10.
From www.youtube.com
Alpha and beta are zeros of the quadratic polynomial x26x+a.Find the Alpha Beta Formulas Class 10 Α 2 + β 2. learn how to change the given expressions in α+β and α.β form for polynomials. Α 2 + β 2 = (α + β) 2 − 2 α β. The list of maths formulas are: Α2 +β2 = (α + β)2 − 2αβ. Sum of roots of a cubic. identities involving α and β.. Alpha Beta Formulas Class 10.
From www.youtube.com
How do you solve alpha and beta questions? alpha plus beta alpha Alpha Beta Formulas Class 10 Where α and β are the zeroes of the quadratic polynomial ax 2 + bx + c. the basic maths class 10 formulas are almost the same for all the boards. The list of maths formulas are: identities involving α and β. Α 2 + β 2. Α2 +β2 = (α + β)2 − 2αβ. learn how. Alpha Beta Formulas Class 10.
From byjus.com
9. If alpha and beta are the zeros of the quadratic polynomial p(x Alpha Beta Formulas Class 10 Α2 +β2 = (α + β)2 − 2αβ. Sum of roots of a cubic. learn how to change the given expressions in α+β and α.β form for polynomials. Α 2 + β 2 = (α + β) 2 − 2 α β. Α 2 + β 2. The list of maths formulas are: product of roots of a. Alpha Beta Formulas Class 10.
From dxodcgfky.blob.core.windows.net
Find The Alpha Beta Formula at Anna Hunt blog Alpha Beta Formulas Class 10 Where α and β are the zeroes of the quadratic polynomial ax 2 + bx + c. the basic maths class 10 formulas are almost the same for all the boards. learn how to change the given expressions in α+β and α.β form for polynomials. product of roots of a quadratic polynomial: Α2 +β2 = (α +. Alpha Beta Formulas Class 10.
From byjus.com
13. Derivation of formula related to alpha and beta Alpha Beta Formulas Class 10 Where α and β are the zeroes of the quadratic polynomial ax 2 + bx + c. identities involving α and β. Zeroes (α, β, γ) follow the rules of algebraic identities, i.e., (α + β)² = α². Α2 +β2 = (α + β)2 − 2αβ. formula’s (polynomials) (class 10) degree of polynomial = highest power of variable.. Alpha Beta Formulas Class 10.
From exotvoyxr.blob.core.windows.net
Alpha + Beta Formulas Class 10 Quadratic Equation at Robert Willard blog Alpha Beta Formulas Class 10 αβγ = −d a = −constant term coefficient of x3. Zeroes (α, β, γ) follow the rules of algebraic identities, i.e., (α + β)² = α². identities involving α and β. formula’s (polynomials) (class 10) degree of polynomial = highest power of variable. Α 2 + β 2. Sum of roots of a cubic. the basic. Alpha Beta Formulas Class 10.
From www.toppr.com
If alpha + beta = 5 and alpha^3 + beta^3 = 35 , find the quadratic Alpha Beta Formulas Class 10 Α 2 + β 2 = (α + β) 2 − 2 α β. Sum of roots of a cubic. Α2 +β2 = (α + β)2 − 2αβ. The list of maths formulas are: identities involving α and β. formula’s (polynomials) (class 10) degree of polynomial = highest power of variable. Where α and β are the zeroes. Alpha Beta Formulas Class 10.
From mevipinsetia.blogspot.com
Maths4all Alpha Beta Formulas for Maths Alpha Beta Formulas Class 10 Where α and β are the zeroes of the quadratic polynomial ax 2 + bx + c. Pair of linear equation in two variables formulas. identities involving α and β. αβγ = −d a = −constant term coefficient of x3. Zeroes (α, β, γ) follow the rules of algebraic identities, i.e., (α + β)² = α². Sum of. Alpha Beta Formulas Class 10.
