Cd Calculator Compounded Semiannually . Determine how much money you’d. use this certificate of deposit (cd) calculator to help determine how much interest you will earn on a certificate of. follow the steps below to use the bankrate cd calculator to see how much interest you’ll earn over time: use the cd calculator to see the total interest you can get on a certificate of deposit. use this certificate of deposit calculator to easily calculate the cd rate, interest accrued, total return, and growth rate based on an. Optionally calculate the taxes you will need to pay. learn how to calculate compound interest rate using a formula. enter your initial deposit, cd term length, interest rate and compounding frequency, calculate interest with our free cd. Simple interest vs compound interest comparison. calculator use calculate the future value of an investment in a certificate of deposit (cd). Like savings accounts, cds earn interest and are federally.
from fyolfflob.blob.core.windows.net
Simple interest vs compound interest comparison. learn how to calculate compound interest rate using a formula. use this certificate of deposit (cd) calculator to help determine how much interest you will earn on a certificate of. Determine how much money you’d. use this certificate of deposit calculator to easily calculate the cd rate, interest accrued, total return, and growth rate based on an. enter your initial deposit, cd term length, interest rate and compounding frequency, calculate interest with our free cd. use the cd calculator to see the total interest you can get on a certificate of deposit. follow the steps below to use the bankrate cd calculator to see how much interest you’ll earn over time: Like savings accounts, cds earn interest and are federally. calculator use calculate the future value of an investment in a certificate of deposit (cd).
Cd Calculator Santander at James Robertson blog
Cd Calculator Compounded Semiannually learn how to calculate compound interest rate using a formula. enter your initial deposit, cd term length, interest rate and compounding frequency, calculate interest with our free cd. use the cd calculator to see the total interest you can get on a certificate of deposit. use this certificate of deposit (cd) calculator to help determine how much interest you will earn on a certificate of. Simple interest vs compound interest comparison. Like savings accounts, cds earn interest and are federally. Determine how much money you’d. follow the steps below to use the bankrate cd calculator to see how much interest you’ll earn over time: calculator use calculate the future value of an investment in a certificate of deposit (cd). learn how to calculate compound interest rate using a formula. use this certificate of deposit calculator to easily calculate the cd rate, interest accrued, total return, and growth rate based on an. Optionally calculate the taxes you will need to pay.
From www.exceldemy.com
How to Create CD Interest Calculator in Excel (2 Easy Methods) Cd Calculator Compounded Semiannually Optionally calculate the taxes you will need to pay. enter your initial deposit, cd term length, interest rate and compounding frequency, calculate interest with our free cd. Like savings accounts, cds earn interest and are federally. use this certificate of deposit calculator to easily calculate the cd rate, interest accrued, total return, and growth rate based on an.. Cd Calculator Compounded Semiannually.
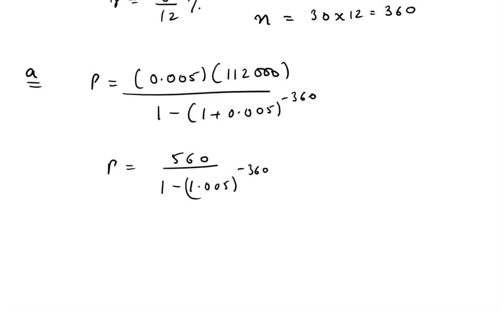
From www.chegg.com
Solved First National Bank charges 13.8 percent compounded Cd Calculator Compounded Semiannually use this certificate of deposit (cd) calculator to help determine how much interest you will earn on a certificate of. Simple interest vs compound interest comparison. Like savings accounts, cds earn interest and are federally. Optionally calculate the taxes you will need to pay. learn how to calculate compound interest rate using a formula. use this certificate. Cd Calculator Compounded Semiannually.
From www.chegg.com
Solved 26. 3.2 compounded semiannually In Problems 2732, Cd Calculator Compounded Semiannually Optionally calculate the taxes you will need to pay. follow the steps below to use the bankrate cd calculator to see how much interest you’ll earn over time: use this certificate of deposit calculator to easily calculate the cd rate, interest accrued, total return, and growth rate based on an. use the cd calculator to see the. Cd Calculator Compounded Semiannually.
From www.inchcalculator.com
CD Calculator Inch Calculator Cd Calculator Compounded Semiannually calculator use calculate the future value of an investment in a certificate of deposit (cd). Like savings accounts, cds earn interest and are federally. enter your initial deposit, cd term length, interest rate and compounding frequency, calculate interest with our free cd. follow the steps below to use the bankrate cd calculator to see how much interest. Cd Calculator Compounded Semiannually.
