Largest Possible Area Of A Rectangle . the maximum area calculator lets you to find the largest area enclosed by various shapes. The smallest possible area of a given. a rectangle is to be constructed having the greatest possible area and a perimeter of 50 cm. What is the (geometric) significance. maximum area of rectangle possible with given perimeter. The largest possible area of a given shape based on the measured values and the measurement errors. So with a perimeter of 28. (a) if one of the sides of the rectangle. Given the perimeter of a. Whether it’s a square, rectangle, or triangle, the knowledge of how to. the result you need is that for a rectangle with a given perimeter the square has the largest area. find the largest possible rectangular area you can enclose, assuming you have 128 meters of fencing.
from www.youtube.com
(a) if one of the sides of the rectangle. a rectangle is to be constructed having the greatest possible area and a perimeter of 50 cm. The smallest possible area of a given. Whether it’s a square, rectangle, or triangle, the knowledge of how to. What is the (geometric) significance. the maximum area calculator lets you to find the largest area enclosed by various shapes. maximum area of rectangle possible with given perimeter. Given the perimeter of a. the result you need is that for a rectangle with a given perimeter the square has the largest area. find the largest possible rectangular area you can enclose, assuming you have 128 meters of fencing.
Optimization Find Dimensions of Rectangle With Largest Area Inscribed
Largest Possible Area Of A Rectangle a rectangle is to be constructed having the greatest possible area and a perimeter of 50 cm. Whether it’s a square, rectangle, or triangle, the knowledge of how to. maximum area of rectangle possible with given perimeter. So with a perimeter of 28. The smallest possible area of a given. find the largest possible rectangular area you can enclose, assuming you have 128 meters of fencing. the maximum area calculator lets you to find the largest area enclosed by various shapes. What is the (geometric) significance. The largest possible area of a given shape based on the measured values and the measurement errors. Given the perimeter of a. the result you need is that for a rectangle with a given perimeter the square has the largest area. a rectangle is to be constructed having the greatest possible area and a perimeter of 50 cm. (a) if one of the sides of the rectangle.
From www.numerade.com
SOLVED What is the largest possible area of a rectangle inscribed in Largest Possible Area Of A Rectangle Whether it’s a square, rectangle, or triangle, the knowledge of how to. the maximum area calculator lets you to find the largest area enclosed by various shapes. (a) if one of the sides of the rectangle. Given the perimeter of a. So with a perimeter of 28. the result you need is that for a rectangle with a. Largest Possible Area Of A Rectangle.
From owlcation.com
Which Rectangle Gives the Biggest Area? Owlcation Largest Possible Area Of A Rectangle The largest possible area of a given shape based on the measured values and the measurement errors. What is the (geometric) significance. maximum area of rectangle possible with given perimeter. Whether it’s a square, rectangle, or triangle, the knowledge of how to. (a) if one of the sides of the rectangle. the maximum area calculator lets you to. Largest Possible Area Of A Rectangle.
From en.neurochispas.com
Area of a Rectangle Formulas and Examples Neurochispas Largest Possible Area Of A Rectangle maximum area of rectangle possible with given perimeter. Given the perimeter of a. the maximum area calculator lets you to find the largest area enclosed by various shapes. (a) if one of the sides of the rectangle. So with a perimeter of 28. Whether it’s a square, rectangle, or triangle, the knowledge of how to. the result. Largest Possible Area Of A Rectangle.
From lessonfullflotillas.z21.web.core.windows.net
Area Of Rectangles And Triangles Largest Possible Area Of A Rectangle (a) if one of the sides of the rectangle. The largest possible area of a given shape based on the measured values and the measurement errors. a rectangle is to be constructed having the greatest possible area and a perimeter of 50 cm. Given the perimeter of a. maximum area of rectangle possible with given perimeter. What is. Largest Possible Area Of A Rectangle.
