Sample Activities For Online Classes . We curated 15 games for you and your remote students! From word games and puzzles to math challenges, we've got. Virtual classroom games are fun online activities or events teachers can organize for their students. Examples include simon says, scavenger hunts, and hangman. Looking for fun games to spice up your online classroom? With these online classroom games, activities, and ideas, you can take your lessons to the next level and increase student. Keep students from dozing off with 18 fun games to play at school online, including educational survival games, trivia polls, and fun word challenges. Games and activities to make lessons fun and creative while distance learning. So, as a new school year starts, we've put together this list of 21 online classroom games and activities your students will love! In this post, you'll find 100 elearning activities, templates and tutorials. Give students a break so they can relax and retain more during virtual school. They'll help you create elearning activities that lend themselves.
from www.allbusinesstemplates.com
With these online classroom games, activities, and ideas, you can take your lessons to the next level and increase student. Looking for fun games to spice up your online classroom? Give students a break so they can relax and retain more during virtual school. Examples include simon says, scavenger hunts, and hangman. So, as a new school year starts, we've put together this list of 21 online classroom games and activities your students will love! Keep students from dozing off with 18 fun games to play at school online, including educational survival games, trivia polls, and fun word challenges. In this post, you'll find 100 elearning activities, templates and tutorials. We curated 15 games for you and your remote students! From word games and puzzles to math challenges, we've got. They'll help you create elearning activities that lend themselves.
Project Activity List Template Templates at
Sample Activities For Online Classes Give students a break so they can relax and retain more during virtual school. Games and activities to make lessons fun and creative while distance learning. With these online classroom games, activities, and ideas, you can take your lessons to the next level and increase student. In this post, you'll find 100 elearning activities, templates and tutorials. They'll help you create elearning activities that lend themselves. From word games and puzzles to math challenges, we've got. Give students a break so they can relax and retain more during virtual school. Virtual classroom games are fun online activities or events teachers can organize for their students. Examples include simon says, scavenger hunts, and hangman. So, as a new school year starts, we've put together this list of 21 online classroom games and activities your students will love! Keep students from dozing off with 18 fun games to play at school online, including educational survival games, trivia polls, and fun word challenges. Looking for fun games to spice up your online classroom? We curated 15 games for you and your remote students!
From ksac.kiit.ac.in
10 Ways to CopeUp with Online Classes KIIT Student Activity Centre Sample Activities For Online Classes Examples include simon says, scavenger hunts, and hangman. Keep students from dozing off with 18 fun games to play at school online, including educational survival games, trivia polls, and fun word challenges. Games and activities to make lessons fun and creative while distance learning. Give students a break so they can relax and retain more during virtual school. With these. Sample Activities For Online Classes.
From www.pinterest.com
First Day of School Activities Middle School Back to School Night for Sample Activities For Online Classes They'll help you create elearning activities that lend themselves. Examples include simon says, scavenger hunts, and hangman. With these online classroom games, activities, and ideas, you can take your lessons to the next level and increase student. Looking for fun games to spice up your online classroom? In this post, you'll find 100 elearning activities, templates and tutorials. So, as. Sample Activities For Online Classes.
From www.slideteam.net
Fun Activities Online Classes In Powerpoint And Google Slides Cpb PPT Sample Activities For Online Classes From word games and puzzles to math challenges, we've got. Games and activities to make lessons fun and creative while distance learning. So, as a new school year starts, we've put together this list of 21 online classroom games and activities your students will love! In this post, you'll find 100 elearning activities, templates and tutorials. Virtual classroom games are. Sample Activities For Online Classes.
From www.collegeessayguy.com
How to Write a Successful Common App Activities List in 2024 Sample Activities For Online Classes In this post, you'll find 100 elearning activities, templates and tutorials. With these online classroom games, activities, and ideas, you can take your lessons to the next level and increase student. Examples include simon says, scavenger hunts, and hangman. So, as a new school year starts, we've put together this list of 21 online classroom games and activities your students. Sample Activities For Online Classes.
From www.signnow.com
Weekly Activities Examples Complete with ease airSlate SignNow Sample Activities For Online Classes Games and activities to make lessons fun and creative while distance learning. In this post, you'll find 100 elearning activities, templates and tutorials. Give students a break so they can relax and retain more during virtual school. With these online classroom games, activities, and ideas, you can take your lessons to the next level and increase student. They'll help you. Sample Activities For Online Classes.
