Standard Reduction Potential Hg2+ . You may rewrite a reaction by replacing h +. Reduction reactions in acidic solution are written using h + in place of h 3 o +. Below is a table that lists the standard reduction potentials of various substances, measured at a temperature of 25 ºc, at a pressure of 101.3 kpa. Use standard reduction potentials to determine the better. Values are from the following sources: 45 rows standard electrode potentials in aqueous solution at 25°c. The following table provides e o for selected reduction reactions. The reference state for amalgams is an infinitely dilute solution of the element in hg. Standard electrode (reduction) potentials in aqueous solution at 25 °c. 372 rows the data below tabulates standard electrode potentials (e°), in volts relative to the standard hydrogen electrode (she), at:. The temperature coefficient, de /dt allows us to.
from www.pveducation.org
Values are from the following sources: You may rewrite a reaction by replacing h +. 45 rows standard electrode potentials in aqueous solution at 25°c. Use standard reduction potentials to determine the better. The reference state for amalgams is an infinitely dilute solution of the element in hg. 372 rows the data below tabulates standard electrode potentials (e°), in volts relative to the standard hydrogen electrode (she), at:. Below is a table that lists the standard reduction potentials of various substances, measured at a temperature of 25 ºc, at a pressure of 101.3 kpa. Reduction reactions in acidic solution are written using h + in place of h 3 o +. Standard electrode (reduction) potentials in aqueous solution at 25 °c. The temperature coefficient, de /dt allows us to.
Standard Potential PVEducation
Standard Reduction Potential Hg2+ The following table provides e o for selected reduction reactions. The temperature coefficient, de /dt allows us to. 372 rows the data below tabulates standard electrode potentials (e°), in volts relative to the standard hydrogen electrode (she), at:. Standard electrode (reduction) potentials in aqueous solution at 25 °c. Values are from the following sources: Reduction reactions in acidic solution are written using h + in place of h 3 o +. Use standard reduction potentials to determine the better. You may rewrite a reaction by replacing h +. Below is a table that lists the standard reduction potentials of various substances, measured at a temperature of 25 ºc, at a pressure of 101.3 kpa. The reference state for amalgams is an infinitely dilute solution of the element in hg. The following table provides e o for selected reduction reactions. 45 rows standard electrode potentials in aqueous solution at 25°c.
From www.numerade.com
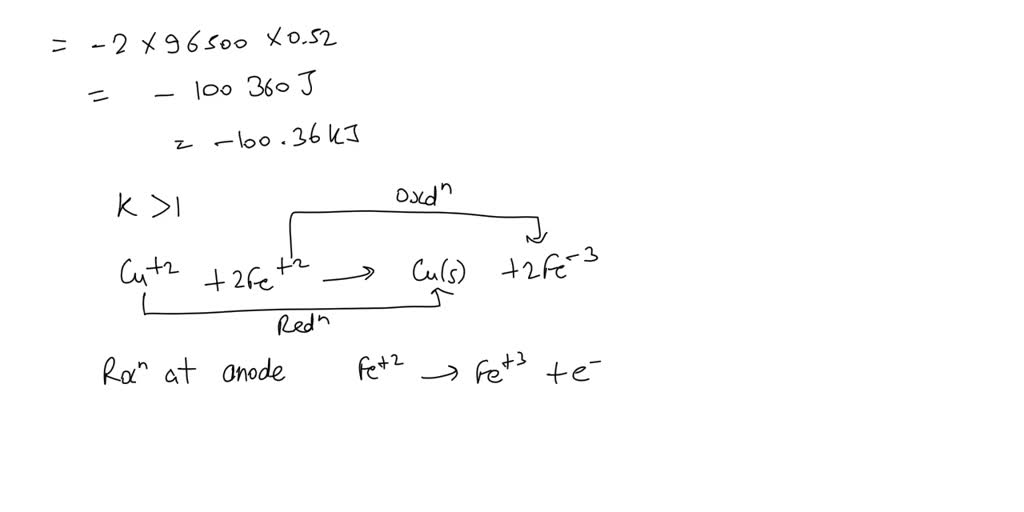
SOLVED Use standard reduction potentials to calculate the equilibrium Standard Reduction Potential Hg2+ 45 rows standard electrode potentials in aqueous solution at 25°c. Reduction reactions in acidic solution are written using h + in place of h 3 o +. 372 rows the data below tabulates standard electrode potentials (e°), in volts relative to the standard hydrogen electrode (she), at:. Below is a table that lists the standard reduction potentials of various substances,. Standard Reduction Potential Hg2+.