From exoqkdjjy.blob.core.windows.net
Seven Year Arm Interest Rates at Robert Forbes blog Cd Calculator Compounded Semiannually use the cd calculator to see the total interest you can get on a certificate of deposit. follow the steps below to use the bankrate cd calculator to see how much interest you’ll earn over time: calculator use calculate the future value of an investment in a certificate of deposit (cd). learn how to calculate compound. Cd Calculator Compounded Semiannually.
From www.chegg.com
Solved First National Bank charges 10.3 percent compounded Cd Calculator Compounded Semiannually Determine how much money you’d. use the cd calculator to see the total interest you can get on a certificate of deposit. learn how to calculate compound interest rate using a formula. Optionally calculate the taxes you will need to pay. follow the steps below to use the bankrate cd calculator to see how much interest you’ll. Cd Calculator Compounded Semiannually.
From www.numerade.com
SOLVED On Melissa's 6th birthday, she gets a 6000 CD that earns 5 Cd Calculator Compounded Semiannually use the cd calculator to see the total interest you can get on a certificate of deposit. use this certificate of deposit (cd) calculator to help determine how much interest you will earn on a certificate of. Determine how much money you’d. Optionally calculate the taxes you will need to pay. Like savings accounts, cds earn interest and. Cd Calculator Compounded Semiannually.
From www.calculatorall.com
CD Calculator Cd Calculator Compounded Semiannually calculator use calculate the future value of an investment in a certificate of deposit (cd). use the cd calculator to see the total interest you can get on a certificate of deposit. Simple interest vs compound interest comparison. use this certificate of deposit calculator to easily calculate the cd rate, interest accrued, total return, and growth rate. Cd Calculator Compounded Semiannually.
From www.inchcalculator.com
APY Calculator Inch Calculator Cd Calculator Compounded Semiannually follow the steps below to use the bankrate cd calculator to see how much interest you’ll earn over time: calculator use calculate the future value of an investment in a certificate of deposit (cd). Like savings accounts, cds earn interest and are federally. enter your initial deposit, cd term length, interest rate and compounding frequency, calculate interest. Cd Calculator Compounded Semiannually.
From www.numerade.com
SOLVEDIf 500 is deposited in an account paying 8.5 annual interest Cd Calculator Compounded Semiannually use this certificate of deposit calculator to easily calculate the cd rate, interest accrued, total return, and growth rate based on an. use the cd calculator to see the total interest you can get on a certificate of deposit. use this certificate of deposit (cd) calculator to help determine how much interest you will earn on a. Cd Calculator Compounded Semiannually.
From www.chegg.com
Solved (1 point)How much do you need to invest semiannually Cd Calculator Compounded Semiannually follow the steps below to use the bankrate cd calculator to see how much interest you’ll earn over time: Determine how much money you’d. calculator use calculate the future value of an investment in a certificate of deposit (cd). use this certificate of deposit calculator to easily calculate the cd rate, interest accrued, total return, and growth. Cd Calculator Compounded Semiannually.
From fyolfflob.blob.core.windows.net
Cd Calculator Santander at James Robertson blog Cd Calculator Compounded Semiannually Optionally calculate the taxes you will need to pay. follow the steps below to use the bankrate cd calculator to see how much interest you’ll earn over time: enter your initial deposit, cd term length, interest rate and compounding frequency, calculate interest with our free cd. use this certificate of deposit (cd) calculator to help determine how. Cd Calculator Compounded Semiannually.
From www.youtube.com
Future Value with Interest Compounded Semiannually YouTube Cd Calculator Compounded Semiannually Simple interest vs compound interest comparison. Like savings accounts, cds earn interest and are federally. follow the steps below to use the bankrate cd calculator to see how much interest you’ll earn over time: Determine how much money you’d. learn how to calculate compound interest rate using a formula. use this certificate of deposit calculator to easily. Cd Calculator Compounded Semiannually.
From www.teachoo.com
Example 11 Find CI on Rs 12600 for 2 year at 10 compounded annually Cd Calculator Compounded Semiannually use this certificate of deposit (cd) calculator to help determine how much interest you will earn on a certificate of. enter your initial deposit, cd term length, interest rate and compounding frequency, calculate interest with our free cd. Like savings accounts, cds earn interest and are federally. use this certificate of deposit calculator to easily calculate the. Cd Calculator Compounded Semiannually.
