Flight Feather Rachis . The calamus is the part of the shaft held in the feather. Each flight feather consists of a calamus or quill, which is the portion of the main ‘shaft’ that is embedded in the follicle. Thin lateral branches called barbs extend outward from the rachis at an angle. The shaft runs the length of the feather and is divided into the calamus and the rachis. The parts of a feather are shown in figure 2. Two distinct strategies for optimizing rachis architecture of flight feathers used in birds with burst (i.e., chickens) versus sustained (i.e., eagles) flight modes (a′). They are essential for steering, but only the two most central feathers attach to bone. The feather atlas is an image database dedicated to the identification and study of the flight feathers of north american birds. They’re usually the largest and stiffest feathers on a bird, and they’re almost entirely. From the strong but flexible central rachis to the branching barbs and barbules zipped in place by microscopic hooklets, the flight feather is. The external part of this shaft is called the rachis, and it is lined. Flight feathers have a central shaft called a rachis. The feathers illustrated are from. Flight feathers are specialized contour feathers of the wing and tail.
from www.britannica.com
Flight feathers are specialized contour feathers of the wing and tail. From the strong but flexible central rachis to the branching barbs and barbules zipped in place by microscopic hooklets, the flight feather is. Thin lateral branches called barbs extend outward from the rachis at an angle. The shaft runs the length of the feather and is divided into the calamus and the rachis. Each flight feather consists of a calamus or quill, which is the portion of the main ‘shaft’ that is embedded in the follicle. The feathers illustrated are from. The parts of a feather are shown in figure 2. The calamus is the part of the shaft held in the feather. They are essential for steering, but only the two most central feathers attach to bone. The feather atlas is an image database dedicated to the identification and study of the flight feathers of north american birds.
Rachis feather part Britannica
Flight Feather Rachis The calamus is the part of the shaft held in the feather. The external part of this shaft is called the rachis, and it is lined. Two distinct strategies for optimizing rachis architecture of flight feathers used in birds with burst (i.e., chickens) versus sustained (i.e., eagles) flight modes (a′). The calamus is the part of the shaft held in the feather. The feathers illustrated are from. From the strong but flexible central rachis to the branching barbs and barbules zipped in place by microscopic hooklets, the flight feather is. They’re usually the largest and stiffest feathers on a bird, and they’re almost entirely. Each flight feather consists of a calamus or quill, which is the portion of the main ‘shaft’ that is embedded in the follicle. The feather atlas is an image database dedicated to the identification and study of the flight feathers of north american birds. Flight feathers are specialized contour feathers of the wing and tail. They are essential for steering, but only the two most central feathers attach to bone. The shaft runs the length of the feather and is divided into the calamus and the rachis. Flight feathers have a central shaft called a rachis. The parts of a feather are shown in figure 2. Thin lateral branches called barbs extend outward from the rachis at an angle.
From www.researchgate.net
Crosssections through the rachis of the middle tail feather of the Flight Feather Rachis Flight feathers have a central shaft called a rachis. Two distinct strategies for optimizing rachis architecture of flight feathers used in birds with burst (i.e., chickens) versus sustained (i.e., eagles) flight modes (a′). They are essential for steering, but only the two most central feathers attach to bone. The feather atlas is an image database dedicated to the identification and. Flight Feather Rachis.
From www.researchgate.net
The hierarchical structure of the feather The flight feather of the Flight Feather Rachis From the strong but flexible central rachis to the branching barbs and barbules zipped in place by microscopic hooklets, the flight feather is. The feather atlas is an image database dedicated to the identification and study of the flight feathers of north american birds. Flight feathers have a central shaft called a rachis. They are essential for steering, but only. Flight Feather Rachis.