From bloghong.com
21 Best Free Online Courses with Printable Certificates Sample Activities For Online Classes So, as a new school year starts, we've put together this list of 21 online classroom games and activities your students will love! Examples include simon says, scavenger hunts, and hangman. Looking for fun games to spice up your online classroom? Virtual classroom games are fun online activities or events teachers can organize for their students. Give students a break. Sample Activities For Online Classes.
From americasleaders.co
Smart Summer Camp Activities 2019 Sample Activities For Online Classes We curated 15 games for you and your remote students! Virtual classroom games are fun online activities or events teachers can organize for their students. Games and activities to make lessons fun and creative while distance learning. In this post, you'll find 100 elearning activities, templates and tutorials. With these online classroom games, activities, and ideas, you can take your. Sample Activities For Online Classes.
From starkidslearn.com
Classroom Activities for Teaching Sample Activities For Online Classes With these online classroom games, activities, and ideas, you can take your lessons to the next level and increase student. In this post, you'll find 100 elearning activities, templates and tutorials. Keep students from dozing off with 18 fun games to play at school online, including educational survival games, trivia polls, and fun word challenges. We curated 15 games for. Sample Activities For Online Classes.
From ayla-lane.blogspot.com
Activity Diagram Example For Online Ayla Lane Sample Activities For Online Classes Games and activities to make lessons fun and creative while distance learning. Keep students from dozing off with 18 fun games to play at school online, including educational survival games, trivia polls, and fun word challenges. In this post, you'll find 100 elearning activities, templates and tutorials. Looking for fun games to spice up your online classroom? We curated 15. Sample Activities For Online Classes.
From helpfulprofessor.com
12 Asynchronous Learning Examples, Strengths & Weaknesses (2024) Sample Activities For Online Classes We curated 15 games for you and your remote students! Looking for fun games to spice up your online classroom? With these online classroom games, activities, and ideas, you can take your lessons to the next level and increase student. They'll help you create elearning activities that lend themselves. So, as a new school year starts, we've put together this. Sample Activities For Online Classes.
From www.scribd.com
Activity Design Sample Activities For Online Classes Virtual classroom games are fun online activities or events teachers can organize for their students. From word games and puzzles to math challenges, we've got. Looking for fun games to spice up your online classroom? They'll help you create elearning activities that lend themselves. We curated 15 games for you and your remote students! Games and activities to make lessons. Sample Activities For Online Classes.
From www.teacherbythebeach.com
Class Schedule Freebie! Teacher by the Beach Sample Activities For Online Classes Give students a break so they can relax and retain more during virtual school. In this post, you'll find 100 elearning activities, templates and tutorials. Examples include simon says, scavenger hunts, and hangman. They'll help you create elearning activities that lend themselves. Keep students from dozing off with 18 fun games to play at school online, including educational survival games,. Sample Activities For Online Classes.
From pt.scribd.com
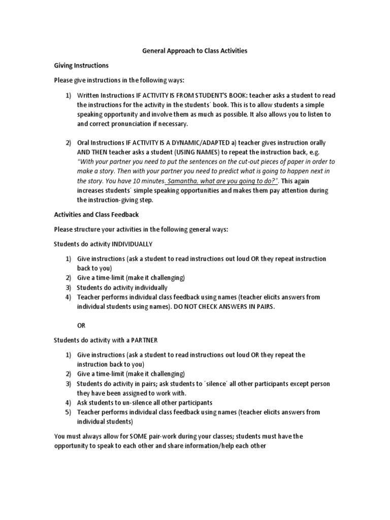
General Approach To Class Activities Online Courses PDF Question Sample Activities For Online Classes We curated 15 games for you and your remote students! From word games and puzzles to math challenges, we've got. So, as a new school year starts, we've put together this list of 21 online classroom games and activities your students will love! They'll help you create elearning activities that lend themselves. Keep students from dozing off with 18 fun. Sample Activities For Online Classes.
From www.pinterest.com
Being engaged during virtual learning is easy with these eight fun Sample Activities For Online Classes Examples include simon says, scavenger hunts, and hangman. So, as a new school year starts, we've put together this list of 21 online classroom games and activities your students will love! Virtual classroom games are fun online activities or events teachers can organize for their students. In this post, you'll find 100 elearning activities, templates and tutorials. With these online. Sample Activities For Online Classes.
