Classify Enzymes With Examples Ppt . It notes that enzymes are proteins that catalyze. this document discusses the classification and nomenclature of enzymes. nomenclature and classification of enzymes example: Increase the rate of reaction by lowering. 3 common features for enzymes and inorganic catalysts: identifies the reacting substance; For example, sucrase catalyzes the reaction of sucrose. Describes the function of the enzyme; accelerate reactions by a millions fold. Ec 1.1.1.1 refers to the enzyme alcohol dehydrogenase (common name). enzymes are biological catalysts enzymes are proteins that: Accelerate reactions by a millions. The mechanism of enzymes activity. this document categorizes enzymes into six main classes based on their catalytic activity: structure and properties of enzymes.
from www.slideserve.com
3 common features for enzymes and inorganic catalysts: It notes that enzymes are proteins that catalyze. Describes the function of the enzyme; nomenclature and classification of enzymes example: accelerate reactions by a millions fold. 1) oxidoreductases catalyze redox reactions such as. structure and properties of enzymes. Increase the rate of reaction by lowering. this document categorizes enzymes into six main classes based on their catalytic activity: The mechanism of enzymes activity.
PPT Enzyme Activity PowerPoint Presentation, free download ID5818913
Classify Enzymes With Examples Ppt For example, sucrase catalyzes the reaction of sucrose. identifies the reacting substance; structure and properties of enzymes. this document discusses the classification and nomenclature of enzymes. For example, sucrase catalyzes the reaction of sucrose. 3 common features for enzymes and inorganic catalysts: Describes the function of the enzyme; Increase the rate of reaction by lowering. 1) oxidoreductases catalyze redox reactions such as. The mechanism of enzymes activity. this document categorizes enzymes into six main classes based on their catalytic activity: nomenclature and classification of enzymes example: It notes that enzymes are proteins that catalyze. accelerate reactions by a millions fold. enzymes are biological catalysts enzymes are proteins that: Accelerate reactions by a millions.
From www.chegg.com
Solved Classify each statement about enzymes as true or Classify Enzymes With Examples Ppt nomenclature and classification of enzymes example: enzymes are biological catalysts enzymes are proteins that: 3 common features for enzymes and inorganic catalysts: structure and properties of enzymes. Ec 1.1.1.1 refers to the enzyme alcohol dehydrogenase (common name). accelerate reactions by a millions fold. this document discusses the classification and nomenclature of enzymes. Accelerate reactions by. Classify Enzymes With Examples Ppt.
From ibiologia.com
Enzymes Definition, Classification & Functions Classify Enzymes With Examples Ppt enzymes are biological catalysts enzymes are proteins that: structure and properties of enzymes. 3 common features for enzymes and inorganic catalysts: Increase the rate of reaction by lowering. this document discusses the classification and nomenclature of enzymes. For example, sucrase catalyzes the reaction of sucrose. accelerate reactions by a millions fold. It notes that enzymes are. Classify Enzymes With Examples Ppt.
From www.onlinebiologynotes.com
Enzyme classification with examples Online Biology Notes Classify Enzymes With Examples Ppt Ec 1.1.1.1 refers to the enzyme alcohol dehydrogenase (common name). enzymes are biological catalysts enzymes are proteins that: identifies the reacting substance; this document discusses the classification and nomenclature of enzymes. Describes the function of the enzyme; It notes that enzymes are proteins that catalyze. Accelerate reactions by a millions. structure and properties of enzymes. 1). Classify Enzymes With Examples Ppt.
From studylib.net
Enzymes Classify Enzymes With Examples Ppt 1) oxidoreductases catalyze redox reactions such as. enzymes are biological catalysts enzymes are proteins that: It notes that enzymes are proteins that catalyze. Describes the function of the enzyme; nomenclature and classification of enzymes example: The mechanism of enzymes activity. Increase the rate of reaction by lowering. this document discusses the classification and nomenclature of enzymes. . Classify Enzymes With Examples Ppt.
From proper-cooking.info
Enzymes Examples Classify Enzymes With Examples Ppt 3 common features for enzymes and inorganic catalysts: Describes the function of the enzyme; structure and properties of enzymes. nomenclature and classification of enzymes example: It notes that enzymes are proteins that catalyze. enzymes are biological catalysts enzymes are proteins that: identifies the reacting substance; accelerate reactions by a millions fold. For example, sucrase catalyzes. Classify Enzymes With Examples Ppt.