From www.chegg.com
Solved Standard reduction potentials Use the table of Standard Reduction Potential Hg2+ Below is a table that lists the standard reduction potentials of various substances, measured at a temperature of 25 ºc, at a pressure of 101.3 kpa. Use standard reduction potentials to determine the better. The reference state for amalgams is an infinitely dilute solution of the element in hg. 45 rows standard electrode potentials in aqueous solution at 25°c. Values. Standard Reduction Potential Hg2+.
From www.bartleby.com
Answered Use standard reduction potentials to… bartleby Standard Reduction Potential Hg2+ Values are from the following sources: 372 rows the data below tabulates standard electrode potentials (e°), in volts relative to the standard hydrogen electrode (she), at:. The temperature coefficient, de /dt allows us to. 45 rows standard electrode potentials in aqueous solution at 25°c. Reduction reactions in acidic solution are written using h + in place of h 3 o. Standard Reduction Potential Hg2+.
From www.numerade.com
SOLVEDExample 4 Using standard reduction potentials determine which of Standard Reduction Potential Hg2+ The temperature coefficient, de /dt allows us to. Values are from the following sources: Reduction reactions in acidic solution are written using h + in place of h 3 o +. The reference state for amalgams is an infinitely dilute solution of the element in hg. 372 rows the data below tabulates standard electrode potentials (e°), in volts relative to. Standard Reduction Potential Hg2+.
From www.chegg.com
Solved 6. Using the standard reduction potentials below, Hg2 Standard Reduction Potential Hg2+ Reduction reactions in acidic solution are written using h + in place of h 3 o +. Use standard reduction potentials to determine the better. Standard electrode (reduction) potentials in aqueous solution at 25 °c. The reference state for amalgams is an infinitely dilute solution of the element in hg. You may rewrite a reaction by replacing h +. 372. Standard Reduction Potential Hg2+.
From questions-in.kunduz.com
6. Match the standard reduction potential... Physical Chemistry Standard Reduction Potential Hg2+ Standard electrode (reduction) potentials in aqueous solution at 25 °c. Below is a table that lists the standard reduction potentials of various substances, measured at a temperature of 25 ºc, at a pressure of 101.3 kpa. Values are from the following sources: Use standard reduction potentials to determine the better. Reduction reactions in acidic solution are written using h +. Standard Reduction Potential Hg2+.
From www.numerade.com
SOLVED Hg2Cl2 (s) + 2e —> 2Hg (l) + 2 Cl (aq) and Hg2 2+ (aq Standard Reduction Potential Hg2+ You may rewrite a reaction by replacing h +. Below is a table that lists the standard reduction potentials of various substances, measured at a temperature of 25 ºc, at a pressure of 101.3 kpa. 45 rows standard electrode potentials in aqueous solution at 25°c. Reduction reactions in acidic solution are written using h + in place of h 3. Standard Reduction Potential Hg2+.
From www.numerade.com
SOLVED Consider the following standard reduction potentials at 25 °C Standard Reduction Potential Hg2+ You may rewrite a reaction by replacing h +. 372 rows the data below tabulates standard electrode potentials (e°), in volts relative to the standard hydrogen electrode (she), at:. Values are from the following sources: The following table provides e o for selected reduction reactions. Reduction reactions in acidic solution are written using h + in place of h 3. Standard Reduction Potential Hg2+.
From www.numerade.com
SOLVED Texts 3. Make use of the following standard reduction Standard Reduction Potential Hg2+ The following table provides e o for selected reduction reactions. You may rewrite a reaction by replacing h +. 45 rows standard electrode potentials in aqueous solution at 25°c. 372 rows the data below tabulates standard electrode potentials (e°), in volts relative to the standard hydrogen electrode (she), at:. Values are from the following sources: Standard electrode (reduction) potentials in. Standard Reduction Potential Hg2+.
