Do You Distribute First Or Parentheses . If you see parenthesis, with more than one term inside, then distribute first! Exponents (powers, roots) before multiply, divide, add or subtract. Rewrite your equations with like terms together. Do things in parentheses first. In algebra, we use the distributive property to remove parentheses as we simplify expressions. For expressions in the form of a (b+c), the distributive property shows us how to solve them by: The distributive property can help make numbers easier to solve because you are breaking the numbers into parts. In algebra, you can use the. Finally, get rid of the square bracket symbol by. So i had a discussion with my friend about whether we do parenthesis or exponents first. Take the sign in front of each term. For example, if we are asked to simplify the expression 3(x +. Apply the distributive property to the inner parentheses first, and combine like terms.
from www.youtube.com
For expressions in the form of a (b+c), the distributive property shows us how to solve them by: Finally, get rid of the square bracket symbol by. If you see parenthesis, with more than one term inside, then distribute first! So i had a discussion with my friend about whether we do parenthesis or exponents first. In algebra, you can use the. Exponents (powers, roots) before multiply, divide, add or subtract. Apply the distributive property to the inner parentheses first, and combine like terms. The distributive property can help make numbers easier to solve because you are breaking the numbers into parts. Rewrite your equations with like terms together. Do things in parentheses first.
How do parenthesis change our answer solve quadratic equations YouTube
Do You Distribute First Or Parentheses The distributive property can help make numbers easier to solve because you are breaking the numbers into parts. The distributive property can help make numbers easier to solve because you are breaking the numbers into parts. Do things in parentheses first. Finally, get rid of the square bracket symbol by. Take the sign in front of each term. Rewrite your equations with like terms together. So i had a discussion with my friend about whether we do parenthesis or exponents first. For expressions in the form of a (b+c), the distributive property shows us how to solve them by: In algebra, you can use the. Exponents (powers, roots) before multiply, divide, add or subtract. In algebra, we use the distributive property to remove parentheses as we simplify expressions. Apply the distributive property to the inner parentheses first, and combine like terms. For example, if we are asked to simplify the expression 3(x +. If you see parenthesis, with more than one term inside, then distribute first!
From eslgrammar.org
Parentheses Definition and Detailed Usage of Parentheses ESL Grammar Do You Distribute First Or Parentheses So i had a discussion with my friend about whether we do parenthesis or exponents first. In algebra, we use the distributive property to remove parentheses as we simplify expressions. For example, if we are asked to simplify the expression 3(x +. In algebra, you can use the. Exponents (powers, roots) before multiply, divide, add or subtract. If you see. Do You Distribute First Or Parentheses.
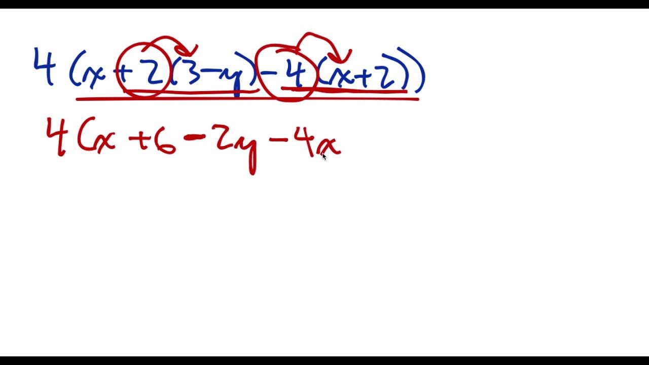
From www.youtube.com
Distributive Property Distributive Rule OpeningUp Parentheses Do You Distribute First Or Parentheses The distributive property can help make numbers easier to solve because you are breaking the numbers into parts. Exponents (powers, roots) before multiply, divide, add or subtract. If you see parenthesis, with more than one term inside, then distribute first! For expressions in the form of a (b+c), the distributive property shows us how to solve them by: Finally, get. Do You Distribute First Or Parentheses.
From www.assignmenthelp.net
Can follow these steps distribute the the terms inside the parentheses Do You Distribute First Or Parentheses Apply the distributive property to the inner parentheses first, and combine like terms. Exponents (powers, roots) before multiply, divide, add or subtract. Do things in parentheses first. For example, if we are asked to simplify the expression 3(x +. Finally, get rid of the square bracket symbol by. Rewrite your equations with like terms together. Take the sign in front. Do You Distribute First Or Parentheses.
