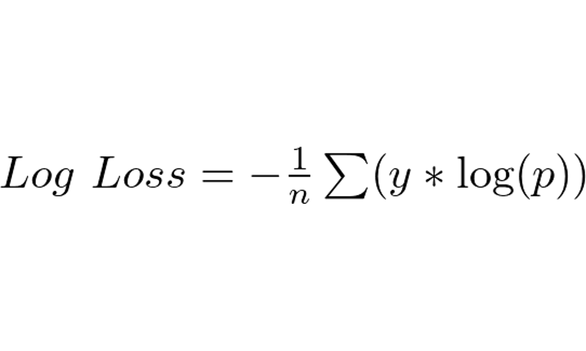
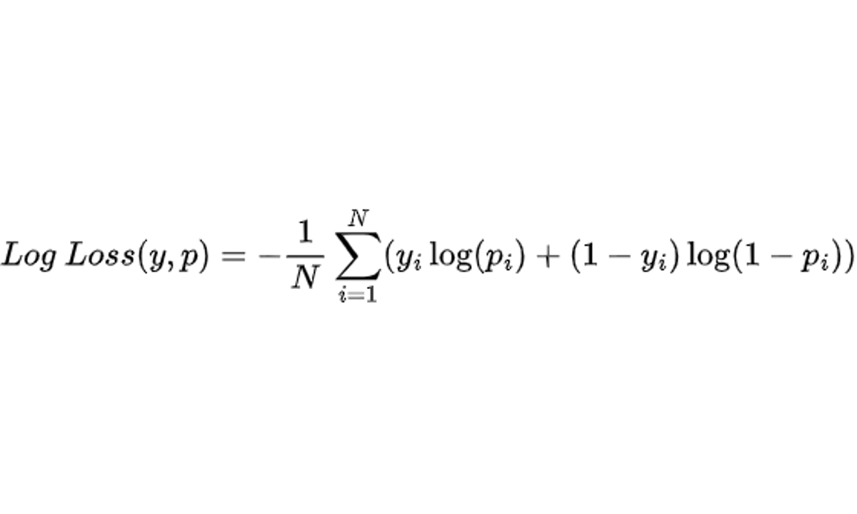
Why Use Log Loss . Understood the equation of log loss intuitively and how it works. Have you ever thought about what exactly does it mean to use this loss. When it comes to a classification task, log loss is one of the most commonly used metrics. If you follow or join kaggle competitions, you will see that log loss is the predominant choice of evaluation metrics. Know the reasons why we are using the log loss function instead of mse for logistic regression; Log loss is a metric evaluating classification model performance by measuring the disparity between predicted and actual. The more the predicted probability diverges. Log loss measures the performance of a classification model whose output is a probability between 0 and 1.
from cornellius.substack.com
Have you ever thought about what exactly does it mean to use this loss. Log loss measures the performance of a classification model whose output is a probability between 0 and 1. If you follow or join kaggle competitions, you will see that log loss is the predominant choice of evaluation metrics. Know the reasons why we are using the log loss function instead of mse for logistic regression; The more the predicted probability diverges. When it comes to a classification task, log loss is one of the most commonly used metrics. Log loss is a metric evaluating classification model performance by measuring the disparity between predicted and actual. Understood the equation of log loss intuitively and how it works.
Why you should use Log Loss to Evaluate your Model
Why Use Log Loss Log loss measures the performance of a classification model whose output is a probability between 0 and 1. If you follow or join kaggle competitions, you will see that log loss is the predominant choice of evaluation metrics. Log loss is a metric evaluating classification model performance by measuring the disparity between predicted and actual. Know the reasons why we are using the log loss function instead of mse for logistic regression; Understood the equation of log loss intuitively and how it works. Have you ever thought about what exactly does it mean to use this loss. The more the predicted probability diverges. When it comes to a classification task, log loss is one of the most commonly used metrics. Log loss measures the performance of a classification model whose output is a probability between 0 and 1.