From www.numerade.com
SOLVED Use the standard reduction potentials located in the 'Tables Standard Reduction Potential Hg2+ 372 rows the data below tabulates standard electrode potentials (e°), in volts relative to the standard hydrogen electrode (she), at:. The following table provides e o for selected reduction reactions. You may rewrite a reaction by replacing h +. Use standard reduction potentials to determine the better. The reference state for amalgams is an infinitely dilute solution of the element. Standard Reduction Potential Hg2+.
From www.numerade.com
SOLVEDUse the standard reduction potentials (Appendix M) for the half Standard Reduction Potential Hg2+ You may rewrite a reaction by replacing h +. The reference state for amalgams is an infinitely dilute solution of the element in hg. 372 rows the data below tabulates standard electrode potentials (e°), in volts relative to the standard hydrogen electrode (she), at:. Below is a table that lists the standard reduction potentials of various substances, measured at a. Standard Reduction Potential Hg2+.
From www.toppr.com
Indicate which of the substance/ion in the following reaction is an Standard Reduction Potential Hg2+ Standard electrode (reduction) potentials in aqueous solution at 25 °c. 372 rows the data below tabulates standard electrode potentials (e°), in volts relative to the standard hydrogen electrode (she), at:. Use standard reduction potentials to determine the better. 45 rows standard electrode potentials in aqueous solution at 25°c. The following table provides e o for selected reduction reactions. The temperature. Standard Reduction Potential Hg2+.
From www.numerade.com
SOLVED Need help solving these and understanding how to solve them Standard Reduction Potential Hg2+ Use standard reduction potentials to determine the better. The reference state for amalgams is an infinitely dilute solution of the element in hg. 372 rows the data below tabulates standard electrode potentials (e°), in volts relative to the standard hydrogen electrode (she), at:. Values are from the following sources: The temperature coefficient, de /dt allows us to. Below is a. Standard Reduction Potential Hg2+.
From f15.beauty
Standard Reduction Potential Table Standard Reduction Potential Hg2+ 372 rows the data below tabulates standard electrode potentials (e°), in volts relative to the standard hydrogen electrode (she), at:. 45 rows standard electrode potentials in aqueous solution at 25°c. Reduction reactions in acidic solution are written using h + in place of h 3 o +. Values are from the following sources: Standard electrode (reduction) potentials in aqueous solution. Standard Reduction Potential Hg2+.
From www.pveducation.org
Standard Potential PVEducation Standard Reduction Potential Hg2+ Reduction reactions in acidic solution are written using h + in place of h 3 o +. The reference state for amalgams is an infinitely dilute solution of the element in hg. 372 rows the data below tabulates standard electrode potentials (e°), in volts relative to the standard hydrogen electrode (she), at:. Standard electrode (reduction) potentials in aqueous solution at. Standard Reduction Potential Hg2+.
From www.slideserve.com
PPT Chapter 17 Electrochemistry PowerPoint Presentation, free Standard Reduction Potential Hg2+ Standard electrode (reduction) potentials in aqueous solution at 25 °c. Use standard reduction potentials to determine the better. Values are from the following sources: 372 rows the data below tabulates standard electrode potentials (e°), in volts relative to the standard hydrogen electrode (she), at:. Reduction reactions in acidic solution are written using h + in place of h 3 o. Standard Reduction Potential Hg2+.
From www.numerade.com
SOLVED Use standard reduction potentials to calculate the equilibrium Standard Reduction Potential Hg2+ Reduction reactions in acidic solution are written using h + in place of h 3 o +. The reference state for amalgams is an infinitely dilute solution of the element in hg. 372 rows the data below tabulates standard electrode potentials (e°), in volts relative to the standard hydrogen electrode (she), at:. Below is a table that lists the standard. Standard Reduction Potential Hg2+.
From www.chegg.com
Solved Use the standard reduction potentials located in the Standard Reduction Potential Hg2+ 372 rows the data below tabulates standard electrode potentials (e°), in volts relative to the standard hydrogen electrode (she), at:. Below is a table that lists the standard reduction potentials of various substances, measured at a temperature of 25 ºc, at a pressure of 101.3 kpa. Reduction reactions in acidic solution are written using h + in place of h. Standard Reduction Potential Hg2+.