From www.researchgate.net
Different types of feather in a chicken. (A) Downy feather, contour Flight Feather Rachis Flight feathers are specialized contour feathers of the wing and tail. Each flight feather consists of a calamus or quill, which is the portion of the main ‘shaft’ that is embedded in the follicle. Thin lateral branches called barbs extend outward from the rachis at an angle. They are essential for steering, but only the two most central feathers attach. Flight Feather Rachis.
From poultry.extension.org
ANATOMY OF A FEATHER Small and backyard poultry Flight Feather Rachis Thin lateral branches called barbs extend outward from the rachis at an angle. The feather atlas is an image database dedicated to the identification and study of the flight feathers of north american birds. Each flight feather consists of a calamus or quill, which is the portion of the main ‘shaft’ that is embedded in the follicle. The feathers illustrated. Flight Feather Rachis.
From midmichigannatureandscience.blogspot.com
Isabella Conservation District Environmental Education Program The Flight Feather Rachis Two distinct strategies for optimizing rachis architecture of flight feathers used in birds with burst (i.e., chickens) versus sustained (i.e., eagles) flight modes (a′). They’re usually the largest and stiffest feathers on a bird, and they’re almost entirely. The parts of a feather are shown in figure 2. Flight feathers have a central shaft called a rachis. From the strong. Flight Feather Rachis.
From boundbobskryptis.blogspot.com
Anatomy Of A Feather Flight Feather Rachis They’re usually the largest and stiffest feathers on a bird, and they’re almost entirely. Two distinct strategies for optimizing rachis architecture of flight feathers used in birds with burst (i.e., chickens) versus sustained (i.e., eagles) flight modes (a′). From the strong but flexible central rachis to the branching barbs and barbules zipped in place by microscopic hooklets, the flight feather. Flight Feather Rachis.
From www.researchgate.net
Morphology of the primary flight feathers (PFF). a The wing of the Flight Feather Rachis The feathers illustrated are from. Flight feathers are specialized contour feathers of the wing and tail. The parts of a feather are shown in figure 2. Thin lateral branches called barbs extend outward from the rachis at an angle. They are essential for steering, but only the two most central feathers attach to bone. They’re usually the largest and stiffest. Flight Feather Rachis.
From peerj.com
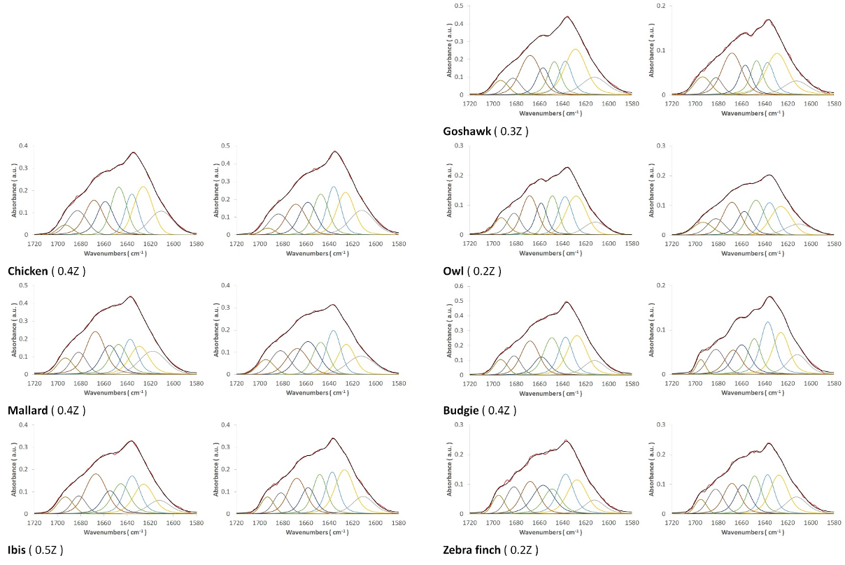
Analysis and comparison of protein secondary structures in the rachis Flight Feather Rachis Flight feathers have a central shaft called a rachis. Each flight feather consists of a calamus or quill, which is the portion of the main ‘shaft’ that is embedded in the follicle. The feathers illustrated are from. The external part of this shaft is called the rachis, and it is lined. The shaft runs the length of the feather and. Flight Feather Rachis.