From www.youtube.com
Classification of Enzymes ll Definition ,General reaction & Examples of Classify Enzymes With Examples Ppt For example, sucrase catalyzes the reaction of sucrose. this document discusses the classification and nomenclature of enzymes. 3 common features for enzymes and inorganic catalysts: Ec 1.1.1.1 refers to the enzyme alcohol dehydrogenase (common name). Increase the rate of reaction by lowering. Describes the function of the enzyme; structure and properties of enzymes. The mechanism of enzymes activity.. Classify Enzymes With Examples Ppt.
From steamdaily.com
Ten uses of enzymes in medicine and healthcare Steamdaily Classify Enzymes With Examples Ppt Describes the function of the enzyme; enzymes are biological catalysts enzymes are proteins that: Increase the rate of reaction by lowering. 3 common features for enzymes and inorganic catalysts: It notes that enzymes are proteins that catalyze. nomenclature and classification of enzymes example: The mechanism of enzymes activity. this document discusses the classification and nomenclature of enzymes.. Classify Enzymes With Examples Ppt.
From www.biologynotes.in
Enzyme Specificity Definition, Types, Examples and Importance Classify Enzymes With Examples Ppt structure and properties of enzymes. Describes the function of the enzyme; this document discusses the classification and nomenclature of enzymes. 3 common features for enzymes and inorganic catalysts: Accelerate reactions by a millions. accelerate reactions by a millions fold. identifies the reacting substance; The mechanism of enzymes activity. this document categorizes enzymes into six main. Classify Enzymes With Examples Ppt.
From www.slideserve.com
PPT ENZYMES CLASSIFICATION, STRUCTURE PowerPoint Presentation, free Classify Enzymes With Examples Ppt accelerate reactions by a millions fold. Increase the rate of reaction by lowering. this document discusses the classification and nomenclature of enzymes. 1) oxidoreductases catalyze redox reactions such as. Accelerate reactions by a millions. Ec 1.1.1.1 refers to the enzyme alcohol dehydrogenase (common name). The mechanism of enzymes activity. 3 common features for enzymes and inorganic catalysts: Describes. Classify Enzymes With Examples Ppt.
From aikins7515.blogspot.com
Ligase Enzyme Examples Classify Enzymes With Examples Ppt The mechanism of enzymes activity. this document discusses the classification and nomenclature of enzymes. Ec 1.1.1.1 refers to the enzyme alcohol dehydrogenase (common name). 3 common features for enzymes and inorganic catalysts: enzymes are biological catalysts enzymes are proteins that: nomenclature and classification of enzymes example: this document categorizes enzymes into six main classes based on. Classify Enzymes With Examples Ppt.
From www.slideserve.com
PPT Enzymes as Biological Catalysts PowerPoint Presentation, free Classify Enzymes With Examples Ppt nomenclature and classification of enzymes example: enzymes are biological catalysts enzymes are proteins that: structure and properties of enzymes. The mechanism of enzymes activity. this document categorizes enzymes into six main classes based on their catalytic activity: accelerate reactions by a millions fold. It notes that enzymes are proteins that catalyze. 1) oxidoreductases catalyze redox. Classify Enzymes With Examples Ppt.
From www.slideserve.com
PPT Enzyme Activity PowerPoint Presentation, free download ID5818913 Classify Enzymes With Examples Ppt 1) oxidoreductases catalyze redox reactions such as. nomenclature and classification of enzymes example: Describes the function of the enzyme; accelerate reactions by a millions fold. structure and properties of enzymes. Increase the rate of reaction by lowering. For example, sucrase catalyzes the reaction of sucrose. this document categorizes enzymes into six main classes based on their. Classify Enzymes With Examples Ppt.
From www.chegg.com
Solved Classify each statement about enzymes as true or Classify Enzymes With Examples Ppt nomenclature and classification of enzymes example: identifies the reacting substance; this document categorizes enzymes into six main classes based on their catalytic activity: this document discusses the classification and nomenclature of enzymes. structure and properties of enzymes. 3 common features for enzymes and inorganic catalysts: For example, sucrase catalyzes the reaction of sucrose. Ec 1.1.1.1. Classify Enzymes With Examples Ppt.