From www.toppr.com
Given the standard reduction potentials, E^∘K^+/ K = 2.93 V, E^∘Ag Standard Reduction Potential Hg2+ Use standard reduction potentials to determine the better. The following table provides e o for selected reduction reactions. Standard electrode (reduction) potentials in aqueous solution at 25 °c. Below is a table that lists the standard reduction potentials of various substances, measured at a temperature of 25 ºc, at a pressure of 101.3 kpa. 372 rows the data below tabulates. Standard Reduction Potential Hg2+.
From dxofmrhhh.blob.core.windows.net
Standard Electrode Potential Pdf at Arthur Baker blog Standard Reduction Potential Hg2+ The following table provides e o for selected reduction reactions. The temperature coefficient, de /dt allows us to. The reference state for amalgams is an infinitely dilute solution of the element in hg. Standard electrode (reduction) potentials in aqueous solution at 25 °c. Reduction reactions in acidic solution are written using h + in place of h 3 o +.. Standard Reduction Potential Hg2+.
From www.numerade.com
SOLVEDCalculate the equilibrium constant at 25^∘ C for the reaction Standard Reduction Potential Hg2+ Use standard reduction potentials to determine the better. Values are from the following sources: The following table provides e o for selected reduction reactions. Standard electrode (reduction) potentials in aqueous solution at 25 °c. 45 rows standard electrode potentials in aqueous solution at 25°c. The temperature coefficient, de /dt allows us to. The reference state for amalgams is an infinitely. Standard Reduction Potential Hg2+.
From www.slideserve.com
PPT Chapter 20 Electrochemistry PowerPoint Presentation, free Standard Reduction Potential Hg2+ Standard electrode (reduction) potentials in aqueous solution at 25 °c. The reference state for amalgams is an infinitely dilute solution of the element in hg. The following table provides e o for selected reduction reactions. 372 rows the data below tabulates standard electrode potentials (e°), in volts relative to the standard hydrogen electrode (she), at:. Use standard reduction potentials to. Standard Reduction Potential Hg2+.
From www.numerade.com
SOLVED Using standard reduction potentials, calculate the standard Standard Reduction Potential Hg2+ 45 rows standard electrode potentials in aqueous solution at 25°c. Values are from the following sources: You may rewrite a reaction by replacing h +. The reference state for amalgams is an infinitely dilute solution of the element in hg. The following table provides e o for selected reduction reactions. Reduction reactions in acidic solution are written using h +. Standard Reduction Potential Hg2+.
From www.numerade.com
SOLVED Texts 3. Make use of the following standard reduction Standard Reduction Potential Hg2+ The following table provides e o for selected reduction reactions. 45 rows standard electrode potentials in aqueous solution at 25°c. Standard electrode (reduction) potentials in aqueous solution at 25 °c. The reference state for amalgams is an infinitely dilute solution of the element in hg. 372 rows the data below tabulates standard electrode potentials (e°), in volts relative to the. Standard Reduction Potential Hg2+.
From jonathancoles.z13.web.core.windows.net
Standard Reduction Potential Chart Standard Reduction Potential Hg2+ Standard electrode (reduction) potentials in aqueous solution at 25 °c. The following table provides e o for selected reduction reactions. Values are from the following sources: Below is a table that lists the standard reduction potentials of various substances, measured at a temperature of 25 ºc, at a pressure of 101.3 kpa. Reduction reactions in acidic solution are written using. Standard Reduction Potential Hg2+.
From www.chegg.com
Solved Use the standard reduction potentials located in the Standard Reduction Potential Hg2+ The temperature coefficient, de /dt allows us to. 372 rows the data below tabulates standard electrode potentials (e°), in volts relative to the standard hydrogen electrode (she), at:. 45 rows standard electrode potentials in aqueous solution at 25°c. You may rewrite a reaction by replacing h +. Use standard reduction potentials to determine the better. The reference state for amalgams. Standard Reduction Potential Hg2+.
