How Many Grams Of Fe2O3 In Iron . This compound is also known as ferric oxide or hematite or iron(iii) oxide. How many grams fe2o3 are formed when 16.7 g of fe reacts completely. How many grams fe 2 o 3, are produced from the complete reaction of 32.2 g of fe? Iron (iii) oxide is formed when iron combines with oxygen in the air. Question asks about grams of fe 2 o 3; The name for fe2o3 is iron (iii) oxide. The molar mass of iron (iii) oxide is 159.69 grams/mole. Molar mass of fe2o3 = 159.6882 g/mol. This is found by adding the total mass of iron and oxygen in iron (iii) oxide. All of these calculations are. Visit byju's to understand the properties,. That is, the reduction of 1.0 grams of fe 2 o 3 by excess hydrogen gas will produce 0.013 moles of elemental iron.
from www.toppr.com
All of these calculations are. Iron (iii) oxide is formed when iron combines with oxygen in the air. How many grams fe 2 o 3, are produced from the complete reaction of 32.2 g of fe? Visit byju's to understand the properties,. Question asks about grams of fe 2 o 3; How many grams fe2o3 are formed when 16.7 g of fe reacts completely. This is found by adding the total mass of iron and oxygen in iron (iii) oxide. The molar mass of iron (iii) oxide is 159.69 grams/mole. This compound is also known as ferric oxide or hematite or iron(iii) oxide. Molar mass of fe2o3 = 159.6882 g/mol.
How much of iron can be theoretically obtained by the reduction of 1 kg
How Many Grams Of Fe2O3 In Iron How many grams fe 2 o 3, are produced from the complete reaction of 32.2 g of fe? The name for fe2o3 is iron (iii) oxide. Iron (iii) oxide is formed when iron combines with oxygen in the air. How many grams fe2o3 are formed when 16.7 g of fe reacts completely. Molar mass of fe2o3 = 159.6882 g/mol. This compound is also known as ferric oxide or hematite or iron(iii) oxide. Visit byju's to understand the properties,. That is, the reduction of 1.0 grams of fe 2 o 3 by excess hydrogen gas will produce 0.013 moles of elemental iron. All of these calculations are. How many grams fe 2 o 3, are produced from the complete reaction of 32.2 g of fe? This is found by adding the total mass of iron and oxygen in iron (iii) oxide. Question asks about grams of fe 2 o 3; The molar mass of iron (iii) oxide is 159.69 grams/mole.
From www.numerade.com
SOLVED Experiment 3 Report (page 3) Name of the student Student ID How Many Grams Of Fe2O3 In Iron The name for fe2o3 is iron (iii) oxide. How many grams fe2o3 are formed when 16.7 g of fe reacts completely. This is found by adding the total mass of iron and oxygen in iron (iii) oxide. This compound is also known as ferric oxide or hematite or iron(iii) oxide. How many grams fe 2 o 3, are produced from. How Many Grams Of Fe2O3 In Iron.
From www.numerade.com
SOLVED 35. How many grams of iron are there in 1 mole of the following How Many Grams Of Fe2O3 In Iron Molar mass of fe2o3 = 159.6882 g/mol. How many grams fe2o3 are formed when 16.7 g of fe reacts completely. The molar mass of iron (iii) oxide is 159.69 grams/mole. That is, the reduction of 1.0 grams of fe 2 o 3 by excess hydrogen gas will produce 0.013 moles of elemental iron. All of these calculations are. Question asks. How Many Grams Of Fe2O3 In Iron.
From www.solutionspile.com
[Solved] 1. How many grams of iron(III) oxide, Fe2O3, can How Many Grams Of Fe2O3 In Iron That is, the reduction of 1.0 grams of fe 2 o 3 by excess hydrogen gas will produce 0.013 moles of elemental iron. Iron (iii) oxide is formed when iron combines with oxygen in the air. All of these calculations are. This is found by adding the total mass of iron and oxygen in iron (iii) oxide. Visit byju's to. How Many Grams Of Fe2O3 In Iron.