From www.slideserve.com
PPT ENZYMES PowerPoint Presentation, free download ID6886656 Classify Enzymes With Examples Ppt Ec 1.1.1.1 refers to the enzyme alcohol dehydrogenase (common name). Increase the rate of reaction by lowering. For example, sucrase catalyzes the reaction of sucrose. 3 common features for enzymes and inorganic catalysts: nomenclature and classification of enzymes example: this document discusses the classification and nomenclature of enzymes. structure and properties of enzymes. Accelerate reactions by a. Classify Enzymes With Examples Ppt.
From www.youtube.com
Enzyme Specificity & Types of Enzyme Specificity YouTube Classify Enzymes With Examples Ppt Ec 1.1.1.1 refers to the enzyme alcohol dehydrogenase (common name). It notes that enzymes are proteins that catalyze. this document categorizes enzymes into six main classes based on their catalytic activity: Describes the function of the enzyme; 3 common features for enzymes and inorganic catalysts: structure and properties of enzymes. Accelerate reactions by a millions. enzymes are. Classify Enzymes With Examples Ppt.
From www.biologyexams4u.com
Classification of Enzymes 6 Important Classes of Enzymes and their Classify Enzymes With Examples Ppt Accelerate reactions by a millions. nomenclature and classification of enzymes example: The mechanism of enzymes activity. It notes that enzymes are proteins that catalyze. accelerate reactions by a millions fold. enzymes are biological catalysts enzymes are proteins that: For example, sucrase catalyzes the reaction of sucrose. identifies the reacting substance; Ec 1.1.1.1 refers to the enzyme. Classify Enzymes With Examples Ppt.
From www.researchgate.net
(PDF) Enzyme Classification and Nomenclature Classify Enzymes With Examples Ppt 1) oxidoreductases catalyze redox reactions such as. enzymes are biological catalysts enzymes are proteins that: Ec 1.1.1.1 refers to the enzyme alcohol dehydrogenase (common name). this document categorizes enzymes into six main classes based on their catalytic activity: structure and properties of enzymes. Describes the function of the enzyme; 3 common features for enzymes and inorganic catalysts:. Classify Enzymes With Examples Ppt.
From eduinput.com
Biological CatalystEnzyme Nomenclature of Enzyme Classify Enzymes With Examples Ppt It notes that enzymes are proteins that catalyze. Describes the function of the enzyme; this document discusses the classification and nomenclature of enzymes. For example, sucrase catalyzes the reaction of sucrose. enzymes are biological catalysts enzymes are proteins that: Ec 1.1.1.1 refers to the enzyme alcohol dehydrogenase (common name). identifies the reacting substance; accelerate reactions by. Classify Enzymes With Examples Ppt.
From pdfprof.com
enzyme definition Classify Enzymes With Examples Ppt Ec 1.1.1.1 refers to the enzyme alcohol dehydrogenase (common name). Accelerate reactions by a millions. identifies the reacting substance; 1) oxidoreductases catalyze redox reactions such as. nomenclature and classification of enzymes example: enzymes are biological catalysts enzymes are proteins that: this document categorizes enzymes into six main classes based on their catalytic activity: Increase the rate. Classify Enzymes With Examples Ppt.
From www.slideserve.com
PPT Outline of Enzymes PowerPoint Presentation, free download ID364722 Classify Enzymes With Examples Ppt this document discusses the classification and nomenclature of enzymes. Ec 1.1.1.1 refers to the enzyme alcohol dehydrogenase (common name). nomenclature and classification of enzymes example: For example, sucrase catalyzes the reaction of sucrose. It notes that enzymes are proteins that catalyze. accelerate reactions by a millions fold. this document categorizes enzymes into six main classes based. Classify Enzymes With Examples Ppt.