From www.researchgate.net
SEM. Gallus gallus, primary flight feather, midrachis, cortex fungal Flight Feather Rachis The calamus is the part of the shaft held in the feather. Each flight feather consists of a calamus or quill, which is the portion of the main ‘shaft’ that is embedded in the follicle. Two distinct strategies for optimizing rachis architecture of flight feathers used in birds with burst (i.e., chickens) versus sustained (i.e., eagles) flight modes (a′). The. Flight Feather Rachis.
From peerj.com
Analysis and comparison of protein secondary structures in the rachis Flight Feather Rachis Two distinct strategies for optimizing rachis architecture of flight feathers used in birds with burst (i.e., chickens) versus sustained (i.e., eagles) flight modes (a′). The parts of a feather are shown in figure 2. The feathers illustrated are from. Each flight feather consists of a calamus or quill, which is the portion of the main ‘shaft’ that is embedded in. Flight Feather Rachis.
From www.researchgate.net
SEM of primary flight feathers Peeled longitudinal section (see Flight Feather Rachis They are essential for steering, but only the two most central feathers attach to bone. Flight feathers have a central shaft called a rachis. From the strong but flexible central rachis to the branching barbs and barbules zipped in place by microscopic hooklets, the flight feather is. The calamus is the part of the shaft held in the feather. The. Flight Feather Rachis.
From fineartamerica.com
Parrot Feather Rachis Photograph by Dennis Kunkel Microscopy/science Flight Feather Rachis The external part of this shaft is called the rachis, and it is lined. The feathers illustrated are from. Thin lateral branches called barbs extend outward from the rachis at an angle. Flight feathers are specialized contour feathers of the wing and tail. The feather atlas is an image database dedicated to the identification and study of the flight feathers. Flight Feather Rachis.
From www.researchgate.net
SEM. Gallus gallus, primary flight feather, midrachis, cortex fungal Flight Feather Rachis The external part of this shaft is called the rachis, and it is lined. Each flight feather consists of a calamus or quill, which is the portion of the main ‘shaft’ that is embedded in the follicle. The shaft runs the length of the feather and is divided into the calamus and the rachis. Two distinct strategies for optimizing rachis. Flight Feather Rachis.
From www.researchgate.net
Changing shape along the feather shaft a) schematic of a flight Flight Feather Rachis The shaft runs the length of the feather and is divided into the calamus and the rachis. The external part of this shaft is called the rachis, and it is lined. Flight feathers are specialized contour feathers of the wing and tail. The feathers illustrated are from. Each flight feather consists of a calamus or quill, which is the portion. Flight Feather Rachis.
From academy.allaboutbirds.org
Everything You Need To Know About Feathers Bird Academy • The Cornell Lab Flight Feather Rachis Thin lateral branches called barbs extend outward from the rachis at an angle. The feathers illustrated are from. The feather atlas is an image database dedicated to the identification and study of the flight feathers of north american birds. The shaft runs the length of the feather and is divided into the calamus and the rachis. The calamus is the. Flight Feather Rachis.
From peerj.com
Analysis and comparison of protein secondary structures in the rachis Flight Feather Rachis Each flight feather consists of a calamus or quill, which is the portion of the main ‘shaft’ that is embedded in the follicle. The feathers illustrated are from. Two distinct strategies for optimizing rachis architecture of flight feathers used in birds with burst (i.e., chickens) versus sustained (i.e., eagles) flight modes (a′). They are essential for steering, but only the. Flight Feather Rachis.
From www.researchgate.net
Morphology of the primary flight feathers. A Wing of the pigeon with Flight Feather Rachis The feather atlas is an image database dedicated to the identification and study of the flight feathers of north american birds. They’re usually the largest and stiffest feathers on a bird, and they’re almost entirely. The shaft runs the length of the feather and is divided into the calamus and the rachis. The calamus is the part of the shaft. Flight Feather Rachis.
