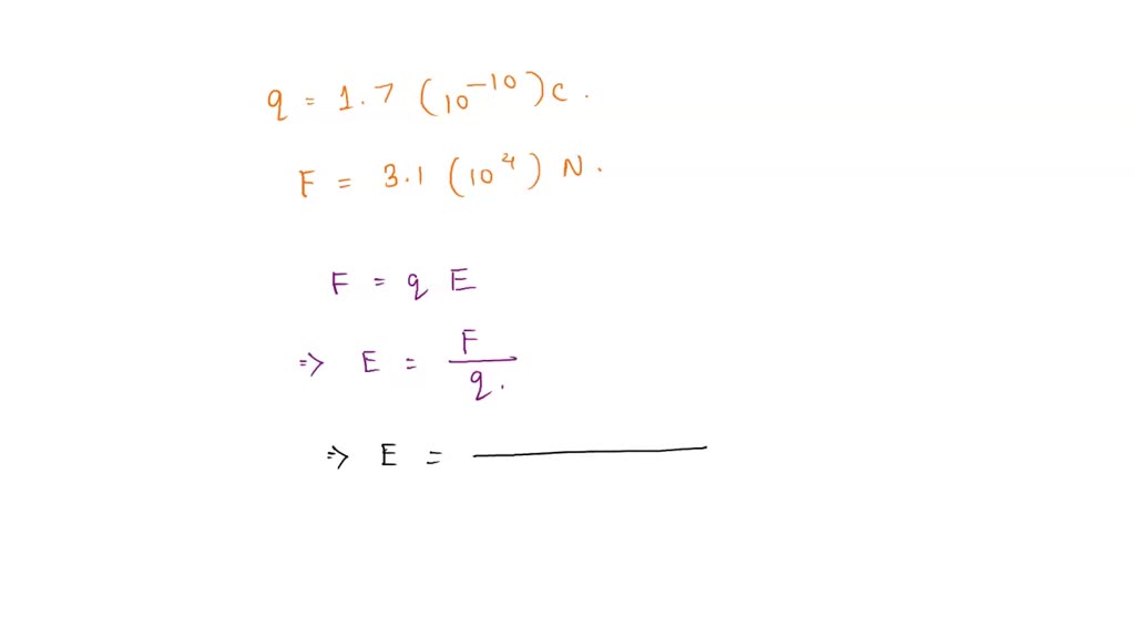
Industrial Ink-Jet Printer Carries A Charge . In our exercise, the ink droplet carries a charge of 1.6 × 10 − 10 c, which is a small but significant amount when discussing electric forces and. Find the strength of the electric field to produce. Find the strength of the electric field to.
from www.chegg.com
Find the strength of the electric field to. Find the strength of the electric field to produce. In our exercise, the ink droplet carries a charge of 1.6 × 10 − 10 c, which is a small but significant amount when discussing electric forces and.
Solved A droplet of ink in an industrial inkjet printer
Industrial Ink-Jet Printer Carries A Charge Find the strength of the electric field to. Find the strength of the electric field to. Find the strength of the electric field to produce. In our exercise, the ink droplet carries a charge of 1.6 × 10 − 10 c, which is a small but significant amount when discussing electric forces and.
From www.idtechnology.com
Citronix Industrial Ink Jet Printers Continuous Ink Jet Printers ciSeries ID Technology Industrial Ink-Jet Printer Carries A Charge Find the strength of the electric field to produce. Find the strength of the electric field to. In our exercise, the ink droplet carries a charge of 1.6 × 10 − 10 c, which is a small but significant amount when discussing electric forces and. Industrial Ink-Jet Printer Carries A Charge.
From www.numerade.com
A droplet of ink in an industrial inkjet printer carries a charge of 1.6 ×10^10 C and is Industrial Ink-Jet Printer Carries A Charge In our exercise, the ink droplet carries a charge of 1.6 × 10 − 10 c, which is a small but significant amount when discussing electric forces and. Find the strength of the electric field to. Find the strength of the electric field to produce. Industrial Ink-Jet Printer Carries A Charge.
From www.ecplaza.net
HS280 Industrial Ink Jet Printer Hesen Automation Equipment Co., Ltd. Industrial Ink-Jet Printer Carries A Charge Find the strength of the electric field to. Find the strength of the electric field to produce. In our exercise, the ink droplet carries a charge of 1.6 × 10 − 10 c, which is a small but significant amount when discussing electric forces and. Industrial Ink-Jet Printer Carries A Charge.
