On Mars The Acceleration Due To Gravity Is 3.71 . First, we need to find the mass of the spacecraft on mars. Your solution’s ready to go!. On mars, the acceleration due to gravity is 3.71 m/s^2. In this problem, the acceleration due to gravity on mars is 3.71 meter per second square and we have to find out the. If you drop a rock on mars, it will experience a downward force of 3.71 m/s². The weight on the mars calculator computes net force of gravity on a mass based on the acceleration due to gravity (g = 3.71 m/s²) on. How far would a rock fall in 6.45 s if you dropped it on mars? Weight = mass × acceleration due to gravity. On mars, the acceleration due to gravity is 3.71 m/s². You are assigned the design of a cylindrical, pressurized water tank for a future colony on mars, where the acceleration due to. We can use the formula: (is the acceleration positive or negative?) On mars, the acceleration due to gravity is 3.71 m/s^2. What would a rock's velocity be 3 s after you dropped it on mars?
from www.slideserve.com
How far would a rock fall in 6.45 s if you dropped it on mars? What would a rock's velocity be 3 s after you dropped it on mars? In this problem, the acceleration due to gravity on mars is 3.71 meter per second square and we have to find out the. The weight on the mars calculator computes net force of gravity on a mass based on the acceleration due to gravity (g = 3.71 m/s²) on. On mars, the acceleration due to gravity is 3.71 m/s^2. On mars, the acceleration due to gravity is 3.71 m/s². We can use the formula: You are assigned the design of a cylindrical, pressurized water tank for a future colony on mars, where the acceleration due to. If you drop a rock on mars, it will experience a downward force of 3.71 m/s². On mars, the acceleration due to gravity is 3.71 m/s^2.
PPT MOTION AND GRAVITY PowerPoint Presentation, free download ID356482
On Mars The Acceleration Due To Gravity Is 3.71 On mars, the acceleration due to gravity is 3.71 m/s^2. On mars, the acceleration due to gravity is 3.71 m/s^2. On mars, the acceleration due to gravity is 3.71 m/s². In this problem, the acceleration due to gravity on mars is 3.71 meter per second square and we have to find out the. How far would a rock fall in 6.45 s if you dropped it on mars? (is the acceleration positive or negative?) You are assigned the design of a cylindrical, pressurized water tank for a future colony on mars, where the acceleration due to. If you drop a rock on mars, it will experience a downward force of 3.71 m/s². On mars, the acceleration due to gravity is 3.71 m/s^2. Your solution’s ready to go!. What would a rock's velocity be 3 s after you dropped it on mars? Weight = mass × acceleration due to gravity. First, we need to find the mass of the spacecraft on mars. The weight on the mars calculator computes net force of gravity on a mass based on the acceleration due to gravity (g = 3.71 m/s²) on. We can use the formula:
From www.toppr.com
The Weight of the body a certzin place is 30 mathrm{N}. The On Mars The Acceleration Due To Gravity Is 3.71 You are assigned the design of a cylindrical, pressurized water tank for a future colony on mars, where the acceleration due to. If you drop a rock on mars, it will experience a downward force of 3.71 m/s². Your solution’s ready to go!. In this problem, the acceleration due to gravity on mars is 3.71 meter per second square and. On Mars The Acceleration Due To Gravity Is 3.71.
From www.toppr.com
The freefall acceleration on Mars is 3.7 m/s^2. (a) What length of On Mars The Acceleration Due To Gravity Is 3.71 On mars, the acceleration due to gravity is 3.71 m/s^2. On mars, the acceleration due to gravity is 3.71 m/s². First, we need to find the mass of the spacecraft on mars. If you drop a rock on mars, it will experience a downward force of 3.71 m/s². The weight on the mars calculator computes net force of gravity on. On Mars The Acceleration Due To Gravity Is 3.71.
From www.toppr.com
The acceleration due to gravity on the surface of a whose mass On Mars The Acceleration Due To Gravity Is 3.71 If you drop a rock on mars, it will experience a downward force of 3.71 m/s². In this problem, the acceleration due to gravity on mars is 3.71 meter per second square and we have to find out the. On mars, the acceleration due to gravity is 3.71 m/s^2. Weight = mass × acceleration due to gravity. You are assigned. On Mars The Acceleration Due To Gravity Is 3.71.