From www.numerade.com
⏩SOLVEDA rectangle has perimeter p. Find its largest possible area Largest Possible Area Of A Rectangle So with a perimeter of 28. The smallest possible area of a given. Given the perimeter of a. a rectangle is to be constructed having the greatest possible area and a perimeter of 50 cm. maximum area of rectangle possible with given perimeter. the maximum area calculator lets you to find the largest area enclosed by various. Largest Possible Area Of A Rectangle.
From www.youtube.com
Calculus Optimization Largest Area of a Rectangle Under a Curve YouTube Largest Possible Area Of A Rectangle Given the perimeter of a. What is the (geometric) significance. a rectangle is to be constructed having the greatest possible area and a perimeter of 50 cm. find the largest possible rectangular area you can enclose, assuming you have 128 meters of fencing. maximum area of rectangle possible with given perimeter. So with a perimeter of 28.. Largest Possible Area Of A Rectangle.
From www.chegg.com
Solved Largest rectangle inscribed in a semicircle Determine Largest Possible Area Of A Rectangle Whether it’s a square, rectangle, or triangle, the knowledge of how to. The largest possible area of a given shape based on the measured values and the measurement errors. (a) if one of the sides of the rectangle. the result you need is that for a rectangle with a given perimeter the square has the largest area. maximum. Largest Possible Area Of A Rectangle.
From www.numerade.com
SOLVED 'For rectangles that have fixed perimeter of 80, what are the Largest Possible Area Of A Rectangle The smallest possible area of a given. find the largest possible rectangular area you can enclose, assuming you have 128 meters of fencing. a rectangle is to be constructed having the greatest possible area and a perimeter of 50 cm. Whether it’s a square, rectangle, or triangle, the knowledge of how to. (a) if one of the sides. Largest Possible Area Of A Rectangle.
From www.youtube.com
Optimization Find Dimensions of Rectangle With Largest Area Inscribed Largest Possible Area Of A Rectangle The smallest possible area of a given. Given the perimeter of a. So with a perimeter of 28. the maximum area calculator lets you to find the largest area enclosed by various shapes. Whether it’s a square, rectangle, or triangle, the knowledge of how to. maximum area of rectangle possible with given perimeter. The largest possible area of. Largest Possible Area Of A Rectangle.
From thirdspacelearning.com
Area of a Rectangle Math Steps, Examples & Questions Largest Possible Area Of A Rectangle a rectangle is to be constructed having the greatest possible area and a perimeter of 50 cm. So with a perimeter of 28. Whether it’s a square, rectangle, or triangle, the knowledge of how to. What is the (geometric) significance. The largest possible area of a given shape based on the measured values and the measurement errors. the. Largest Possible Area Of A Rectangle.
From www.numerade.com
SOLVED A rectangle has a perimeter of 400ft. Find the dimensions of Largest Possible Area Of A Rectangle The smallest possible area of a given. a rectangle is to be constructed having the greatest possible area and a perimeter of 50 cm. The largest possible area of a given shape based on the measured values and the measurement errors. Whether it’s a square, rectangle, or triangle, the knowledge of how to. Given the perimeter of a. (a). Largest Possible Area Of A Rectangle.
From mathmonks.com
Area of Rectangle Definition, Formulas, & Examples Largest Possible Area Of A Rectangle the result you need is that for a rectangle with a given perimeter the square has the largest area. find the largest possible rectangular area you can enclose, assuming you have 128 meters of fencing. The largest possible area of a given shape based on the measured values and the measurement errors. Whether it’s a square, rectangle, or. Largest Possible Area Of A Rectangle.
From www.youtube.com
Find the area of the greatest rectangle that can be inscribed in an Largest Possible Area Of A Rectangle a rectangle is to be constructed having the greatest possible area and a perimeter of 50 cm. What is the (geometric) significance. So with a perimeter of 28. (a) if one of the sides of the rectangle. the result you need is that for a rectangle with a given perimeter the square has the largest area. the. Largest Possible Area Of A Rectangle.