From www.youtube.com
LogLoss evaluation metric What is logarithmic loss in machine learning YouTube Why Use Log Loss Log loss is a metric evaluating classification model performance by measuring the disparity between predicted and actual. The more the predicted probability diverges. If you follow or join kaggle competitions, you will see that log loss is the predominant choice of evaluation metrics. Understood the equation of log loss intuitively and how it works. When it comes to a classification. Why Use Log Loss.
From wikidocs.net
A_08. Classification EN Deep Learning Bible 2. Classification Eng. Why Use Log Loss Know the reasons why we are using the log loss function instead of mse for logistic regression; Understood the equation of log loss intuitively and how it works. Have you ever thought about what exactly does it mean to use this loss. Log loss is a metric evaluating classification model performance by measuring the disparity between predicted and actual. If. Why Use Log Loss.
From www.slideserve.com
PPT Logistic Regression PowerPoint Presentation, free download ID921550 Why Use Log Loss When it comes to a classification task, log loss is one of the most commonly used metrics. Log loss is a metric evaluating classification model performance by measuring the disparity between predicted and actual. The more the predicted probability diverges. Understood the equation of log loss intuitively and how it works. Have you ever thought about what exactly does it. Why Use Log Loss.
From medium.com
Understanding the log loss function by Susmith Reddy Analytics Vidhya Medium Why Use Log Loss Log loss measures the performance of a classification model whose output is a probability between 0 and 1. When it comes to a classification task, log loss is one of the most commonly used metrics. Understood the equation of log loss intuitively and how it works. Have you ever thought about what exactly does it mean to use this loss.. Why Use Log Loss.
From www.youtube.com
4.Logistic Regression Log Loss Function YouTube Why Use Log Loss Know the reasons why we are using the log loss function instead of mse for logistic regression; Log loss measures the performance of a classification model whose output is a probability between 0 and 1. When it comes to a classification task, log loss is one of the most commonly used metrics. The more the predicted probability diverges. If you. Why Use Log Loss.
From www.youtube.com
Log Loss or CrossEntropy Cost Function in Logistic Regression YouTube Why Use Log Loss Log loss is a metric evaluating classification model performance by measuring the disparity between predicted and actual. The more the predicted probability diverges. Have you ever thought about what exactly does it mean to use this loss. If you follow or join kaggle competitions, you will see that log loss is the predominant choice of evaluation metrics. Know the reasons. Why Use Log Loss.
From dataaspirant.com
Log loss formula Why Use Log Loss Know the reasons why we are using the log loss function instead of mse for logistic regression; Understood the equation of log loss intuitively and how it works. Have you ever thought about what exactly does it mean to use this loss. Log loss measures the performance of a classification model whose output is a probability between 0 and 1.. Why Use Log Loss.
From analyticsindiamag.com
All you need to know about log loss in machine learning Why Use Log Loss Know the reasons why we are using the log loss function instead of mse for logistic regression; If you follow or join kaggle competitions, you will see that log loss is the predominant choice of evaluation metrics. When it comes to a classification task, log loss is one of the most commonly used metrics. Understood the equation of log loss. Why Use Log Loss.
From medium.com
Understanding the log loss function by Susmith Reddy Analytics Vidhya Medium Why Use Log Loss Log loss is a metric evaluating classification model performance by measuring the disparity between predicted and actual. Log loss measures the performance of a classification model whose output is a probability between 0 and 1. Understood the equation of log loss intuitively and how it works. If you follow or join kaggle competitions, you will see that log loss is. Why Use Log Loss.
From www.researchgate.net
Log Loss with 10, 100 and 200 options for our classification approach... Download Scientific Why Use Log Loss Log loss measures the performance of a classification model whose output is a probability between 0 and 1. If you follow or join kaggle competitions, you will see that log loss is the predominant choice of evaluation metrics. Know the reasons why we are using the log loss function instead of mse for logistic regression; When it comes to a. Why Use Log Loss.