From www.numerade.com
SOLVED A tennis ball on Mars, where the acceleration due to gravity is On Mars The Acceleration Due To Gravity Is 3.71 If you drop a rock on mars, it will experience a downward force of 3.71 m/s². (is the acceleration positive or negative?) How far would a rock fall in 6.45 s if you dropped it on mars? In this problem, the acceleration due to gravity on mars is 3.71 meter per second square and we have to find out the.. On Mars The Acceleration Due To Gravity Is 3.71.
From www.youtube.com
What is the acceleration due to gravity on moon?? YouTube On Mars The Acceleration Due To Gravity Is 3.71 We can use the formula: Weight = mass × acceleration due to gravity. On mars, the acceleration due to gravity is 3.71 m/s^2. What would a rock's velocity be 3 s after you dropped it on mars? (is the acceleration positive or negative?) Your solution’s ready to go!. On mars, the acceleration due to gravity is 3.71 m/s^2. You are. On Mars The Acceleration Due To Gravity Is 3.71.
From exohirord.blob.core.windows.net
Find The Acceleration Due To Gravity On The Surface Of Mars at Errol On Mars The Acceleration Due To Gravity Is 3.71 First, we need to find the mass of the spacecraft on mars. The weight on the mars calculator computes net force of gravity on a mass based on the acceleration due to gravity (g = 3.71 m/s²) on. On mars, the acceleration due to gravity is 3.71 m/s^2. We can use the formula: On mars, the acceleration due to gravity. On Mars The Acceleration Due To Gravity Is 3.71.
From www.numerade.com
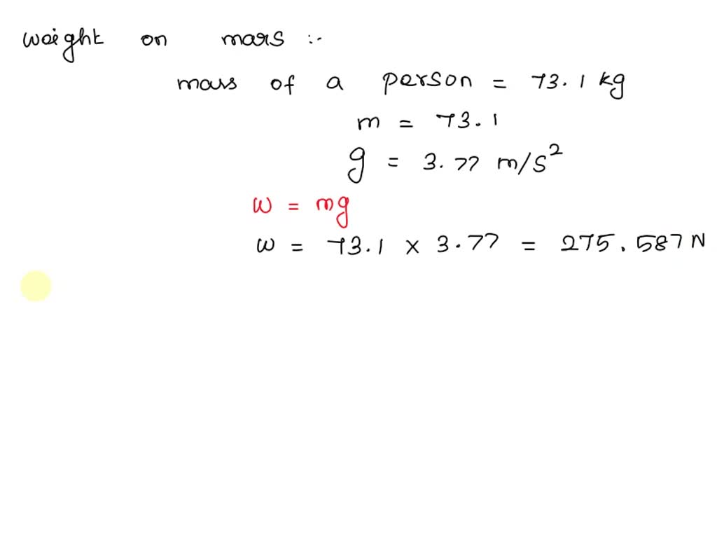
SOLVED How much would a 73.1 kg person weigh (a) on Mars, where the On Mars The Acceleration Due To Gravity Is 3.71 Weight = mass × acceleration due to gravity. If you drop a rock on mars, it will experience a downward force of 3.71 m/s². We can use the formula: (is the acceleration positive or negative?) How far would a rock fall in 6.45 s if you dropped it on mars? On mars, the acceleration due to gravity is 3.71 m/s^2.. On Mars The Acceleration Due To Gravity Is 3.71.
From www.numerade.com
SOLVED A tennis ball on Mars, where the acceleration due to gravity is On Mars The Acceleration Due To Gravity Is 3.71 You are assigned the design of a cylindrical, pressurized water tank for a future colony on mars, where the acceleration due to. (is the acceleration positive or negative?) On mars, the acceleration due to gravity is 3.71 m/s². In this problem, the acceleration due to gravity on mars is 3.71 meter per second square and we have to find out. On Mars The Acceleration Due To Gravity Is 3.71.
From www.numerade.com
SOLVED a piece of equipment weighs 539 N on Earth and 209 N on Mars On Mars The Acceleration Due To Gravity Is 3.71 Your solution’s ready to go!. How far would a rock fall in 6.45 s if you dropped it on mars? What would a rock's velocity be 3 s after you dropped it on mars? On mars, the acceleration due to gravity is 3.71 m/s^2. Weight = mass × acceleration due to gravity. On mars, the acceleration due to gravity is. On Mars The Acceleration Due To Gravity Is 3.71.