From qurekaskool.com
Online vs offline education Discover meaning, differences, and superiority Sample Activities For Online Classes Virtual classroom games are fun online activities or events teachers can organize for their students. Keep students from dozing off with 18 fun games to play at school online, including educational survival games, trivia polls, and fun word challenges. With these online classroom games, activities, and ideas, you can take your lessons to the next level and increase student. Examples. Sample Activities For Online Classes.
From www.examples.com
Activity Sheet 11+ Examples, Format, Pdf Sample Activities For Online Classes Keep students from dozing off with 18 fun games to play at school online, including educational survival games, trivia polls, and fun word challenges. Looking for fun games to spice up your online classroom? Games and activities to make lessons fun and creative while distance learning. Examples include simon says, scavenger hunts, and hangman. We curated 15 games for you. Sample Activities For Online Classes.
From www.youtube.com
Online Class Some Ideas for Interactive Activities YouTube Sample Activities For Online Classes They'll help you create elearning activities that lend themselves. In this post, you'll find 100 elearning activities, templates and tutorials. With these online classroom games, activities, and ideas, you can take your lessons to the next level and increase student. Games and activities to make lessons fun and creative while distance learning. Keep students from dozing off with 18 fun. Sample Activities For Online Classes.
From www.pinterest.com
toddler lesson plan template Teacher lesson plans template, Weekly Sample Activities For Online Classes With these online classroom games, activities, and ideas, you can take your lessons to the next level and increase student. Give students a break so they can relax and retain more during virtual school. Looking for fun games to spice up your online classroom? So, as a new school year starts, we've put together this list of 21 online classroom. Sample Activities For Online Classes.
From www.bookwidgets.com
20 interactive teaching activities for in the interactive classroom Sample Activities For Online Classes Virtual classroom games are fun online activities or events teachers can organize for their students. So, as a new school year starts, we've put together this list of 21 online classroom games and activities your students will love! Keep students from dozing off with 18 fun games to play at school online, including educational survival games, trivia polls, and fun. Sample Activities For Online Classes.
From www.examples.com
Activity Sheet 11+ Examples, Format, Pdf Sample Activities For Online Classes Give students a break so they can relax and retain more during virtual school. With these online classroom games, activities, and ideas, you can take your lessons to the next level and increase student. They'll help you create elearning activities that lend themselves. So, as a new school year starts, we've put together this list of 21 online classroom games. Sample Activities For Online Classes.
From www.allbusinesstemplates.com
Project Activity List Template Templates at Sample Activities For Online Classes So, as a new school year starts, we've put together this list of 21 online classroom games and activities your students will love! They'll help you create elearning activities that lend themselves. Virtual classroom games are fun online activities or events teachers can organize for their students. Looking for fun games to spice up your online classroom? Examples include simon. Sample Activities For Online Classes.
From in.pinterest.com
Sample Class Timetable Toddler Town Class timetable, Preschool Sample Activities For Online Classes Keep students from dozing off with 18 fun games to play at school online, including educational survival games, trivia polls, and fun word challenges. They'll help you create elearning activities that lend themselves. Give students a break so they can relax and retain more during virtual school. We curated 15 games for you and your remote students! Looking for fun. Sample Activities For Online Classes.
From www.teacherph.com
DepEd Learning Activity Sheets (LAS) Sample Template TeacherPH Sample Activities For Online Classes Keep students from dozing off with 18 fun games to play at school online, including educational survival games, trivia polls, and fun word challenges. We curated 15 games for you and your remote students! Give students a break so they can relax and retain more during virtual school. They'll help you create elearning activities that lend themselves. In this post,. Sample Activities For Online Classes.
From www.allbusinesstemplates.com
Project Activity List Template Templates at Sample Activities For Online Classes Keep students from dozing off with 18 fun games to play at school online, including educational survival games, trivia polls, and fun word challenges. From word games and puzzles to math challenges, we've got. Examples include simon says, scavenger hunts, and hangman. Games and activities to make lessons fun and creative while distance learning. Looking for fun games to spice. Sample Activities For Online Classes.