From www.chegg.com
Solved 4Fe + 3O2 → 2Fe2O3 If 36 grams of iron react with 22 How Many Grams Of Fe2O3 In Iron Iron (iii) oxide is formed when iron combines with oxygen in the air. How many grams fe 2 o 3, are produced from the complete reaction of 32.2 g of fe? That is, the reduction of 1.0 grams of fe 2 o 3 by excess hydrogen gas will produce 0.013 moles of elemental iron. How many grams fe2o3 are formed. How Many Grams Of Fe2O3 In Iron.
From www.numerade.com
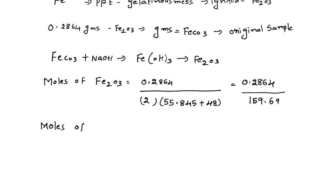
In the gravimetric analysis of iron, hydroxide may be added to a How Many Grams Of Fe2O3 In Iron Molar mass of fe2o3 = 159.6882 g/mol. The molar mass of iron (iii) oxide is 159.69 grams/mole. Question asks about grams of fe 2 o 3; Visit byju's to understand the properties,. All of these calculations are. The name for fe2o3 is iron (iii) oxide. That is, the reduction of 1.0 grams of fe 2 o 3 by excess hydrogen. How Many Grams Of Fe2O3 In Iron.
From slideplayer.com
Chapter 9 Stoichiometry part I ppt download How Many Grams Of Fe2O3 In Iron Visit byju's to understand the properties,. The name for fe2o3 is iron (iii) oxide. This is found by adding the total mass of iron and oxygen in iron (iii) oxide. All of these calculations are. Molar mass of fe2o3 = 159.6882 g/mol. That is, the reduction of 1.0 grams of fe 2 o 3 by excess hydrogen gas will produce. How Many Grams Of Fe2O3 In Iron.
From www.slideserve.com
PPT Remembering Molarity and Stoichiometry PowerPoint Presentation How Many Grams Of Fe2O3 In Iron Iron (iii) oxide is formed when iron combines with oxygen in the air. All of these calculations are. This is found by adding the total mass of iron and oxygen in iron (iii) oxide. How many grams fe2o3 are formed when 16.7 g of fe reacts completely. Visit byju's to understand the properties,. This compound is also known as ferric. How Many Grams Of Fe2O3 In Iron.
From www.chegg.com
Solved Convert grams of Fe2O3 to grams of Fe. Select the How Many Grams Of Fe2O3 In Iron The molar mass of iron (iii) oxide is 159.69 grams/mole. This is found by adding the total mass of iron and oxygen in iron (iii) oxide. Iron (iii) oxide is formed when iron combines with oxygen in the air. How many grams fe 2 o 3, are produced from the complete reaction of 32.2 g of fe? Question asks about. How Many Grams Of Fe2O3 In Iron.
From www.numerade.com
SOLVED If there is 2.533 kg of iron (Fe) in a bike, how many grams of How Many Grams Of Fe2O3 In Iron The name for fe2o3 is iron (iii) oxide. Iron (iii) oxide is formed when iron combines with oxygen in the air. That is, the reduction of 1.0 grams of fe 2 o 3 by excess hydrogen gas will produce 0.013 moles of elemental iron. This is found by adding the total mass of iron and oxygen in iron (iii) oxide.. How Many Grams Of Fe2O3 In Iron.
From www.numerade.com
SOLVED Given the following reaction Fe2O3(s) + CO(g) 🡺 Fe(s) + CO2(g How Many Grams Of Fe2O3 In Iron That is, the reduction of 1.0 grams of fe 2 o 3 by excess hydrogen gas will produce 0.013 moles of elemental iron. How many grams fe 2 o 3, are produced from the complete reaction of 32.2 g of fe? This compound is also known as ferric oxide or hematite or iron(iii) oxide. Visit byju's to understand the properties,.. How Many Grams Of Fe2O3 In Iron.
From www.mbizmarket.co.id
Iron Oxide Fe2O3, 100 Gram How Many Grams Of Fe2O3 In Iron How many grams fe 2 o 3, are produced from the complete reaction of 32.2 g of fe? Question asks about grams of fe 2 o 3; The molar mass of iron (iii) oxide is 159.69 grams/mole. Visit byju's to understand the properties,. This compound is also known as ferric oxide or hematite or iron(iii) oxide. The name for fe2o3. How Many Grams Of Fe2O3 In Iron.