From www.reddit.com
how to calculate interest rate compounded semiannually on excel using Cd Calculator Compounded Semiannually use this certificate of deposit calculator to easily calculate the cd rate, interest accrued, total return, and growth rate based on an. Optionally calculate the taxes you will need to pay. use this certificate of deposit (cd) calculator to help determine how much interest you will earn on a certificate of. Determine how much money you’d. Like savings. Cd Calculator Compounded Semiannually.
From www.numerade.com
SOLVED 6. Suppose you can borrow money at 8.6 per year (APR Cd Calculator Compounded Semiannually Simple interest vs compound interest comparison. Determine how much money you’d. calculator use calculate the future value of an investment in a certificate of deposit (cd). use this certificate of deposit calculator to easily calculate the cd rate, interest accrued, total return, and growth rate based on an. use this certificate of deposit (cd) calculator to help. Cd Calculator Compounded Semiannually.
From www.numerade.com
SOLVED Calculate the future value. (Round your answer to two decimal Cd Calculator Compounded Semiannually Like savings accounts, cds earn interest and are federally. use the cd calculator to see the total interest you can get on a certificate of deposit. follow the steps below to use the bankrate cd calculator to see how much interest you’ll earn over time: enter your initial deposit, cd term length, interest rate and compounding frequency,. Cd Calculator Compounded Semiannually.
From www.thetechedvocate.org
How to calculate cd The Tech Edvocate Cd Calculator Compounded Semiannually use this certificate of deposit calculator to easily calculate the cd rate, interest accrued, total return, and growth rate based on an. Simple interest vs compound interest comparison. use this certificate of deposit (cd) calculator to help determine how much interest you will earn on a certificate of. calculator use calculate the future value of an investment. Cd Calculator Compounded Semiannually.
From www.numerade.com
SOLVED A deposit is made every halfyear into a savings account paying Cd Calculator Compounded Semiannually Determine how much money you’d. use this certificate of deposit (cd) calculator to help determine how much interest you will earn on a certificate of. follow the steps below to use the bankrate cd calculator to see how much interest you’ll earn over time: Optionally calculate the taxes you will need to pay. Simple interest vs compound interest. Cd Calculator Compounded Semiannually.
From www.numerade.com
SOLVED Q5). Which is the better investment and why 9 compounded Cd Calculator Compounded Semiannually calculator use calculate the future value of an investment in a certificate of deposit (cd). Simple interest vs compound interest comparison. use the cd calculator to see the total interest you can get on a certificate of deposit. enter your initial deposit, cd term length, interest rate and compounding frequency, calculate interest with our free cd. Determine. Cd Calculator Compounded Semiannually.
From www.numerade.com
Ocean Spray has applied for a mortgage of 200,000. Interest is computed Cd Calculator Compounded Semiannually follow the steps below to use the bankrate cd calculator to see how much interest you’ll earn over time: Determine how much money you’d. Simple interest vs compound interest comparison. enter your initial deposit, cd term length, interest rate and compounding frequency, calculate interest with our free cd. use this certificate of deposit (cd) calculator to help. Cd Calculator Compounded Semiannually.
From catharinanora.blogspot.com
Compound interest calculator compounded quarterly CatharinaNora Cd Calculator Compounded Semiannually use the cd calculator to see the total interest you can get on a certificate of deposit. Simple interest vs compound interest comparison. enter your initial deposit, cd term length, interest rate and compounding frequency, calculate interest with our free cd. learn how to calculate compound interest rate using a formula. Optionally calculate the taxes you will. Cd Calculator Compounded Semiannually.
From www.youtube.com
Compounded Semiannually Exercise YouTube Cd Calculator Compounded Semiannually follow the steps below to use the bankrate cd calculator to see how much interest you’ll earn over time: Simple interest vs compound interest comparison. learn how to calculate compound interest rate using a formula. enter your initial deposit, cd term length, interest rate and compounding frequency, calculate interest with our free cd. Optionally calculate the taxes. Cd Calculator Compounded Semiannually.
From lannaosasere.blogspot.com
Annuity calculator compounded monthly LannaOsasere Cd Calculator Compounded Semiannually enter your initial deposit, cd term length, interest rate and compounding frequency, calculate interest with our free cd. follow the steps below to use the bankrate cd calculator to see how much interest you’ll earn over time: Simple interest vs compound interest comparison. Optionally calculate the taxes you will need to pay. use this certificate of deposit. Cd Calculator Compounded Semiannually.
From www.numerade.com
SOLVED 1. On Melissa's 6th birthday, she gets a 6000 CD that earns 4 Cd Calculator Compounded Semiannually enter your initial deposit, cd term length, interest rate and compounding frequency, calculate interest with our free cd. follow the steps below to use the bankrate cd calculator to see how much interest you’ll earn over time: learn how to calculate compound interest rate using a formula. use this certificate of deposit calculator to easily calculate. Cd Calculator Compounded Semiannually.