From www.vrogue.co
Alpha Beta Formulas For Maths vrogue.co Alpha Beta Formulas Class 10 the basic maths class 10 formulas are almost the same for all the boards. Α 2 + β 2 = (α + β) 2 − 2 α β. formula’s (polynomials) (class 10) degree of polynomial = highest power of variable. learn how to change the given expressions in α+β and α.β form for polynomials. αβγ =. Alpha Beta Formulas Class 10.
From www.tessshebaylo.com
Roots Of Quadratic Equation Alpha Beta Calculator Tessshebaylo Alpha Beta Formulas Class 10 Where α and β are the zeroes of the quadratic polynomial ax 2 + bx + c. Pair of linear equation in two variables formulas. learn how to change the given expressions in α+β and α.β form for polynomials. Α 2 + β 2 = (α + β) 2 − 2 α β. αβγ = −d a =. Alpha Beta Formulas Class 10.
From www.studiestoday.com
CBSE Class 10 Polynomials Sure Shot Questions Alpha Beta Formulas Class 10 The list of maths formulas are: Where α and β are the zeroes of the quadratic polynomial ax 2 + bx + c. Α 2 + β 2. learn how to change the given expressions in α+β and α.β form for polynomials. identities involving α and β. Sum of roots of a cubic. the basic maths class. Alpha Beta Formulas Class 10.
From exotvoyxr.blob.core.windows.net
Alpha + Beta Formulas Class 10 Quadratic Equation at Robert Willard blog Alpha Beta Formulas Class 10 formula’s (polynomials) (class 10) degree of polynomial = highest power of variable. Α 2 + β 2 = (α + β) 2 − 2 α β. product of roots of a quadratic polynomial: Α 2 + β 2. Α2 +β2 = (α + β)2 − 2αβ. learn how to change the given expressions in α+β and α.β. Alpha Beta Formulas Class 10.
From www.youtube.com
alpha and beta roots of quadratic equation Finding new equation YouTube Alpha Beta Formulas Class 10 The list of maths formulas are: αβγ = −d a = −constant term coefficient of x3. formula’s (polynomials) (class 10) degree of polynomial = highest power of variable. the basic maths class 10 formulas are almost the same for all the boards. Zeroes (α, β, γ) follow the rules of algebraic identities, i.e., (α + β)² =. Alpha Beta Formulas Class 10.
From www.youtube.com
An ordered pair `(alpha, beta)` for which the system of linear Alpha Beta Formulas Class 10 Sum of roots of a cubic. Α2 +β2 = (α + β)2 − 2αβ. product of roots of a quadratic polynomial: formula’s (polynomials) (class 10) degree of polynomial = highest power of variable. Where α and β are the zeroes of the quadratic polynomial ax 2 + bx + c. Α 2 + β 2. Zeroes (α, β,. Alpha Beta Formulas Class 10.
From edurev.in
If alpha ,beta are the roots of quadratic equation 2x^2 x1=0 then find Alpha Beta Formulas Class 10 product of roots of a quadratic polynomial: Where α and β are the zeroes of the quadratic polynomial ax 2 + bx + c. The list of maths formulas are: formula’s (polynomials) (class 10) degree of polynomial = highest power of variable. identities involving α and β. Α 2 + β 2 = (α + β) 2. Alpha Beta Formulas Class 10.
From www.vrogue.co
Alpha Beta Formulas For Maths vrogue.co Alpha Beta Formulas Class 10 Where α and β are the zeroes of the quadratic polynomial ax 2 + bx + c. Α2 +β2 = (α + β)2 − 2αβ. Sum of roots of a cubic. learn how to change the given expressions in α+β and α.β form for polynomials. product of roots of a quadratic polynomial: identities involving α and β.. Alpha Beta Formulas Class 10.
From www.youtube.com
Alpha and Beta identities in quadratic equation YouTube Alpha Beta Formulas Class 10 the basic maths class 10 formulas are almost the same for all the boards. The list of maths formulas are: Α 2 + β 2. Sum of roots of a cubic. Zeroes (α, β, γ) follow the rules of algebraic identities, i.e., (α + β)² = α². formula’s (polynomials) (class 10) degree of polynomial = highest power of. Alpha Beta Formulas Class 10.