From drawingwithpri.art
How To Draw A Feather Step by Step Art Tutorial for Beginners Flight Feather Rachis The external part of this shaft is called the rachis, and it is lined. The feather atlas is an image database dedicated to the identification and study of the flight feathers of north american birds. The parts of a feather are shown in figure 2. They’re usually the largest and stiffest feathers on a bird, and they’re almost entirely. Flight. Flight Feather Rachis.
From peerj.com
Analysis and comparison of protein secondary structures in the rachis Flight Feather Rachis They are essential for steering, but only the two most central feathers attach to bone. Each flight feather consists of a calamus or quill, which is the portion of the main ‘shaft’ that is embedded in the follicle. The parts of a feather are shown in figure 2. From the strong but flexible central rachis to the branching barbs and. Flight Feather Rachis.
From www.penasquitos.org
Feathers — Friends of Los Peñasquitos Canyon Preserve Flight Feather Rachis From the strong but flexible central rachis to the branching barbs and barbules zipped in place by microscopic hooklets, the flight feather is. The feather atlas is an image database dedicated to the identification and study of the flight feathers of north american birds. Thin lateral branches called barbs extend outward from the rachis at an angle. Each flight feather. Flight Feather Rachis.
From www.researchgate.net
Paired rachisdominated feathers preserved in amber. (a) Xray μCT Flight Feather Rachis The feathers illustrated are from. The external part of this shaft is called the rachis, and it is lined. They’re usually the largest and stiffest feathers on a bird, and they’re almost entirely. The feather atlas is an image database dedicated to the identification and study of the flight feathers of north american birds. The shaft runs the length of. Flight Feather Rachis.
From www.britannica.com
Rachis feather part Britannica Flight Feather Rachis Each flight feather consists of a calamus or quill, which is the portion of the main ‘shaft’ that is embedded in the follicle. The parts of a feather are shown in figure 2. They are essential for steering, but only the two most central feathers attach to bone. Thin lateral branches called barbs extend outward from the rachis at an. Flight Feather Rachis.
From www.researchgate.net
SEM of fibres (syncitial barbules) in the cortex of feather rachis of Flight Feather Rachis The parts of a feather are shown in figure 2. Flight feathers are specialized contour feathers of the wing and tail. They are essential for steering, but only the two most central feathers attach to bone. Each flight feather consists of a calamus or quill, which is the portion of the main ‘shaft’ that is embedded in the follicle. The. Flight Feather Rachis.
From www.scribd.com
Flight and Feathers Rachis PDF Owl Tetrapods Flight Feather Rachis Flight feathers have a central shaft called a rachis. They’re usually the largest and stiffest feathers on a bird, and they’re almost entirely. Each flight feather consists of a calamus or quill, which is the portion of the main ‘shaft’ that is embedded in the follicle. Thin lateral branches called barbs extend outward from the rachis at an angle. The. Flight Feather Rachis.
From www.researchgate.net
SEM of longitudinal and transverse sections of SBFs of the rachidial Flight Feather Rachis From the strong but flexible central rachis to the branching barbs and barbules zipped in place by microscopic hooklets, the flight feather is. The external part of this shaft is called the rachis, and it is lined. They are essential for steering, but only the two most central feathers attach to bone. The calamus is the part of the shaft. Flight Feather Rachis.
From dfwurbanwildlife.com
Feathers for Flight DFW Urban Wildlife Flight Feather Rachis From the strong but flexible central rachis to the branching barbs and barbules zipped in place by microscopic hooklets, the flight feather is. They are essential for steering, but only the two most central feathers attach to bone. The shaft runs the length of the feather and is divided into the calamus and the rachis. The parts of a feather. Flight Feather Rachis.