From brainly.com
Solve the equation. 1. For parentheses Distribute 42(x+7) = 3(x+5) 2 Do You Distribute First Or Parentheses For expressions in the form of a (b+c), the distributive property shows us how to solve them by: In algebra, we use the distributive property to remove parentheses as we simplify expressions. Apply the distributive property to the inner parentheses first, and combine like terms. Do things in parentheses first. The distributive property can help make numbers easier to solve. Do You Distribute First Or Parentheses.
From www.youtube.com
Distribution Two Parentheses YouTube Do You Distribute First Or Parentheses In algebra, you can use the. The distributive property can help make numbers easier to solve because you are breaking the numbers into parts. Apply the distributive property to the inner parentheses first, and combine like terms. Do things in parentheses first. Take the sign in front of each term. So i had a discussion with my friend about whether. Do You Distribute First Or Parentheses.
From worksheetdbfloyd.z13.web.core.windows.net
When To Use Parentheses In An Equation Do You Distribute First Or Parentheses In algebra, you can use the. For example, if we are asked to simplify the expression 3(x +. For expressions in the form of a (b+c), the distributive property shows us how to solve them by: If you see parenthesis, with more than one term inside, then distribute first! The distributive property can help make numbers easier to solve because. Do You Distribute First Or Parentheses.
From acehlc.com
Penggunaan parentheses dan bracket dalam Bahasa Inggris AcehLC Do You Distribute First Or Parentheses Finally, get rid of the square bracket symbol by. Apply the distributive property to the inner parentheses first, and combine like terms. In algebra, you can use the. Rewrite your equations with like terms together. In algebra, we use the distributive property to remove parentheses as we simplify expressions. If you see parenthesis, with more than one term inside, then. Do You Distribute First Or Parentheses.
From study.com
Parentheses in Math Rules & Examples Video & Lesson Transcript Do You Distribute First Or Parentheses For expressions in the form of a (b+c), the distributive property shows us how to solve them by: In algebra, we use the distributive property to remove parentheses as we simplify expressions. Finally, get rid of the square bracket symbol by. Apply the distributive property to the inner parentheses first, and combine like terms. So i had a discussion with. Do You Distribute First Or Parentheses.
From grammarbrain.com
Brackets vs. Parentheses (Grammar Rules, Differences, Examples Do You Distribute First Or Parentheses Finally, get rid of the square bracket symbol by. In algebra, we use the distributive property to remove parentheses as we simplify expressions. Rewrite your equations with like terms together. The distributive property can help make numbers easier to solve because you are breaking the numbers into parts. If you see parenthesis, with more than one term inside, then distribute. Do You Distribute First Or Parentheses.
From studyritualizes.z4.web.core.windows.net
Can You Distribute Exponents In Parentheses Do You Distribute First Or Parentheses Do things in parentheses first. The distributive property can help make numbers easier to solve because you are breaking the numbers into parts. In algebra, you can use the. Rewrite your equations with like terms together. Finally, get rid of the square bracket symbol by. For expressions in the form of a (b+c), the distributive property shows us how to. Do You Distribute First Or Parentheses.
From www.youtube.com
How to distribute exponents into parenthesesDistribute exponents in Do You Distribute First Or Parentheses If you see parenthesis, with more than one term inside, then distribute first! Rewrite your equations with like terms together. Finally, get rid of the square bracket symbol by. So i had a discussion with my friend about whether we do parenthesis or exponents first. In algebra, you can use the. For example, if we are asked to simplify the. Do You Distribute First Or Parentheses.
From www.youtube.com
Distributing Parentheses Within Parentheses YouTube Do You Distribute First Or Parentheses For example, if we are asked to simplify the expression 3(x +. Finally, get rid of the square bracket symbol by. If you see parenthesis, with more than one term inside, then distribute first! Rewrite your equations with like terms together. In algebra, we use the distributive property to remove parentheses as we simplify expressions. Exponents (powers, roots) before multiply,. Do You Distribute First Or Parentheses.
From papertyper.net
General Use of Parentheses in Academic Writing Do You Distribute First Or Parentheses Rewrite your equations with like terms together. Do things in parentheses first. So i had a discussion with my friend about whether we do parenthesis or exponents first. For example, if we are asked to simplify the expression 3(x +. In algebra, we use the distributive property to remove parentheses as we simplify expressions. Finally, get rid of the square. Do You Distribute First Or Parentheses.
From fyodbiycc.blob.core.windows.net
Do You Solve Parentheses Or Brackets First at Jimmy Shelton blog Do You Distribute First Or Parentheses Exponents (powers, roots) before multiply, divide, add or subtract. The distributive property can help make numbers easier to solve because you are breaking the numbers into parts. Finally, get rid of the square bracket symbol by. Rewrite your equations with like terms together. Do things in parentheses first. So i had a discussion with my friend about whether we do. Do You Distribute First Or Parentheses.