From www.cuemath.com
Area of Rectangle Definition, Formulas, Examples, Facts Cuemath Largest Possible Area Of A Rectangle The smallest possible area of a given. The largest possible area of a given shape based on the measured values and the measurement errors. What is the (geometric) significance. the result you need is that for a rectangle with a given perimeter the square has the largest area. So with a perimeter of 28. maximum area of rectangle. Largest Possible Area Of A Rectangle.
From www.youtube.com
Area of a Rectangle YouTube Largest Possible Area Of A Rectangle maximum area of rectangle possible with given perimeter. So with a perimeter of 28. Given the perimeter of a. find the largest possible rectangular area you can enclose, assuming you have 128 meters of fencing. the result you need is that for a rectangle with a given perimeter the square has the largest area. Whether it’s a. Largest Possible Area Of A Rectangle.
From www.chegg.com
Solved What is the largest possible area of a rectangle Largest Possible Area Of A Rectangle So with a perimeter of 28. The smallest possible area of a given. Given the perimeter of a. maximum area of rectangle possible with given perimeter. a rectangle is to be constructed having the greatest possible area and a perimeter of 50 cm. (a) if one of the sides of the rectangle. What is the (geometric) significance. The. Largest Possible Area Of A Rectangle.
From www.worksheetsplanet.com
Area of a Rectangle (Formula + Example) Largest Possible Area Of A Rectangle (a) if one of the sides of the rectangle. the result you need is that for a rectangle with a given perimeter the square has the largest area. a rectangle is to be constructed having the greatest possible area and a perimeter of 50 cm. Given the perimeter of a. maximum area of rectangle possible with given. Largest Possible Area Of A Rectangle.
From www.cuemath.com
Area of Rectangle Definition, Formulas, Examples, Facts Cuemath Largest Possible Area Of A Rectangle The smallest possible area of a given. (a) if one of the sides of the rectangle. a rectangle is to be constructed having the greatest possible area and a perimeter of 50 cm. the maximum area calculator lets you to find the largest area enclosed by various shapes. maximum area of rectangle possible with given perimeter. What. Largest Possible Area Of A Rectangle.
From www.numerade.com
SOLVED What is the largest possible area of a rectangle inscribed in Largest Possible Area Of A Rectangle (a) if one of the sides of the rectangle. maximum area of rectangle possible with given perimeter. the maximum area calculator lets you to find the largest area enclosed by various shapes. Given the perimeter of a. the result you need is that for a rectangle with a given perimeter the square has the largest area. The. Largest Possible Area Of A Rectangle.
From kenziegroli.blogspot.com
Area of Parabola Inscribed in a Rectangle KenziegroLi Largest Possible Area Of A Rectangle The largest possible area of a given shape based on the measured values and the measurement errors. The smallest possible area of a given. Given the perimeter of a. maximum area of rectangle possible with given perimeter. the result you need is that for a rectangle with a given perimeter the square has the largest area. a. Largest Possible Area Of A Rectangle.
From www.media4math.com
FormulasArea of a Rectangle Media4Math Largest Possible Area Of A Rectangle the maximum area calculator lets you to find the largest area enclosed by various shapes. The largest possible area of a given shape based on the measured values and the measurement errors. maximum area of rectangle possible with given perimeter. Whether it’s a square, rectangle, or triangle, the knowledge of how to. the result you need is. Largest Possible Area Of A Rectangle.
From www.youtube.com
Optimization Find Largest Area of a Rectangle Divided into Four Pens Largest Possible Area Of A Rectangle Given the perimeter of a. the maximum area calculator lets you to find the largest area enclosed by various shapes. Whether it’s a square, rectangle, or triangle, the knowledge of how to. maximum area of rectangle possible with given perimeter. The smallest possible area of a given. a rectangle is to be constructed having the greatest possible. Largest Possible Area Of A Rectangle.