From www.numerade.com
SOLVED Use the References to access important values if needed for Standard Reduction Potential Hg2+ The reference state for amalgams is an infinitely dilute solution of the element in hg. Below is a table that lists the standard reduction potentials of various substances, measured at a temperature of 25 ºc, at a pressure of 101.3 kpa. You may rewrite a reaction by replacing h +. The following table provides e o for selected reduction reactions.. Standard Reduction Potential Hg2+.
From byjus.com
The standard reduction potential of the reaction at 25^° C ,Н2О + e Standard Reduction Potential Hg2+ 45 rows standard electrode potentials in aqueous solution at 25°c. Values are from the following sources: Use standard reduction potentials to determine the better. Standard electrode (reduction) potentials in aqueous solution at 25 °c. The temperature coefficient, de /dt allows us to. You may rewrite a reaction by replacing h +. The reference state for amalgams is an infinitely dilute. Standard Reduction Potential Hg2+.
From www.bartleby.com
Answered Selected Standard Reduction Potentials… bartleby Standard Reduction Potential Hg2+ Reduction reactions in acidic solution are written using h + in place of h 3 o +. 45 rows standard electrode potentials in aqueous solution at 25°c. 372 rows the data below tabulates standard electrode potentials (e°), in volts relative to the standard hydrogen electrode (she), at:. Use standard reduction potentials to determine the better. Below is a table that. Standard Reduction Potential Hg2+.
From testbook.com
Reduction Potential Measurement, Half Cells, Differences & More Standard Reduction Potential Hg2+ Reduction reactions in acidic solution are written using h + in place of h 3 o +. Use standard reduction potentials to determine the better. Below is a table that lists the standard reduction potentials of various substances, measured at a temperature of 25 ºc, at a pressure of 101.3 kpa. Standard electrode (reduction) potentials in aqueous solution at 25. Standard Reduction Potential Hg2+.
From slideplayer.com
Cell Potentials and Good Batteries ppt download Standard Reduction Potential Hg2+ Standard electrode (reduction) potentials in aqueous solution at 25 °c. Below is a table that lists the standard reduction potentials of various substances, measured at a temperature of 25 ºc, at a pressure of 101.3 kpa. The following table provides e o for selected reduction reactions. You may rewrite a reaction by replacing h +. Use standard reduction potentials to. Standard Reduction Potential Hg2+.
From ar.inspiredpencil.com
Standard Reduction Potential Table Standard Reduction Potential Hg2+ 45 rows standard electrode potentials in aqueous solution at 25°c. The following table provides e o for selected reduction reactions. Values are from the following sources: Use standard reduction potentials to determine the better. You may rewrite a reaction by replacing h +. Below is a table that lists the standard reduction potentials of various substances, measured at a temperature. Standard Reduction Potential Hg2+.
From www.chegg.com
Solved is invariant. (d) Calculate the standard potential E° Standard Reduction Potential Hg2+ Values are from the following sources: The temperature coefficient, de /dt allows us to. You may rewrite a reaction by replacing h +. 45 rows standard electrode potentials in aqueous solution at 25°c. 372 rows the data below tabulates standard electrode potentials (e°), in volts relative to the standard hydrogen electrode (she), at:. Reduction reactions in acidic solution are written. Standard Reduction Potential Hg2+.
From www.bartleby.com
Answered Based on the information in the table… bartleby Standard Reduction Potential Hg2+ 372 rows the data below tabulates standard electrode potentials (e°), in volts relative to the standard hydrogen electrode (she), at:. The reference state for amalgams is an infinitely dilute solution of the element in hg. 45 rows standard electrode potentials in aqueous solution at 25°c. Reduction reactions in acidic solution are written using h + in place of h 3. Standard Reduction Potential Hg2+.
From www.numerade.com
SOLVED Use standard reduction potentials to calculate the equilibrium Standard Reduction Potential Hg2+ The temperature coefficient, de /dt allows us to. The following table provides e o for selected reduction reactions. Values are from the following sources: 45 rows standard electrode potentials in aqueous solution at 25°c. Standard electrode (reduction) potentials in aqueous solution at 25 °c. Below is a table that lists the standard reduction potentials of various substances, measured at a. Standard Reduction Potential Hg2+.