From www.yourdictionary.com
How and When To Use Parentheses ( ) YourDictionary Do You Distribute First Or Parentheses Apply the distributive property to the inner parentheses first, and combine like terms. For expressions in the form of a (b+c), the distributive property shows us how to solve them by: In algebra, we use the distributive property to remove parentheses as we simplify expressions. Rewrite your equations with like terms together. For example, if we are asked to simplify. Do You Distribute First Or Parentheses.
From www.youtube.com
Using Parentheses in Math YouTube Do You Distribute First Or Parentheses For expressions in the form of a (b+c), the distributive property shows us how to solve them by: Rewrite your equations with like terms together. Exponents (powers, roots) before multiply, divide, add or subtract. Finally, get rid of the square bracket symbol by. If you see parenthesis, with more than one term inside, then distribute first! So i had a. Do You Distribute First Or Parentheses.
From www.youtube.com
Distributing Variables YouTube Do You Distribute First Or Parentheses Take the sign in front of each term. Rewrite your equations with like terms together. Exponents (powers, roots) before multiply, divide, add or subtract. For example, if we are asked to simplify the expression 3(x +. The distributive property can help make numbers easier to solve because you are breaking the numbers into parts. So i had a discussion with. Do You Distribute First Or Parentheses.
From slideplayer.com
Multiplying Polynomials ppt download Do You Distribute First Or Parentheses Apply the distributive property to the inner parentheses first, and combine like terms. Take the sign in front of each term. Finally, get rid of the square bracket symbol by. For expressions in the form of a (b+c), the distributive property shows us how to solve them by: So i had a discussion with my friend about whether we do. Do You Distribute First Or Parentheses.
From www.youtube.com
How to Distribute when the Number is Behind the Parenthesis YouTube Do You Distribute First Or Parentheses So i had a discussion with my friend about whether we do parenthesis or exponents first. For example, if we are asked to simplify the expression 3(x +. For expressions in the form of a (b+c), the distributive property shows us how to solve them by: Take the sign in front of each term. Exponents (powers, roots) before multiply, divide,. Do You Distribute First Or Parentheses.
From www.yourdictionary.com
How and When To Use Brackets In Grammar [ ] YourDictionary Do You Distribute First Or Parentheses In algebra, you can use the. For example, if we are asked to simplify the expression 3(x +. Take the sign in front of each term. The distributive property can help make numbers easier to solve because you are breaking the numbers into parts. In algebra, we use the distributive property to remove parentheses as we simplify expressions. Do things. Do You Distribute First Or Parentheses.
From www.slideserve.com
PPT Punctuation rules PowerPoint Presentation ID4575417 Do You Distribute First Or Parentheses For example, if we are asked to simplify the expression 3(x +. Finally, get rid of the square bracket symbol by. In algebra, we use the distributive property to remove parentheses as we simplify expressions. Take the sign in front of each term. So i had a discussion with my friend about whether we do parenthesis or exponents first. In. Do You Distribute First Or Parentheses.
From www.slideserve.com
PPT Order of Operations PowerPoint Presentation, free download ID Do You Distribute First Or Parentheses Rewrite your equations with like terms together. For expressions in the form of a (b+c), the distributive property shows us how to solve them by: Exponents (powers, roots) before multiply, divide, add or subtract. The distributive property can help make numbers easier to solve because you are breaking the numbers into parts. Apply the distributive property to the inner parentheses. Do You Distribute First Or Parentheses.
From brainly.com
Solve the equation. 1. For parentheses 7h5(3h8) = 72 Distribute 2 Do You Distribute First Or Parentheses In algebra, we use the distributive property to remove parentheses as we simplify expressions. If you see parenthesis, with more than one term inside, then distribute first! The distributive property can help make numbers easier to solve because you are breaking the numbers into parts. For example, if we are asked to simplify the expression 3(x +. So i had. Do You Distribute First Or Parentheses.
From study.com
Solving Equations Containing Parentheses Video & Lesson Transcript Do You Distribute First Or Parentheses Do things in parentheses first. Apply the distributive property to the inner parentheses first, and combine like terms. If you see parenthesis, with more than one term inside, then distribute first! So i had a discussion with my friend about whether we do parenthesis or exponents first. Rewrite your equations with like terms together. The distributive property can help make. Do You Distribute First Or Parentheses.