From www.numerade.com
SOLVED Stoichiometry Practice Show All Work Iron reacts with oxygen How Many Grams Of Fe2O3 In Iron The name for fe2o3 is iron (iii) oxide. Molar mass of fe2o3 = 159.6882 g/mol. Question asks about grams of fe 2 o 3; How many grams fe 2 o 3, are produced from the complete reaction of 32.2 g of fe? The molar mass of iron (iii) oxide is 159.69 grams/mole. That is, the reduction of 1.0 grams of. How Many Grams Of Fe2O3 In Iron.
From www.numerade.com
SOLVED The balanced equation for the reaction of metallic iron with O2 How Many Grams Of Fe2O3 In Iron Visit byju's to understand the properties,. All of these calculations are. That is, the reduction of 1.0 grams of fe 2 o 3 by excess hydrogen gas will produce 0.013 moles of elemental iron. How many grams fe 2 o 3, are produced from the complete reaction of 32.2 g of fe? This compound is also known as ferric oxide. How Many Grams Of Fe2O3 In Iron.
From brainly.com
How many grams of Fe2O3 will be produced by passing 200.0 grams of hot How Many Grams Of Fe2O3 In Iron Iron (iii) oxide is formed when iron combines with oxygen in the air. That is, the reduction of 1.0 grams of fe 2 o 3 by excess hydrogen gas will produce 0.013 moles of elemental iron. Molar mass of fe2o3 = 159.6882 g/mol. How many grams fe2o3 are formed when 16.7 g of fe reacts completely. Question asks about grams. How Many Grams Of Fe2O3 In Iron.
From slideplayer.com
Molar Mass Conversions ppt download How Many Grams Of Fe2O3 In Iron Question asks about grams of fe 2 o 3; All of these calculations are. This is found by adding the total mass of iron and oxygen in iron (iii) oxide. Visit byju's to understand the properties,. How many grams fe 2 o 3, are produced from the complete reaction of 32.2 g of fe? How many grams fe2o3 are formed. How Many Grams Of Fe2O3 In Iron.
From www.numerade.com
SOLVED using the following equationFe2O3 +3H2———>2Fe +3H2O. calculate How Many Grams Of Fe2O3 In Iron This compound is also known as ferric oxide or hematite or iron(iii) oxide. All of these calculations are. How many grams fe 2 o 3, are produced from the complete reaction of 32.2 g of fe? The molar mass of iron (iii) oxide is 159.69 grams/mole. How many grams fe2o3 are formed when 16.7 g of fe reacts completely. The. How Many Grams Of Fe2O3 In Iron.
From www.slideserve.com
PPT 1 mole = 6.02 X 10 23 things This is called Avogadro’s number How Many Grams Of Fe2O3 In Iron Visit byju's to understand the properties,. How many grams fe2o3 are formed when 16.7 g of fe reacts completely. This is found by adding the total mass of iron and oxygen in iron (iii) oxide. How many grams fe 2 o 3, are produced from the complete reaction of 32.2 g of fe? Iron (iii) oxide is formed when iron. How Many Grams Of Fe2O3 In Iron.
From brainly.com
How many moles are in 62 grams of iron (III) oxide, Fe2O3? How Many Grams Of Fe2O3 In Iron How many grams fe 2 o 3, are produced from the complete reaction of 32.2 g of fe? All of these calculations are. Molar mass of fe2o3 = 159.6882 g/mol. Visit byju's to understand the properties,. How many grams fe2o3 are formed when 16.7 g of fe reacts completely. Question asks about grams of fe 2 o 3; The name. How Many Grams Of Fe2O3 In Iron.
From www.numerade.com
SOLVED Iron, Fe, reacts with oxygen in the air, O2, to form iron(III How Many Grams Of Fe2O3 In Iron Iron (iii) oxide is formed when iron combines with oxygen in the air. All of these calculations are. Molar mass of fe2o3 = 159.6882 g/mol. This is found by adding the total mass of iron and oxygen in iron (iii) oxide. The molar mass of iron (iii) oxide is 159.69 grams/mole. How many grams fe 2 o 3, are produced. How Many Grams Of Fe2O3 In Iron.