From gratitudemyn.com
Rynan Industrial Ink Jet Printer Gratitude Company Limited Industrial Ink-Jet Printer Carries A Charge Find the strength of the electric field to produce. In our exercise, the ink droplet carries a charge of 1.6 × 10 − 10 c, which is a small but significant amount when discussing electric forces and. Find the strength of the electric field to. Industrial Ink-Jet Printer Carries A Charge.
From www.tradeindia.com
Continuous Industrial Ink Jet Printers at Best Price in Chennai Jet Inks Private Limited Industrial Ink-Jet Printer Carries A Charge In our exercise, the ink droplet carries a charge of 1.6 × 10 − 10 c, which is a small but significant amount when discussing electric forces and. Find the strength of the electric field to. Find the strength of the electric field to produce. Industrial Ink-Jet Printer Carries A Charge.
From www.chegg.com
Solved A droplet of ink in an industrial inkjet printer Industrial Ink-Jet Printer Carries A Charge Find the strength of the electric field to produce. Find the strength of the electric field to. In our exercise, the ink droplet carries a charge of 1.6 × 10 − 10 c, which is a small but significant amount when discussing electric forces and. Industrial Ink-Jet Printer Carries A Charge.
From rnjet.com
Canadian Manufacturer of Industrial Inkjet Printers RNJet Industrial Ink-Jet Printer Carries A Charge Find the strength of the electric field to. Find the strength of the electric field to produce. In our exercise, the ink droplet carries a charge of 1.6 × 10 − 10 c, which is a small but significant amount when discussing electric forces and. Industrial Ink-Jet Printer Carries A Charge.
From www.youtube.com
eZinkjet Industrial Inkjet Printer YouTube Industrial Ink-Jet Printer Carries A Charge In our exercise, the ink droplet carries a charge of 1.6 × 10 − 10 c, which is a small but significant amount when discussing electric forces and. Find the strength of the electric field to. Find the strength of the electric field to produce. Industrial Ink-Jet Printer Carries A Charge.
From www.keepital.com
Hitachi Industrial Marking Ink Jet Printers ID System Solutions Sdn Bhd MY Industrial Ink-Jet Printer Carries A Charge In our exercise, the ink droplet carries a charge of 1.6 × 10 − 10 c, which is a small but significant amount when discussing electric forces and. Find the strength of the electric field to produce. Find the strength of the electric field to. Industrial Ink-Jet Printer Carries A Charge.
From www.chegg.com
Solved A droplet of ink in an industrial inkjet printer Industrial Ink-Jet Printer Carries A Charge Find the strength of the electric field to produce. Find the strength of the electric field to. In our exercise, the ink droplet carries a charge of 1.6 × 10 − 10 c, which is a small but significant amount when discussing electric forces and. Industrial Ink-Jet Printer Carries A Charge.
From www.numerade.com
SOLVED Find the strength of the electric field to produce this force. A droplet of ink in an Industrial Ink-Jet Printer Carries A Charge Find the strength of the electric field to produce. In our exercise, the ink droplet carries a charge of 1.6 × 10 − 10 c, which is a small but significant amount when discussing electric forces and. Find the strength of the electric field to. Industrial Ink-Jet Printer Carries A Charge.
From www.coursehero.com
[Solved] A droplet of ink in an industrial inkjet printer carries a charge... Course Hero Industrial Ink-Jet Printer Carries A Charge Find the strength of the electric field to produce. Find the strength of the electric field to. In our exercise, the ink droplet carries a charge of 1.6 × 10 − 10 c, which is a small but significant amount when discussing electric forces and. Industrial Ink-Jet Printer Carries A Charge.
From www.idssmy.com
Industrial Ink Jet Printers Classification ID System Solutions Sdn Bhd Malaysia Industrial Ink-Jet Printer Carries A Charge Find the strength of the electric field to produce. Find the strength of the electric field to. In our exercise, the ink droplet carries a charge of 1.6 × 10 − 10 c, which is a small but significant amount when discussing electric forces and. Industrial Ink-Jet Printer Carries A Charge.
From gzprima.en.made-in-china.com
Videojet 1580 Industrial Inkjet Printer Independent Model for Carton, Glass, Plastic with CE Industrial Ink-Jet Printer Carries A Charge In our exercise, the ink droplet carries a charge of 1.6 × 10 − 10 c, which is a small but significant amount when discussing electric forces and. Find the strength of the electric field to. Find the strength of the electric field to produce. Industrial Ink-Jet Printer Carries A Charge.