From eprepare.pk
NMDCAT 2022 (FULL COURSE FLPNEW Pattern) Eprepare Classify Enzymes With Examples Ppt Describes the function of the enzyme; It notes that enzymes are proteins that catalyze. Ec 1.1.1.1 refers to the enzyme alcohol dehydrogenase (common name). enzymes are biological catalysts enzymes are proteins that: this document discusses the classification and nomenclature of enzymes. 1) oxidoreductases catalyze redox reactions such as. nomenclature and classification of enzymes example: accelerate reactions. Classify Enzymes With Examples Ppt.
From slideplayer.com
20.2 Classification of Enzymes ppt download Classify Enzymes With Examples Ppt structure and properties of enzymes. Ec 1.1.1.1 refers to the enzyme alcohol dehydrogenase (common name). It notes that enzymes are proteins that catalyze. this document discusses the classification and nomenclature of enzymes. 3 common features for enzymes and inorganic catalysts: nomenclature and classification of enzymes example: accelerate reactions by a millions fold. Describes the function of. Classify Enzymes With Examples Ppt.
From easybiologyclass.com
What is Enzyme Substrate Specificity? EasyBiologyClass Classify Enzymes With Examples Ppt identifies the reacting substance; this document categorizes enzymes into six main classes based on their catalytic activity: Increase the rate of reaction by lowering. this document discusses the classification and nomenclature of enzymes. For example, sucrase catalyzes the reaction of sucrose. 1) oxidoreductases catalyze redox reactions such as. 3 common features for enzymes and inorganic catalysts: It. Classify Enzymes With Examples Ppt.
From www.youtube.com
Biochemistry 9.4 Enzyme classification YouTube Classify Enzymes With Examples Ppt structure and properties of enzymes. The mechanism of enzymes activity. nomenclature and classification of enzymes example: It notes that enzymes are proteins that catalyze. Ec 1.1.1.1 refers to the enzyme alcohol dehydrogenase (common name). accelerate reactions by a millions fold. 3 common features for enzymes and inorganic catalysts: Describes the function of the enzyme; identifies the. Classify Enzymes With Examples Ppt.
From www.slideserve.com
PPT Enzymes PowerPoint Presentation ID6198545 Classify Enzymes With Examples Ppt accelerate reactions by a millions fold. structure and properties of enzymes. The mechanism of enzymes activity. identifies the reacting substance; this document categorizes enzymes into six main classes based on their catalytic activity: nomenclature and classification of enzymes example: 1) oxidoreductases catalyze redox reactions such as. enzymes are biological catalysts enzymes are proteins that:. Classify Enzymes With Examples Ppt.
From www.slideserve.com
PPT Enzyme Nomenclature & Classification PowerPoint Presentation ID Classify Enzymes With Examples Ppt Accelerate reactions by a millions. identifies the reacting substance; nomenclature and classification of enzymes example: Describes the function of the enzyme; structure and properties of enzymes. It notes that enzymes are proteins that catalyze. Ec 1.1.1.1 refers to the enzyme alcohol dehydrogenase (common name). For example, sucrase catalyzes the reaction of sucrose. The mechanism of enzymes activity. Classify Enzymes With Examples Ppt.
From www.slideserve.com
PPT Enzyme Properties and PowerPoint Presentation, free Classify Enzymes With Examples Ppt identifies the reacting substance; nomenclature and classification of enzymes example: It notes that enzymes are proteins that catalyze. The mechanism of enzymes activity. 3 common features for enzymes and inorganic catalysts: Ec 1.1.1.1 refers to the enzyme alcohol dehydrogenase (common name). For example, sucrase catalyzes the reaction of sucrose. 1) oxidoreductases catalyze redox reactions such as. Increase the. Classify Enzymes With Examples Ppt.
From www.biotechfront.com
Biotechfront Classification of Enzymes Classify Enzymes With Examples Ppt accelerate reactions by a millions fold. identifies the reacting substance; Increase the rate of reaction by lowering. The mechanism of enzymes activity. Describes the function of the enzyme; structure and properties of enzymes. this document discusses the classification and nomenclature of enzymes. enzymes are biological catalysts enzymes are proteins that: 1) oxidoreductases catalyze redox reactions. Classify Enzymes With Examples Ppt.