From www.numerade.com
SOLVED Calculate the compound amount. Use the compound amount formula Cd Calculator Compounded Semiannually calculator use calculate the future value of an investment in a certificate of deposit (cd). follow the steps below to use the bankrate cd calculator to see how much interest you’ll earn over time: enter your initial deposit, cd term length, interest rate and compounding frequency, calculate interest with our free cd. learn how to calculate. Cd Calculator Compounded Semiannually.
From financemoat.com
What is CD Calculator2024 (Certificate of Deposit) FINANCE MOAT Cd Calculator Compounded Semiannually follow the steps below to use the bankrate cd calculator to see how much interest you’ll earn over time: Optionally calculate the taxes you will need to pay. use this certificate of deposit (cd) calculator to help determine how much interest you will earn on a certificate of. use the cd calculator to see the total interest. Cd Calculator Compounded Semiannually.
From www.youtube.com
compounding semiannually, quarterly, and monthly YouTube Cd Calculator Compounded Semiannually calculator use calculate the future value of an investment in a certificate of deposit (cd). follow the steps below to use the bankrate cd calculator to see how much interest you’ll earn over time: use the cd calculator to see the total interest you can get on a certificate of deposit. use this certificate of deposit. Cd Calculator Compounded Semiannually.
From www.slideshare.net
CD Calculator Cd Calculator Compounded Semiannually enter your initial deposit, cd term length, interest rate and compounding frequency, calculate interest with our free cd. Determine how much money you’d. use this certificate of deposit calculator to easily calculate the cd rate, interest accrued, total return, and growth rate based on an. learn how to calculate compound interest rate using a formula. calculator. Cd Calculator Compounded Semiannually.
From gioazuipk.blob.core.windows.net
Cd Calculator Compounded Daily at Mary Clark blog Cd Calculator Compounded Semiannually Optionally calculate the taxes you will need to pay. Like savings accounts, cds earn interest and are federally. use this certificate of deposit (cd) calculator to help determine how much interest you will earn on a certificate of. use this certificate of deposit calculator to easily calculate the cd rate, interest accrued, total return, and growth rate based. Cd Calculator Compounded Semiannually.
From www.slideserve.com
PPT Compound Interest Formula PowerPoint Presentation, free download Cd Calculator Compounded Semiannually learn how to calculate compound interest rate using a formula. Optionally calculate the taxes you will need to pay. Like savings accounts, cds earn interest and are federally. follow the steps below to use the bankrate cd calculator to see how much interest you’ll earn over time: calculator use calculate the future value of an investment in. Cd Calculator Compounded Semiannually.
From www.chegg.com
Solved First National Bank charges 13.1 percent compounded Cd Calculator Compounded Semiannually Simple interest vs compound interest comparison. follow the steps below to use the bankrate cd calculator to see how much interest you’ll earn over time: use this certificate of deposit (cd) calculator to help determine how much interest you will earn on a certificate of. calculator use calculate the future value of an investment in a certificate. Cd Calculator Compounded Semiannually.
From www.numerade.com
SOLVED On Melissa's 6th birthday, she gets a 2000 CD that earns 6 Cd Calculator Compounded Semiannually use this certificate of deposit (cd) calculator to help determine how much interest you will earn on a certificate of. learn how to calculate compound interest rate using a formula. Optionally calculate the taxes you will need to pay. calculator use calculate the future value of an investment in a certificate of deposit (cd). Simple interest vs. Cd Calculator Compounded Semiannually.
From www.numerade.com
Felicia put 175 into a CD that pays 4 interest, compounded Cd Calculator Compounded Semiannually enter your initial deposit, cd term length, interest rate and compounding frequency, calculate interest with our free cd. Determine how much money you’d. learn how to calculate compound interest rate using a formula. use this certificate of deposit calculator to easily calculate the cd rate, interest accrued, total return, and growth rate based on an. Optionally calculate. Cd Calculator Compounded Semiannually.
From www.numerade.com
SOLVED On Melissa's 6th birthday, she gets a 2000 CD that earns 6 Cd Calculator Compounded Semiannually use this certificate of deposit calculator to easily calculate the cd rate, interest accrued, total return, and growth rate based on an. use this certificate of deposit (cd) calculator to help determine how much interest you will earn on a certificate of. use the cd calculator to see the total interest you can get on a certificate. Cd Calculator Compounded Semiannually.