From www.teachoo.com
What is Free Fall ? and Acceleration Due To Gravity Teachoo On Mars The Acceleration Due To Gravity Is 3.71 On mars, the acceleration due to gravity is 3.71 m/s^2. How far would a rock fall in 6.45 s if you dropped it on mars? On mars, the acceleration due to gravity is 3.71 m/s^2. Your solution’s ready to go!. On mars, the acceleration due to gravity is 3.71 m/s². In this problem, the acceleration due to gravity on mars. On Mars The Acceleration Due To Gravity Is 3.71.
From www.numerade.com
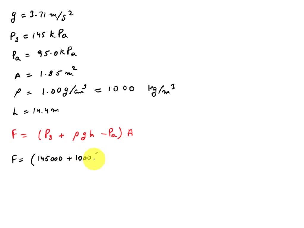
SOLVED You are assigned the design of a cylindrical, pressurized water On Mars The Acceleration Due To Gravity Is 3.71 (is the acceleration positive or negative?) If you drop a rock on mars, it will experience a downward force of 3.71 m/s². The weight on the mars calculator computes net force of gravity on a mass based on the acceleration due to gravity (g = 3.71 m/s²) on. How far would a rock fall in 6.45 s if you dropped. On Mars The Acceleration Due To Gravity Is 3.71.
From www.numerade.com
SOLVED You are assigned the design of a cylindrical, pressurized water On Mars The Acceleration Due To Gravity Is 3.71 You are assigned the design of a cylindrical, pressurized water tank for a future colony on mars, where the acceleration due to. In this problem, the acceleration due to gravity on mars is 3.71 meter per second square and we have to find out the. Weight = mass × acceleration due to gravity. Your solution’s ready to go!. What would. On Mars The Acceleration Due To Gravity Is 3.71.
From www.youtube.com
Acceleration due to gravity at depth d & effect of depth on the value On Mars The Acceleration Due To Gravity Is 3.71 Weight = mass × acceleration due to gravity. On mars, the acceleration due to gravity is 3.71 m/s^2. We can use the formula: If you drop a rock on mars, it will experience a downward force of 3.71 m/s². First, we need to find the mass of the spacecraft on mars. You are assigned the design of a cylindrical, pressurized. On Mars The Acceleration Due To Gravity Is 3.71.
From www.chegg.com
Solved A tennis ball on Mars, where the acceleration due to On Mars The Acceleration Due To Gravity Is 3.71 The weight on the mars calculator computes net force of gravity on a mass based on the acceleration due to gravity (g = 3.71 m/s²) on. Your solution’s ready to go!. We can use the formula: First, we need to find the mass of the spacecraft on mars. Weight = mass × acceleration due to gravity. (is the acceleration positive. On Mars The Acceleration Due To Gravity Is 3.71.
From www.toppr.com
The value of acceleration due to gravity on the surface of earth is x On Mars The Acceleration Due To Gravity Is 3.71 On mars, the acceleration due to gravity is 3.71 m/s^2. Weight = mass × acceleration due to gravity. If you drop a rock on mars, it will experience a downward force of 3.71 m/s². The weight on the mars calculator computes net force of gravity on a mass based on the acceleration due to gravity (g = 3.71 m/s²) on.. On Mars The Acceleration Due To Gravity Is 3.71.
From www.numerade.com
SOLVED large open tank is placed on Mars, where the acceleration due On Mars The Acceleration Due To Gravity Is 3.71 On mars, the acceleration due to gravity is 3.71 m/s^2. We can use the formula: On mars, the acceleration due to gravity is 3.71 m/s². Your solution’s ready to go!. How far would a rock fall in 6.45 s if you dropped it on mars? Weight = mass × acceleration due to gravity. On mars, the acceleration due to gravity. On Mars The Acceleration Due To Gravity Is 3.71.
From www.numerade.com
SOLVED On Mars, the acceleration due to gravity is 3.71 m/s^2. What On Mars The Acceleration Due To Gravity Is 3.71 (is the acceleration positive or negative?) How far would a rock fall in 6.45 s if you dropped it on mars? What would a rock's velocity be 3 s after you dropped it on mars? We can use the formula: The weight on the mars calculator computes net force of gravity on a mass based on the acceleration due to. On Mars The Acceleration Due To Gravity Is 3.71.