From www.chegg.com
Solved A droplet of ink in an industrial inkjet printer Industrial Ink-Jet Printer Carries A Charge In our exercise, the ink droplet carries a charge of 1.6 × 10 − 10 c, which is a small but significant amount when discussing electric forces and. Find the strength of the electric field to produce. Find the strength of the electric field to. Industrial Ink-Jet Printer Carries A Charge.
From www.itogroupthai.com
Industrial Inkjet Printer Ito Precision Technologies Limited Industrial Ink-Jet Printer Carries A Charge In our exercise, the ink droplet carries a charge of 1.6 × 10 − 10 c, which is a small but significant amount when discussing electric forces and. Find the strength of the electric field to produce. Find the strength of the electric field to. Industrial Ink-Jet Printer Carries A Charge.
From www.coursehero.com
[Solved] A droplet of ink in an industrial inkjet printer carries a charge... Course Hero Industrial Ink-Jet Printer Carries A Charge Find the strength of the electric field to produce. In our exercise, the ink droplet carries a charge of 1.6 × 10 − 10 c, which is a small but significant amount when discussing electric forces and. Find the strength of the electric field to. Industrial Ink-Jet Printer Carries A Charge.
From www.exportersindia.com
industrial ink jet printer, Power 50W at Best Price in Mumbai Green Solutions Packaging Industrial Ink-Jet Printer Carries A Charge Find the strength of the electric field to. Find the strength of the electric field to produce. In our exercise, the ink droplet carries a charge of 1.6 × 10 − 10 c, which is a small but significant amount when discussing electric forces and. Industrial Ink-Jet Printer Carries A Charge.
From www.chegg.com
A droplet of ink in an industrial inkjet printer Industrial Ink-Jet Printer Carries A Charge In our exercise, the ink droplet carries a charge of 1.6 × 10 − 10 c, which is a small but significant amount when discussing electric forces and. Find the strength of the electric field to. Find the strength of the electric field to produce. Industrial Ink-Jet Printer Carries A Charge.
From www.idtechnology.com
Citronix Industrial Ink Jet Printers Continuous Ink Jet Printers ciSeries ID Technology Industrial Ink-Jet Printer Carries A Charge In our exercise, the ink droplet carries a charge of 1.6 × 10 − 10 c, which is a small but significant amount when discussing electric forces and. Find the strength of the electric field to. Find the strength of the electric field to produce. Industrial Ink-Jet Printer Carries A Charge.
From highmarksystems.com
UX2 Hitachi Continuous Ink Jet Printer • HighMark Systems Industrial Ink-Jet Printer Carries A Charge Find the strength of the electric field to. Find the strength of the electric field to produce. In our exercise, the ink droplet carries a charge of 1.6 × 10 − 10 c, which is a small but significant amount when discussing electric forces and. Industrial Ink-Jet Printer Carries A Charge.
From www.chegg.com
Solved A droplet of ink in an industrial inkjet printer Industrial Ink-Jet Printer Carries A Charge Find the strength of the electric field to produce. In our exercise, the ink droplet carries a charge of 1.6 × 10 − 10 c, which is a small but significant amount when discussing electric forces and. Find the strength of the electric field to. Industrial Ink-Jet Printer Carries A Charge.
From www.chegg.com
Solved A droplet of ink in an industrial inkjet printer Industrial Ink-Jet Printer Carries A Charge Find the strength of the electric field to produce. In our exercise, the ink droplet carries a charge of 1.6 × 10 − 10 c, which is a small but significant amount when discussing electric forces and. Find the strength of the electric field to. Industrial Ink-Jet Printer Carries A Charge.
From www.coursehero.com
[Solved] A droplet of ink in an industrial inkjet printer carries a charge... Course Hero Industrial Ink-Jet Printer Carries A Charge In our exercise, the ink droplet carries a charge of 1.6 × 10 − 10 c, which is a small but significant amount when discussing electric forces and. Find the strength of the electric field to produce. Find the strength of the electric field to. Industrial Ink-Jet Printer Carries A Charge.