From www.numerade.com
SOLVED Fe+O2=Fe2O3 If 14.6 g of iron(III) oxide (rust) is produced How Many Grams Of Fe2O3 In Iron That is, the reduction of 1.0 grams of fe 2 o 3 by excess hydrogen gas will produce 0.013 moles of elemental iron. This is found by adding the total mass of iron and oxygen in iron (iii) oxide. How many grams fe 2 o 3, are produced from the complete reaction of 32.2 g of fe? Molar mass of. How Many Grams Of Fe2O3 In Iron.
From brainly.com
How many grams of Fe2O3 will be produced from 37.5 grams of iron How Many Grams Of Fe2O3 In Iron Molar mass of fe2o3 = 159.6882 g/mol. All of these calculations are. Visit byju's to understand the properties,. This is found by adding the total mass of iron and oxygen in iron (iii) oxide. That is, the reduction of 1.0 grams of fe 2 o 3 by excess hydrogen gas will produce 0.013 moles of elemental iron. This compound is. How Many Grams Of Fe2O3 In Iron.
From www.youtube.com
How to find the molar mass of Fe2O3 (Iron (III) Oxide) YouTube How Many Grams Of Fe2O3 In Iron The name for fe2o3 is iron (iii) oxide. How many grams fe 2 o 3, are produced from the complete reaction of 32.2 g of fe? Question asks about grams of fe 2 o 3; Molar mass of fe2o3 = 159.6882 g/mol. Visit byju's to understand the properties,. This is found by adding the total mass of iron and oxygen. How Many Grams Of Fe2O3 In Iron.
From www.numerade.com
SOLVED 1. Iron reacts with oxygen to produce iron(III)oxide =. The How Many Grams Of Fe2O3 In Iron Question asks about grams of fe 2 o 3; The name for fe2o3 is iron (iii) oxide. Molar mass of fe2o3 = 159.6882 g/mol. This is found by adding the total mass of iron and oxygen in iron (iii) oxide. That is, the reduction of 1.0 grams of fe 2 o 3 by excess hydrogen gas will produce 0.013 moles. How Many Grams Of Fe2O3 In Iron.
From www.youtube.com
Mass of iron, Fe, formed from iron oxide, Fe2O3, moles calculation How Many Grams Of Fe2O3 In Iron The molar mass of iron (iii) oxide is 159.69 grams/mole. Question asks about grams of fe 2 o 3; That is, the reduction of 1.0 grams of fe 2 o 3 by excess hydrogen gas will produce 0.013 moles of elemental iron. This compound is also known as ferric oxide or hematite or iron(iii) oxide. How many grams fe 2. How Many Grams Of Fe2O3 In Iron.
From www.numerade.com
SOLVED Fe+O2=Fe2O3 If 14.2 g of iron(III) oxide (rust) is produced How Many Grams Of Fe2O3 In Iron Visit byju's to understand the properties,. All of these calculations are. How many grams fe2o3 are formed when 16.7 g of fe reacts completely. That is, the reduction of 1.0 grams of fe 2 o 3 by excess hydrogen gas will produce 0.013 moles of elemental iron. This is found by adding the total mass of iron and oxygen in. How Many Grams Of Fe2O3 In Iron.
From brainly.com
How many grams of Fe2O3 will be produced by passing 200.0 grams of hot How Many Grams Of Fe2O3 In Iron The molar mass of iron (iii) oxide is 159.69 grams/mole. Visit byju's to understand the properties,. How many grams fe2o3 are formed when 16.7 g of fe reacts completely. Iron (iii) oxide is formed when iron combines with oxygen in the air. Question asks about grams of fe 2 o 3; Molar mass of fe2o3 = 159.6882 g/mol. All of. How Many Grams Of Fe2O3 In Iron.
From www.chegg.com
Solved Question 21 49 How many gram of Fe2O3 are there in How Many Grams Of Fe2O3 In Iron That is, the reduction of 1.0 grams of fe 2 o 3 by excess hydrogen gas will produce 0.013 moles of elemental iron. This compound is also known as ferric oxide or hematite or iron(iii) oxide. All of these calculations are. How many grams fe2o3 are formed when 16.7 g of fe reacts completely. This is found by adding the. How Many Grams Of Fe2O3 In Iron.