From askfilo.com
Find the acceleration due to gravity on the surface of the Mars. The mass.. On Mars The Acceleration Due To Gravity Is 3.71 How far would a rock fall in 6.45 s if you dropped it on mars? Your solution’s ready to go!. Weight = mass × acceleration due to gravity. (is the acceleration positive or negative?) We can use the formula: If you drop a rock on mars, it will experience a downward force of 3.71 m/s². On mars, the acceleration due. On Mars The Acceleration Due To Gravity Is 3.71.
From www.numerade.com
SOLVED An astronaut swings a pendulum on Mars. The length of the On Mars The Acceleration Due To Gravity Is 3.71 On mars, the acceleration due to gravity is 3.71 m/s^2. We can use the formula: You are assigned the design of a cylindrical, pressurized water tank for a future colony on mars, where the acceleration due to. If you drop a rock on mars, it will experience a downward force of 3.71 m/s². On mars, the acceleration due to gravity. On Mars The Acceleration Due To Gravity Is 3.71.
From tyree-bloglucero.blogspot.com
How to Calculate Acceleration Due to Gravity on Mars On Mars The Acceleration Due To Gravity Is 3.71 We can use the formula: On mars, the acceleration due to gravity is 3.71 m/s^2. Weight = mass × acceleration due to gravity. You are assigned the design of a cylindrical, pressurized water tank for a future colony on mars, where the acceleration due to. (is the acceleration positive or negative?) How far would a rock fall in 6.45 s. On Mars The Acceleration Due To Gravity Is 3.71.
From www.slideserve.com
PPT MOTION AND GRAVITY PowerPoint Presentation, free download ID356482 On Mars The Acceleration Due To Gravity Is 3.71 Weight = mass × acceleration due to gravity. We can use the formula: The weight on the mars calculator computes net force of gravity on a mass based on the acceleration due to gravity (g = 3.71 m/s²) on. What would a rock's velocity be 3 s after you dropped it on mars? Your solution’s ready to go!. On mars,. On Mars The Acceleration Due To Gravity Is 3.71.
From www.youtube.com
Acceleration due to gravity below and above the surface of the earth On Mars The Acceleration Due To Gravity Is 3.71 On mars, the acceleration due to gravity is 3.71 m/s^2. On mars, the acceleration due to gravity is 3.71 m/s^2. The weight on the mars calculator computes net force of gravity on a mass based on the acceleration due to gravity (g = 3.71 m/s²) on. We can use the formula: Your solution’s ready to go!. On mars, the acceleration. On Mars The Acceleration Due To Gravity Is 3.71.
From www.numerade.com
SOLVED A tennis ball on Mars, where the acceleration due to gravity is On Mars The Acceleration Due To Gravity Is 3.71 (is the acceleration positive or negative?) First, we need to find the mass of the spacecraft on mars. We can use the formula: On mars, the acceleration due to gravity is 3.71 m/s^2. On mars, the acceleration due to gravity is 3.71 m/s^2. On mars, the acceleration due to gravity is 3.71 m/s². Your solution’s ready to go!. In this. On Mars The Acceleration Due To Gravity Is 3.71.
From www.chegg.com
Solved On Mars, the acceleration due to gravity is 3.71 m/s. On Mars The Acceleration Due To Gravity Is 3.71 How far would a rock fall in 6.45 s if you dropped it on mars? Your solution’s ready to go!. In this problem, the acceleration due to gravity on mars is 3.71 meter per second square and we have to find out the. Weight = mass × acceleration due to gravity. If you drop a rock on mars, it will. On Mars The Acceleration Due To Gravity Is 3.71.
From www.youtube.com
Calculate the acceleration due to gravity on the Moon. The Moon's On Mars The Acceleration Due To Gravity Is 3.71 In this problem, the acceleration due to gravity on mars is 3.71 meter per second square and we have to find out the. On mars, the acceleration due to gravity is 3.71 m/s^2. How far would a rock fall in 6.45 s if you dropped it on mars? First, we need to find the mass of the spacecraft on mars.. On Mars The Acceleration Due To Gravity Is 3.71.
From www.youtube.com
Free fall Acceleration due to gravity on earth. YouTube On Mars The Acceleration Due To Gravity Is 3.71 You are assigned the design of a cylindrical, pressurized water tank for a future colony on mars, where the acceleration due to. The weight on the mars calculator computes net force of gravity on a mass based on the acceleration due to gravity (g = 3.71 m/s²) on. (is the acceleration positive or negative?) What would a rock's velocity be. On Mars The Acceleration Due To Gravity Is 3.71.