From www.keepital.com
Hitachi Industrial Marking Ink Jet Printers ID System Solutions Sdn Bhd MY Industrial Ink-Jet Printer Carries A Charge Find the strength of the electric field to. Find the strength of the electric field to produce. In our exercise, the ink droplet carries a charge of 1.6 × 10 − 10 c, which is a small but significant amount when discussing electric forces and. Industrial Ink-Jet Printer Carries A Charge.
From www.pack-secure.com
QM7500 Industrial DOD Ink Jet Printer Character Coder Industrial Ink-Jet Printer Carries A Charge Find the strength of the electric field to produce. Find the strength of the electric field to. In our exercise, the ink droplet carries a charge of 1.6 × 10 − 10 c, which is a small but significant amount when discussing electric forces and. Industrial Ink-Jet Printer Carries A Charge.
From www.exportersindia.com
Citronix Industrial Ink Jet Printer at Rs 2.19 Lakh / Piece in Indore BHAWANI ENTERPRISES Industrial Ink-Jet Printer Carries A Charge Find the strength of the electric field to produce. In our exercise, the ink droplet carries a charge of 1.6 × 10 − 10 c, which is a small but significant amount when discussing electric forces and. Find the strength of the electric field to. Industrial Ink-Jet Printer Carries A Charge.
From www.youtube.com
sellenis industrial ink jet printers YouTube Industrial Ink-Jet Printer Carries A Charge Find the strength of the electric field to produce. In our exercise, the ink droplet carries a charge of 1.6 × 10 − 10 c, which is a small but significant amount when discussing electric forces and. Find the strength of the electric field to. Industrial Ink-Jet Printer Carries A Charge.
From www.youtube.com
KGK Jet CCS3000 Industrial Ink jet printer for small character printing YouTube Industrial Ink-Jet Printer Carries A Charge Find the strength of the electric field to produce. Find the strength of the electric field to. In our exercise, the ink droplet carries a charge of 1.6 × 10 − 10 c, which is a small but significant amount when discussing electric forces and. Industrial Ink-Jet Printer Carries A Charge.
From www.chegg.com
Solved A droplet of ink in an industrial inkjet printer Industrial Ink-Jet Printer Carries A Charge Find the strength of the electric field to. Find the strength of the electric field to produce. In our exercise, the ink droplet carries a charge of 1.6 × 10 − 10 c, which is a small but significant amount when discussing electric forces and. Industrial Ink-Jet Printer Carries A Charge.
From www.numerade.com
SOLVED A droplet of ink in an industrial inkjet printer carries a charge of 1.6 × 10^10C and Industrial Ink-Jet Printer Carries A Charge In our exercise, the ink droplet carries a charge of 1.6 × 10 − 10 c, which is a small but significant amount when discussing electric forces and. Find the strength of the electric field to. Find the strength of the electric field to produce. Industrial Ink-Jet Printer Carries A Charge.
From www.arojet.net
latest industrial ink jet printer series bulk production Arojet Industrial Ink-Jet Printer Carries A Charge In our exercise, the ink droplet carries a charge of 1.6 × 10 − 10 c, which is a small but significant amount when discussing electric forces and. Find the strength of the electric field to produce. Find the strength of the electric field to. Industrial Ink-Jet Printer Carries A Charge.
From www.youtube.com
A droplet of ink in an industrial inkjet printer carries a charge of `1.6xx10^(6)C ` and is de Industrial Ink-Jet Printer Carries A Charge Find the strength of the electric field to produce. Find the strength of the electric field to. In our exercise, the ink droplet carries a charge of 1.6 × 10 − 10 c, which is a small but significant amount when discussing electric forces and. Industrial Ink-Jet Printer Carries A Charge.
From www.youtube.com
Sellenis HP TIJ 2.5 INDUSTRIAL INK JET PRINTERS YouTube Industrial Ink-Jet Printer Carries A Charge Find the strength of the electric field to. In our exercise, the ink droplet carries a charge of 1.6 × 10 − 10 c, which is a small but significant amount when discussing electric forces and. Find the strength of the electric field to produce. Industrial Ink-Jet Printer Carries A Charge.
From www.youtube.com
Industrial Inkjet Printer integrated with Conveyor Belt System YouTube Industrial Ink-Jet Printer Carries A Charge Find the strength of the electric field to. Find the strength of the electric field to produce. In our exercise, the ink droplet carries a charge of 1.6 × 10 − 10 c, which is a small but significant amount when discussing electric forces and. Industrial Ink-Jet Printer Carries A Charge.