From guides.brit.co
How to distribute B+C Guides Do You Distribute First Or Parentheses Do things in parentheses first. Exponents (powers, roots) before multiply, divide, add or subtract. In algebra, you can use the. The distributive property can help make numbers easier to solve because you are breaking the numbers into parts. In algebra, we use the distributive property to remove parentheses as we simplify expressions. Take the sign in front of each term.. Do You Distribute First Or Parentheses.
From www.expii.com
Simplify with Distributive Property Examples & Practice Expii Do You Distribute First Or Parentheses Take the sign in front of each term. Exponents (powers, roots) before multiply, divide, add or subtract. If you see parenthesis, with more than one term inside, then distribute first! Rewrite your equations with like terms together. The distributive property can help make numbers easier to solve because you are breaking the numbers into parts. In algebra, we use the. Do You Distribute First Or Parentheses.
From 7esl.com
Parentheses () When To Use Parentheses In English 7 E S L Do You Distribute First Or Parentheses Take the sign in front of each term. The distributive property can help make numbers easier to solve because you are breaking the numbers into parts. So i had a discussion with my friend about whether we do parenthesis or exponents first. Exponents (powers, roots) before multiply, divide, add or subtract. In algebra, we use the distributive property to remove. Do You Distribute First Or Parentheses.
From www.youtube.com
Using Parenthesis in Math Order of Operations [573] YouTube Do You Distribute First Or Parentheses The distributive property can help make numbers easier to solve because you are breaking the numbers into parts. Finally, get rid of the square bracket symbol by. In algebra, we use the distributive property to remove parentheses as we simplify expressions. Take the sign in front of each term. For expressions in the form of a (b+c), the distributive property. Do You Distribute First Or Parentheses.
From www.grammar-monster.com
Parenthesis Explanation and Examples Do You Distribute First Or Parentheses If you see parenthesis, with more than one term inside, then distribute first! So i had a discussion with my friend about whether we do parenthesis or exponents first. Rewrite your equations with like terms together. The distributive property can help make numbers easier to solve because you are breaking the numbers into parts. In algebra, you can use the.. Do You Distribute First Or Parentheses.
From www.youtube.com
How do parenthesis change our answer solve quadratic equations YouTube Do You Distribute First Or Parentheses Do things in parentheses first. If you see parenthesis, with more than one term inside, then distribute first! The distributive property can help make numbers easier to solve because you are breaking the numbers into parts. Apply the distributive property to the inner parentheses first, and combine like terms. So i had a discussion with my friend about whether we. Do You Distribute First Or Parentheses.
From study.com
Using Parentheses in Math Rules & Examples Video & Lesson Transcript Do You Distribute First Or Parentheses If you see parenthesis, with more than one term inside, then distribute first! In algebra, we use the distributive property to remove parentheses as we simplify expressions. Do things in parentheses first. Exponents (powers, roots) before multiply, divide, add or subtract. In algebra, you can use the. Apply the distributive property to the inner parentheses first, and combine like terms.. Do You Distribute First Or Parentheses.
From word.tips
When to Use Brackets and Parentheses Examples Grammar Do You Distribute First Or Parentheses Take the sign in front of each term. Do things in parentheses first. Apply the distributive property to the inner parentheses first, and combine like terms. In algebra, you can use the. The distributive property can help make numbers easier to solve because you are breaking the numbers into parts. If you see parenthesis, with more than one term inside,. Do You Distribute First Or Parentheses.
From www.slideserve.com
PPT Unit 6 Math Vocabulary PowerPoint Presentation, free download Do You Distribute First Or Parentheses The distributive property can help make numbers easier to solve because you are breaking the numbers into parts. Take the sign in front of each term. Finally, get rid of the square bracket symbol by. If you see parenthesis, with more than one term inside, then distribute first! In algebra, we use the distributive property to remove parentheses as we. Do You Distribute First Or Parentheses.
From www.youtube.com
How To Distribute in Algebra Distribution with Parentheses Made Easy Do You Distribute First Or Parentheses If you see parenthesis, with more than one term inside, then distribute first! So i had a discussion with my friend about whether we do parenthesis or exponents first. In algebra, we use the distributive property to remove parentheses as we simplify expressions. The distributive property can help make numbers easier to solve because you are breaking the numbers into. Do You Distribute First Or Parentheses.
From printablelibfigures.z19.web.core.windows.net
Do You Use Parentheses And Commas Do You Distribute First Or Parentheses In algebra, you can use the. Do things in parentheses first. Exponents (powers, roots) before multiply, divide, add or subtract. Finally, get rid of the square bracket symbol by. For example, if we are asked to simplify the expression 3(x +. In algebra, we use the distributive property to remove parentheses as we simplify expressions. For expressions in the form. Do You Distribute First Or Parentheses.