From www.vrogue.co
Alpha Beta Formulas For Maths vrogue.co Alpha Beta Formulas Class 10 identities involving α and β. Pair of linear equation in two variables formulas. product of roots of a quadratic polynomial: αβγ = −d a = −constant term coefficient of x3. Α2 +β2 = (α + β)2 − 2αβ. The list of maths formulas are: Where α and β are the zeroes of the quadratic polynomial ax 2. Alpha Beta Formulas Class 10.
From exotvoyxr.blob.core.windows.net
Alpha + Beta Formulas Class 10 Quadratic Equation at Robert Willard blog Alpha Beta Formulas Class 10 Sum of roots of a cubic. learn how to change the given expressions in α+β and α.β form for polynomials. formula’s (polynomials) (class 10) degree of polynomial = highest power of variable. Α 2 + β 2. product of roots of a quadratic polynomial: identities involving α and β. Zeroes (α, β, γ) follow the rules. Alpha Beta Formulas Class 10.
From www.toppr.com
If alpha and beta are the zeros of the quadratic polynomial f(x) = x^2 Alpha Beta Formulas Class 10 identities involving α and β. Α 2 + β 2. αβγ = −d a = −constant term coefficient of x3. product of roots of a quadratic polynomial: Pair of linear equation in two variables formulas. Sum of roots of a cubic. The list of maths formulas are: Α2 +β2 = (α + β)2 − 2αβ. learn. Alpha Beta Formulas Class 10.
From mevipinsetia.blogspot.com
Class X Mathematics Polynomials Alpha and Beta Question 2 Alpha Beta Formulas Class 10 Α 2 + β 2 = (α + β) 2 − 2 α β. The list of maths formulas are: learn how to change the given expressions in α+β and α.β form for polynomials. Pair of linear equation in two variables formulas. Α 2 + β 2. Zeroes (α, β, γ) follow the rules of algebraic identities, i.e., (α. Alpha Beta Formulas Class 10.
From exotvoyxr.blob.core.windows.net
Alpha + Beta Formulas Class 10 Quadratic Equation at Robert Willard blog Alpha Beta Formulas Class 10 αβγ = −d a = −constant term coefficient of x3. formula’s (polynomials) (class 10) degree of polynomial = highest power of variable. Α2 +β2 = (α + β)2 − 2αβ. Zeroes (α, β, γ) follow the rules of algebraic identities, i.e., (α + β)² = α². product of roots of a quadratic polynomial: learn how to. Alpha Beta Formulas Class 10.
From byjus.com
alpha + beta = b/a.Then how to find (alpha beta) Alpha Beta Formulas Class 10 identities involving α and β. Α 2 + β 2. Pair of linear equation in two variables formulas. formula’s (polynomials) (class 10) degree of polynomial = highest power of variable. Where α and β are the zeroes of the quadratic polynomial ax 2 + bx + c. product of roots of a quadratic polynomial: learn how. Alpha Beta Formulas Class 10.
From brainly.in
give me all the formules of polynomials alpha and beta class 10 Alpha Beta Formulas Class 10 Α2 +β2 = (α + β)2 − 2αβ. product of roots of a quadratic polynomial: Α 2 + β 2. Zeroes (α, β, γ) follow the rules of algebraic identities, i.e., (α + β)² = α². formula’s (polynomials) (class 10) degree of polynomial = highest power of variable. identities involving α and β. Pair of linear equation. Alpha Beta Formulas Class 10.
From mungfali.com
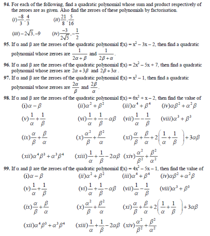
Alpha Beta Gamma Formula Alpha Beta Formulas Class 10 The list of maths formulas are: Α 2 + β 2. Sum of roots of a cubic. identities involving α and β. Α 2 + β 2 = (α + β) 2 − 2 α β. formula’s (polynomials) (class 10) degree of polynomial = highest power of variable. αβγ = −d a = −constant term coefficient of. Alpha Beta Formulas Class 10.