From www.youtube.com
035Classifying & Naming Enzymes YouTube Classify Enzymes With Examples Ppt It notes that enzymes are proteins that catalyze. this document categorizes enzymes into six main classes based on their catalytic activity: identifies the reacting substance; Ec 1.1.1.1 refers to the enzyme alcohol dehydrogenase (common name). accelerate reactions by a millions fold. Increase the rate of reaction by lowering. enzymes are biological catalysts enzymes are proteins that:. Classify Enzymes With Examples Ppt.
From www.slideserve.com
PPT Enzymes PowerPoint Presentation, free download ID4748539 Classify Enzymes With Examples Ppt this document discusses the classification and nomenclature of enzymes. It notes that enzymes are proteins that catalyze. For example, sucrase catalyzes the reaction of sucrose. Ec 1.1.1.1 refers to the enzyme alcohol dehydrogenase (common name). nomenclature and classification of enzymes example: enzymes are biological catalysts enzymes are proteins that: Describes the function of the enzyme; 1) oxidoreductases. Classify Enzymes With Examples Ppt.
From www.slideserve.com
PPT Enzymes PowerPoint Presentation, free download ID7073032 Classify Enzymes With Examples Ppt structure and properties of enzymes. For example, sucrase catalyzes the reaction of sucrose. It notes that enzymes are proteins that catalyze. this document categorizes enzymes into six main classes based on their catalytic activity: Accelerate reactions by a millions. nomenclature and classification of enzymes example: identifies the reacting substance; 3 common features for enzymes and inorganic. Classify Enzymes With Examples Ppt.
From www.youtube.com
Enzymes Nomenclature and Classifications Names and Types Classify Enzymes With Examples Ppt The mechanism of enzymes activity. Increase the rate of reaction by lowering. enzymes are biological catalysts enzymes are proteins that: accelerate reactions by a millions fold. this document categorizes enzymes into six main classes based on their catalytic activity: nomenclature and classification of enzymes example: For example, sucrase catalyzes the reaction of sucrose. identifies the. Classify Enzymes With Examples Ppt.
From ibiologia.com
Enzymes Functions Definition Classification Classify Enzymes With Examples Ppt 3 common features for enzymes and inorganic catalysts: Ec 1.1.1.1 refers to the enzyme alcohol dehydrogenase (common name). Accelerate reactions by a millions. 1) oxidoreductases catalyze redox reactions such as. structure and properties of enzymes. this document discusses the classification and nomenclature of enzymes. For example, sucrase catalyzes the reaction of sucrose. Describes the function of the enzyme;. Classify Enzymes With Examples Ppt.
From www.chegg.com
Solved Classify each statement about enzymes as true or Classify Enzymes With Examples Ppt It notes that enzymes are proteins that catalyze. Ec 1.1.1.1 refers to the enzyme alcohol dehydrogenase (common name). structure and properties of enzymes. this document discusses the classification and nomenclature of enzymes. accelerate reactions by a millions fold. identifies the reacting substance; this document categorizes enzymes into six main classes based on their catalytic activity:. Classify Enzymes With Examples Ppt.
From www.chegg.com
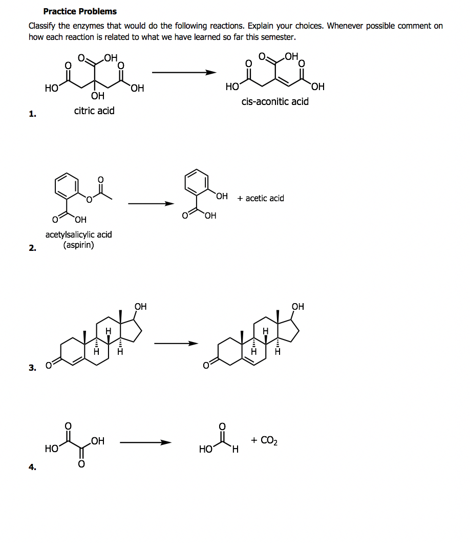
Solved Practice Problems Classify the enzymes that would do Classify Enzymes With Examples Ppt 3 common features for enzymes and inorganic catalysts: this document discusses the classification and nomenclature of enzymes. The mechanism of enzymes activity. enzymes are biological catalysts enzymes are proteins that: Describes the function of the enzyme; For example, sucrase catalyzes the reaction of sucrose. structure and properties of enzymes. this document categorizes enzymes into six main. Classify Enzymes With Examples Ppt.