From www.pinterest.com
Toddler/young preschooler lesson plan idea Daycare Lesson planning Sample Activities For Online Classes Games and activities to make lessons fun and creative while distance learning. From word games and puzzles to math challenges, we've got. Looking for fun games to spice up your online classroom? Keep students from dozing off with 18 fun games to play at school online, including educational survival games, trivia polls, and fun word challenges. Virtual classroom games are. Sample Activities For Online Classes.
From preply.com
8 Fun Warm Up Activities For Online English Classes Preply Sample Activities For Online Classes Examples include simon says, scavenger hunts, and hangman. Virtual classroom games are fun online activities or events teachers can organize for their students. Give students a break so they can relax and retain more during virtual school. With these online classroom games, activities, and ideas, you can take your lessons to the next level and increase student. From word games. Sample Activities For Online Classes.
From games.udlvirtual.edu.pe
Group Activities For Online Classes BEST GAMES WALKTHROUGH Sample Activities For Online Classes With these online classroom games, activities, and ideas, you can take your lessons to the next level and increase student. From word games and puzzles to math challenges, we've got. In this post, you'll find 100 elearning activities, templates and tutorials. We curated 15 games for you and your remote students! Give students a break so they can relax and. Sample Activities For Online Classes.
From www.teacherph.com
DepEd Sample Class Program and Teacher’s Schedule TeacherPH Sample Activities For Online Classes Examples include simon says, scavenger hunts, and hangman. So, as a new school year starts, we've put together this list of 21 online classroom games and activities your students will love! Give students a break so they can relax and retain more during virtual school. In this post, you'll find 100 elearning activities, templates and tutorials. Games and activities to. Sample Activities For Online Classes.
From www.scribd.com
lesson plan for open class day Leisure Entertainment (General) Sample Activities For Online Classes With these online classroom games, activities, and ideas, you can take your lessons to the next level and increase student. We curated 15 games for you and your remote students! Examples include simon says, scavenger hunts, and hangman. In this post, you'll find 100 elearning activities, templates and tutorials. So, as a new school year starts, we've put together this. Sample Activities For Online Classes.
From www.ah-studio.com
Lesson Plan Template For Elementary Here’s Why You Should Attend Lesson Sample Activities For Online Classes Virtual classroom games are fun online activities or events teachers can organize for their students. We curated 15 games for you and your remote students! So, as a new school year starts, we've put together this list of 21 online classroom games and activities your students will love! They'll help you create elearning activities that lend themselves. From word games. Sample Activities For Online Classes.
From www.geashillns.ie
Sample Activities Geashill National School Sample Activities For Online Classes Keep students from dozing off with 18 fun games to play at school online, including educational survival games, trivia polls, and fun word challenges. We curated 15 games for you and your remote students! They'll help you create elearning activities that lend themselves. Examples include simon says, scavenger hunts, and hangman. Virtual classroom games are fun online activities or events. Sample Activities For Online Classes.
From ar.inspiredpencil.com
Youth Camp Flyer Template Sample Activities For Online Classes In this post, you'll find 100 elearning activities, templates and tutorials. With these online classroom games, activities, and ideas, you can take your lessons to the next level and increase student. Looking for fun games to spice up your online classroom? From word games and puzzles to math challenges, we've got. So, as a new school year starts, we've put. Sample Activities For Online Classes.
From www.deped-click.com
LEARNING ACTIVITY SHEET Sample Template (Free Download) DepEd Click Sample Activities For Online Classes So, as a new school year starts, we've put together this list of 21 online classroom games and activities your students will love! Virtual classroom games are fun online activities or events teachers can organize for their students. Games and activities to make lessons fun and creative while distance learning. Give students a break so they can relax and retain. Sample Activities For Online Classes.
From www.create-learn.us
26 Best Free Online Classes for Kids Create & Learn Sample Activities For Online Classes From word games and puzzles to math challenges, we've got. So, as a new school year starts, we've put together this list of 21 online classroom games and activities your students will love! Virtual classroom games are fun online activities or events teachers can organize for their students. In this post, you'll find 100 elearning activities, templates and tutorials. Games. Sample Activities For Online Classes.
From www.slideshare.net
Activity proposal Sample Activities For Online Classes Looking for fun games to spice up your online classroom? So, as a new school year starts, we've put together this list of 21 online classroom games and activities your students will love! Virtual classroom games are fun online activities or events teachers can organize for their students. Examples include simon says, scavenger hunts, and hangman. Games and activities to. Sample Activities For Online Classes.