From www.chegg.com
Solved Find the area of the largest rectangle that can be Largest Possible Area Of A Rectangle the result you need is that for a rectangle with a given perimeter the square has the largest area. The largest possible area of a given shape based on the measured values and the measurement errors. What is the (geometric) significance. Whether it’s a square, rectangle, or triangle, the knowledge of how to. find the largest possible rectangular. Largest Possible Area Of A Rectangle.
From askfilo.com
What is largest Possible area of rectangle with integer sides and Cerimet.. Largest Possible Area Of A Rectangle a rectangle is to be constructed having the greatest possible area and a perimeter of 50 cm. The smallest possible area of a given. maximum area of rectangle possible with given perimeter. What is the (geometric) significance. the result you need is that for a rectangle with a given perimeter the square has the largest area. Given. Largest Possible Area Of A Rectangle.
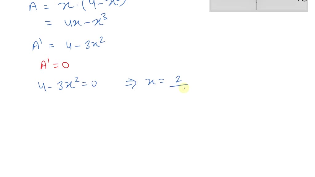
From www.numerade.com
SOLVEDOPTIMIZATION Find the largest possible area of a rectangle that Largest Possible Area Of A Rectangle (a) if one of the sides of the rectangle. the result you need is that for a rectangle with a given perimeter the square has the largest area. the maximum area calculator lets you to find the largest area enclosed by various shapes. The smallest possible area of a given. find the largest possible rectangular area you. Largest Possible Area Of A Rectangle.
From www.chegg.com
Solved Find the largest area of a rectangle with one vertex Largest Possible Area Of A Rectangle Given the perimeter of a. The largest possible area of a given shape based on the measured values and the measurement errors. So with a perimeter of 28. the result you need is that for a rectangle with a given perimeter the square has the largest area. maximum area of rectangle possible with given perimeter. a rectangle. Largest Possible Area Of A Rectangle.
From www.numerade.com
SOLVEDFind the largest possible area for a rectangle with base on the Largest Possible Area Of A Rectangle a rectangle is to be constructed having the greatest possible area and a perimeter of 50 cm. the maximum area calculator lets you to find the largest area enclosed by various shapes. So with a perimeter of 28. Whether it’s a square, rectangle, or triangle, the knowledge of how to. What is the (geometric) significance. maximum area. Largest Possible Area Of A Rectangle.
From www.chegg.com
Solved Find the largest possible area for a rectangle with Largest Possible Area Of A Rectangle the result you need is that for a rectangle with a given perimeter the square has the largest area. find the largest possible rectangular area you can enclose, assuming you have 128 meters of fencing. Whether it’s a square, rectangle, or triangle, the knowledge of how to. (a) if one of the sides of the rectangle. The largest. Largest Possible Area Of A Rectangle.
From thirdspacelearning.com
Area Of A Rectangle GCSE Maths Steps & Examples Largest Possible Area Of A Rectangle Given the perimeter of a. So with a perimeter of 28. The smallest possible area of a given. find the largest possible rectangular area you can enclose, assuming you have 128 meters of fencing. Whether it’s a square, rectangle, or triangle, the knowledge of how to. a rectangle is to be constructed having the greatest possible area and. Largest Possible Area Of A Rectangle.
From www.geeksforgeeks.org
Area of the largest Rectangle without a given point Largest Possible Area Of A Rectangle the result you need is that for a rectangle with a given perimeter the square has the largest area. maximum area of rectangle possible with given perimeter. (a) if one of the sides of the rectangle. a rectangle is to be constructed having the greatest possible area and a perimeter of 50 cm. What is the (geometric). Largest Possible Area Of A Rectangle.
From www.cuemath.com
Area of Rectangle Definition, Formulas, Examples, Facts Cuemath Largest Possible Area Of A Rectangle Whether it’s a square, rectangle, or triangle, the knowledge of how to. Given the perimeter of a. The smallest possible area of a given. So with a perimeter of 28. a rectangle is to be constructed having the greatest possible area and a perimeter of 50 cm. (a) if one of the sides of the rectangle. The largest possible. Largest Possible Area Of A Rectangle.