From www.coursehero.com
[Solved] Convert grams of Fe 2 O 3 to grams of Fe. Select the correct How Many Grams Of Fe2O3 In Iron Iron (iii) oxide is formed when iron combines with oxygen in the air. That is, the reduction of 1.0 grams of fe 2 o 3 by excess hydrogen gas will produce 0.013 moles of elemental iron. This compound is also known as ferric oxide or hematite or iron(iii) oxide. The name for fe2o3 is iron (iii) oxide. All of these. How Many Grams Of Fe2O3 In Iron.
From www.youtube.com
Convert Grams of Fe2O3 to Moles YouTube How Many Grams Of Fe2O3 In Iron Question asks about grams of fe 2 o 3; Iron (iii) oxide is formed when iron combines with oxygen in the air. All of these calculations are. Molar mass of fe2o3 = 159.6882 g/mol. How many grams fe 2 o 3, are produced from the complete reaction of 32.2 g of fe? That is, the reduction of 1.0 grams of. How Many Grams Of Fe2O3 In Iron.
From slideplayer.com
Unit 8 Reactions And Stoichiometry ppt download How Many Grams Of Fe2O3 In Iron Iron (iii) oxide is formed when iron combines with oxygen in the air. How many grams fe2o3 are formed when 16.7 g of fe reacts completely. This compound is also known as ferric oxide or hematite or iron(iii) oxide. The name for fe2o3 is iron (iii) oxide. All of these calculations are. Molar mass of fe2o3 = 159.6882 g/mol. Visit. How Many Grams Of Fe2O3 In Iron.
From brainly.com
iron oxide is formed when iron combines with oxygen and air how many How Many Grams Of Fe2O3 In Iron This is found by adding the total mass of iron and oxygen in iron (iii) oxide. The molar mass of iron (iii) oxide is 159.69 grams/mole. Molar mass of fe2o3 = 159.6882 g/mol. This compound is also known as ferric oxide or hematite or iron(iii) oxide. How many grams fe 2 o 3, are produced from the complete reaction of. How Many Grams Of Fe2O3 In Iron.
From www.toppr.com
How much of iron can be theoretically obtained by the reduction of 1 kg How Many Grams Of Fe2O3 In Iron The name for fe2o3 is iron (iii) oxide. Iron (iii) oxide is formed when iron combines with oxygen in the air. Molar mass of fe2o3 = 159.6882 g/mol. How many grams fe2o3 are formed when 16.7 g of fe reacts completely. How many grams fe 2 o 3, are produced from the complete reaction of 32.2 g of fe? The. How Many Grams Of Fe2O3 In Iron.
From www.coursehero.com
[Solved] Fe2O3+3H2 > 2Fe+3H2O a) how many grams of iron are made from How Many Grams Of Fe2O3 In Iron This compound is also known as ferric oxide or hematite or iron(iii) oxide. Visit byju's to understand the properties,. Question asks about grams of fe 2 o 3; Molar mass of fe2o3 = 159.6882 g/mol. Iron (iii) oxide is formed when iron combines with oxygen in the air. All of these calculations are. The name for fe2o3 is iron (iii). How Many Grams Of Fe2O3 In Iron.
From www.numerade.com
SOLVED How many grams of Fe2O3 can be produced if 4.24 grams of iron How Many Grams Of Fe2O3 In Iron How many grams fe 2 o 3, are produced from the complete reaction of 32.2 g of fe? This compound is also known as ferric oxide or hematite or iron(iii) oxide. Molar mass of fe2o3 = 159.6882 g/mol. The name for fe2o3 is iron (iii) oxide. Iron (iii) oxide is formed when iron combines with oxygen in the air. Visit. How Many Grams Of Fe2O3 In Iron.
From www.numerade.com
3.50 grams of elemental iron reacts in excess oxygen to make Fe2O3 (s How Many Grams Of Fe2O3 In Iron Question asks about grams of fe 2 o 3; This compound is also known as ferric oxide or hematite or iron(iii) oxide. All of these calculations are. How many grams fe 2 o 3, are produced from the complete reaction of 32.2 g of fe? This is found by adding the total mass of iron and oxygen in iron (iii). How Many Grams Of Fe2O3 In Iron.