From physicscalculations.com
Acceleration Due to Gravity in Physics On Mars The Acceleration Due To Gravity Is 3.71 On mars, the acceleration due to gravity is 3.71 m/s^2. First, we need to find the mass of the spacecraft on mars. What would a rock's velocity be 3 s after you dropped it on mars? We can use the formula: The weight on the mars calculator computes net force of gravity on a mass based on the acceleration due. On Mars The Acceleration Due To Gravity Is 3.71.
From tyree-bloglucero.blogspot.com
How to Calculate Acceleration Due to Gravity on Mars On Mars The Acceleration Due To Gravity Is 3.71 In this problem, the acceleration due to gravity on mars is 3.71 meter per second square and we have to find out the. Weight = mass × acceleration due to gravity. On mars, the acceleration due to gravity is 3.71 m/s^2. What would a rock's velocity be 3 s after you dropped it on mars? The weight on the mars. On Mars The Acceleration Due To Gravity Is 3.71.
From tyree-bloglucero.blogspot.com
How to Calculate Acceleration Due to Gravity on Mars On Mars The Acceleration Due To Gravity Is 3.71 Weight = mass × acceleration due to gravity. We can use the formula: (is the acceleration positive or negative?) What would a rock's velocity be 3 s after you dropped it on mars? The weight on the mars calculator computes net force of gravity on a mass based on the acceleration due to gravity (g = 3.71 m/s²) on. If. On Mars The Acceleration Due To Gravity Is 3.71.
From www.youtube.com
Variation in Acceleration due to gravity of earth & Kepler's Laws Phys On Mars The Acceleration Due To Gravity Is 3.71 Your solution’s ready to go!. The weight on the mars calculator computes net force of gravity on a mass based on the acceleration due to gravity (g = 3.71 m/s²) on. On mars, the acceleration due to gravity is 3.71 m/s². How far would a rock fall in 6.45 s if you dropped it on mars? On mars, the acceleration. On Mars The Acceleration Due To Gravity Is 3.71.
From www.youtube.com
1The acceleration due to gravity on the surface of the earth is `10 ms On Mars The Acceleration Due To Gravity Is 3.71 What would a rock's velocity be 3 s after you dropped it on mars? On mars, the acceleration due to gravity is 3.71 m/s². We can use the formula: (is the acceleration positive or negative?) First, we need to find the mass of the spacecraft on mars. The weight on the mars calculator computes net force of gravity on a. On Mars The Acceleration Due To Gravity Is 3.71.
From www.numerade.com
SOLVED The acceleration due to gravity on the surface of Mars at the On Mars The Acceleration Due To Gravity Is 3.71 (is the acceleration positive or negative?) Your solution’s ready to go!. In this problem, the acceleration due to gravity on mars is 3.71 meter per second square and we have to find out the. If you drop a rock on mars, it will experience a downward force of 3.71 m/s². Weight = mass × acceleration due to gravity. First, we. On Mars The Acceleration Due To Gravity Is 3.71.
From www.coursehero.com
[Solved] Convert acceleration due to gravity (g=9.8066m/s2 ) of SI to On Mars The Acceleration Due To Gravity Is 3.71 How far would a rock fall in 6.45 s if you dropped it on mars? You are assigned the design of a cylindrical, pressurized water tank for a future colony on mars, where the acceleration due to. Your solution’s ready to go!. If you drop a rock on mars, it will experience a downward force of 3.71 m/s². In this. On Mars The Acceleration Due To Gravity Is 3.71.
From www.numerade.com
SOLVED (II) Given that the acceleration of gravity at the surface of On Mars The Acceleration Due To Gravity Is 3.71 If you drop a rock on mars, it will experience a downward force of 3.71 m/s². We can use the formula: First, we need to find the mass of the spacecraft on mars. The weight on the mars calculator computes net force of gravity on a mass based on the acceleration due to gravity (g = 3.71 m/s²) on. On. On Mars The Acceleration Due To Gravity Is 3.71.
From www.chegg.com
Solved A tennis ball on Mars, where the acceleration due to On Mars The Acceleration Due To Gravity Is 3.71 What would a rock's velocity be 3 s after you dropped it on mars? If you drop a rock on mars, it will experience a downward force of 3.71 m/s². On mars, the acceleration due to gravity is 3.71 m/s^2. Your solution’s ready to go!. (is the acceleration positive or negative?) On mars, the acceleration due to gravity is 3.71. On Mars The Acceleration Due To Gravity Is 3.71.