From www.researchgate.net
Development of remextype flight feathers before hatching. a, b Ventral Flight Feather Rachis Each flight feather consists of a calamus or quill, which is the portion of the main ‘shaft’ that is embedded in the follicle. Two distinct strategies for optimizing rachis architecture of flight feathers used in birds with burst (i.e., chickens) versus sustained (i.e., eagles) flight modes (a′). Flight feathers have a central shaft called a rachis. The feather atlas is. Flight Feather Rachis.
From onlinelibrary.wiley.com
Flight feather attachment in rock pigeons (Columba livia) covert Flight Feather Rachis The shaft runs the length of the feather and is divided into the calamus and the rachis. The feathers illustrated are from. From the strong but flexible central rachis to the branching barbs and barbules zipped in place by microscopic hooklets, the flight feather is. They’re usually the largest and stiffest feathers on a bird, and they’re almost entirely. Thin. Flight Feather Rachis.
From academy.allaboutbirds.org
Everything You Need To Know About Feathers Bird Academy • The Cornell Lab Flight Feather Rachis The feathers illustrated are from. Flight feathers are specialized contour feathers of the wing and tail. The feather atlas is an image database dedicated to the identification and study of the flight feathers of north american birds. They’re usually the largest and stiffest feathers on a bird, and they’re almost entirely. The calamus is the part of the shaft held. Flight Feather Rachis.
From www.researchgate.net
Feather structure consisting of a hollow shaft (Quill) and rachis, with Flight Feather Rachis Thin lateral branches called barbs extend outward from the rachis at an angle. Flight feathers have a central shaft called a rachis. The parts of a feather are shown in figure 2. The external part of this shaft is called the rachis, and it is lined. The shaft runs the length of the feather and is divided into the calamus. Flight Feather Rachis.
From 330312535696126242.weebly.com
Flight Adaptation golden eye Flight Feather Rachis The feather atlas is an image database dedicated to the identification and study of the flight feathers of north american birds. From the strong but flexible central rachis to the branching barbs and barbules zipped in place by microscopic hooklets, the flight feather is. The feathers illustrated are from. Flight feathers have a central shaft called a rachis. The external. Flight Feather Rachis.
From academy.allaboutbirds.org
Everything You Need To Know About Feathers Bird Academy • The Cornell Lab Flight Feather Rachis Flight feathers have a central shaft called a rachis. Two distinct strategies for optimizing rachis architecture of flight feathers used in birds with burst (i.e., chickens) versus sustained (i.e., eagles) flight modes (a′). Flight feathers are specialized contour feathers of the wing and tail. The shaft runs the length of the feather and is divided into the calamus and the. Flight Feather Rachis.
From www.researchgate.net
Sizenormalized centerline calamusrachis traces for the primary Flight Feather Rachis They are essential for steering, but only the two most central feathers attach to bone. The calamus is the part of the shaft held in the feather. Each flight feather consists of a calamus or quill, which is the portion of the main ‘shaft’ that is embedded in the follicle. They’re usually the largest and stiffest feathers on a bird,. Flight Feather Rachis.
From birdfact.com
Flight Feathers Structure and Maintenance of Birds Wings Birdfact Flight Feather Rachis Flight feathers have a central shaft called a rachis. The feathers illustrated are from. The calamus is the part of the shaft held in the feather. The feather atlas is an image database dedicated to the identification and study of the flight feathers of north american birds. Thin lateral branches called barbs extend outward from the rachis at an angle.. Flight Feather Rachis.
From www.slideserve.com
PPT Birds Class Aves PowerPoint Presentation ID3053194 Flight Feather Rachis They are essential for steering, but only the two most central feathers attach to bone. The external part of this shaft is called the rachis, and it is lined. Each flight feather consists of a calamus or quill, which is the portion of the main ‘shaft’ that is embedded in the follicle. Flight feathers have a central shaft called a. Flight Feather Rachis.