From www.toppr.com
the area of the largest rectangle with lower base on the xaxis and Largest Possible Area Of A Rectangle The largest possible area of a given shape based on the measured values and the measurement errors. What is the (geometric) significance. Given the perimeter of a. the result you need is that for a rectangle with a given perimeter the square has the largest area. the maximum area calculator lets you to find the largest area enclosed. Largest Possible Area Of A Rectangle.
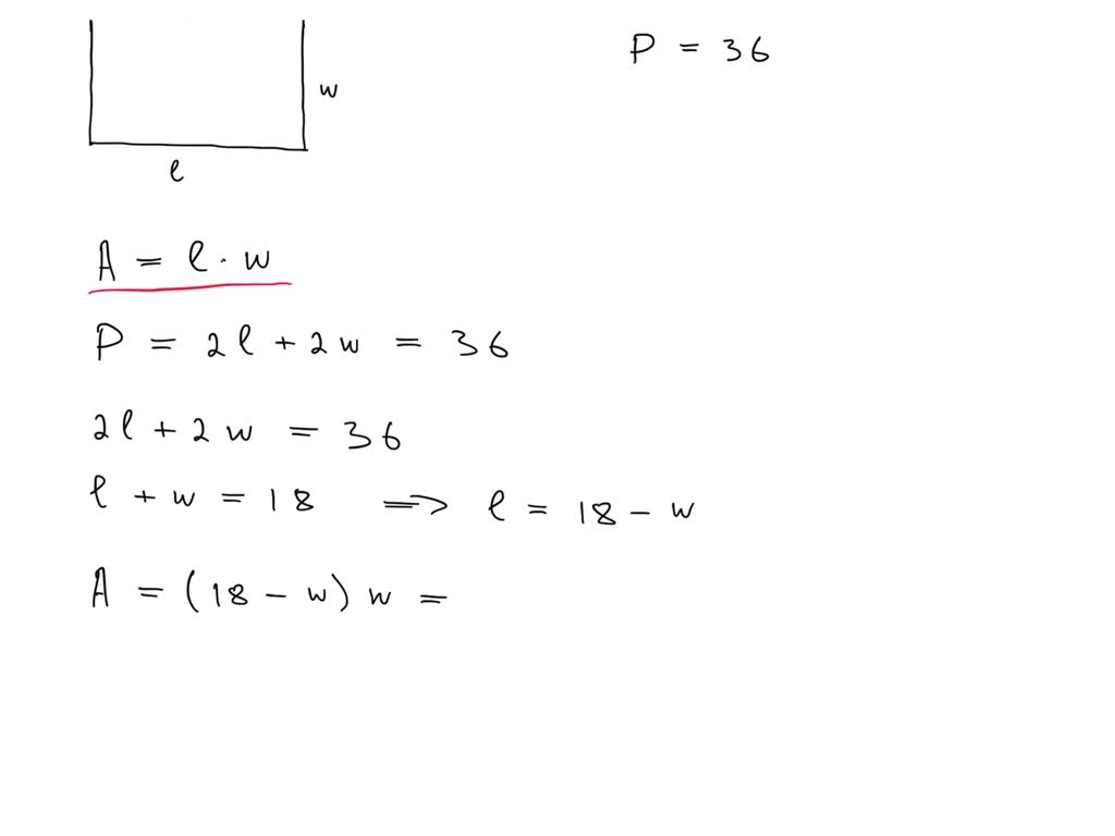
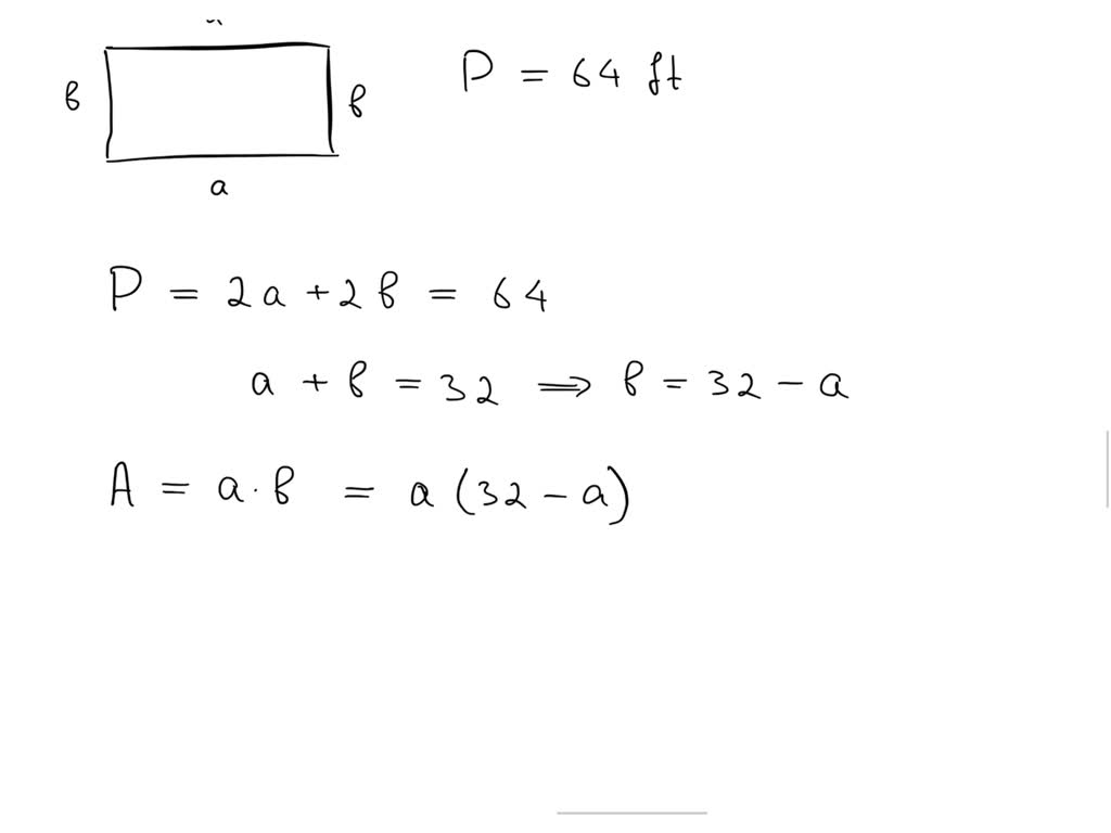
From www.numerade.com
SOLVED Find the dimensions of a rectangle with a perimeter of 64 ft Largest Possible Area Of A Rectangle Whether it’s a square, rectangle, or triangle, the knowledge of how to. the maximum area calculator lets you to find the largest area enclosed by various shapes. What is the (geometric) significance. The largest possible area of a given shape based on the measured values and the measurement errors. (a) if one of the sides of the rectangle. The. Largest Possible Area Of A Rectangle.
From www.vedantu.com
Area of Rectangle Definition, Formula and Problems Largest Possible Area Of A Rectangle a rectangle is to be constructed having the greatest possible area and a perimeter of 50 cm. the maximum area calculator lets you to find the largest area enclosed by various shapes. Given the perimeter of a. The smallest possible area of a given. find the largest possible rectangular area you can enclose, assuming you have 128. Largest Possible Area Of A Rectangle.
From www.cuemath.com
Area of Rectangle Formula, Definition, Examples Largest Possible Area Of A Rectangle The largest possible area of a given shape based on the measured values and the measurement errors. the maximum area calculator lets you to find the largest area enclosed by various shapes. (a) if one of the sides of the rectangle. The smallest possible area of a given. So with a perimeter of 28. maximum area of rectangle. Largest Possible Area Of A Rectangle.