From emilyswebber.github.io
Logarithmic Loss Why Use Log Loss Know the reasons why we are using the log loss function instead of mse for logistic regression; The more the predicted probability diverges. Log loss is a metric evaluating classification model performance by measuring the disparity between predicted and actual. Understood the equation of log loss intuitively and how it works. When it comes to a classification task, log loss. Why Use Log Loss.
From www.researchgate.net
Logloss plots during the training on 12 views (a) MSVDCNNI, (b)... Download Scientific Diagram Why Use Log Loss Log loss is a metric evaluating classification model performance by measuring the disparity between predicted and actual. The more the predicted probability diverges. Understood the equation of log loss intuitively and how it works. When it comes to a classification task, log loss is one of the most commonly used metrics. Log loss measures the performance of a classification model. Why Use Log Loss.
From www.youtube.com
[DL] Cross entropy loss (log loss) for binary classification YouTube Why Use Log Loss Have you ever thought about what exactly does it mean to use this loss. The more the predicted probability diverges. Know the reasons why we are using the log loss function instead of mse for logistic regression; Log loss measures the performance of a classification model whose output is a probability between 0 and 1. Understood the equation of log. Why Use Log Loss.
From mariofilho.com
Guia Completo da Log Loss (Perda Logarítmica) em Machine Learning Mario Filho Machine Learning Why Use Log Loss When it comes to a classification task, log loss is one of the most commonly used metrics. Log loss is a metric evaluating classification model performance by measuring the disparity between predicted and actual. The more the predicted probability diverges. Understood the equation of log loss intuitively and how it works. Log loss measures the performance of a classification model. Why Use Log Loss.
From www.slideserve.com
PPT Logistic Regression PowerPoint Presentation, free download ID921550 Why Use Log Loss When it comes to a classification task, log loss is one of the most commonly used metrics. If you follow or join kaggle competitions, you will see that log loss is the predominant choice of evaluation metrics. Log loss is a metric evaluating classification model performance by measuring the disparity between predicted and actual. Log loss measures the performance of. Why Use Log Loss.
From www.geeksforgeeks.org
Different Loss functions in SGD Why Use Log Loss The more the predicted probability diverges. When it comes to a classification task, log loss is one of the most commonly used metrics. Log loss is a metric evaluating classification model performance by measuring the disparity between predicted and actual. Log loss measures the performance of a classification model whose output is a probability between 0 and 1. Have you. Why Use Log Loss.
From cornellius.substack.com
Why you should use Log Loss to Evaluate your Model Why Use Log Loss Have you ever thought about what exactly does it mean to use this loss. Log loss measures the performance of a classification model whose output is a probability between 0 and 1. Understood the equation of log loss intuitively and how it works. When it comes to a classification task, log loss is one of the most commonly used metrics.. Why Use Log Loss.
From www.youtube.com
Log Loss with Python Implementation Getting Started with Machine Learning YouTube Why Use Log Loss Have you ever thought about what exactly does it mean to use this loss. When it comes to a classification task, log loss is one of the most commonly used metrics. If you follow or join kaggle competitions, you will see that log loss is the predominant choice of evaluation metrics. The more the predicted probability diverges. Log loss is. Why Use Log Loss.
From towardsdatascience.com
Log loss function math explained. Have you ever worked on a… by Harshith Towards Data Science Why Use Log Loss Log loss is a metric evaluating classification model performance by measuring the disparity between predicted and actual. When it comes to a classification task, log loss is one of the most commonly used metrics. Log loss measures the performance of a classification model whose output is a probability between 0 and 1. Understood the equation of log loss intuitively and. Why Use Log Loss.
From www.youtube.com
What is Log loss in machine learning How to calculate log loss in ML? YouTube Why Use Log Loss The more the predicted probability diverges. Log loss measures the performance of a classification model whose output is a probability between 0 and 1. When it comes to a classification task, log loss is one of the most commonly used metrics. Understood the equation of log loss intuitively and how it works. Log loss is a metric evaluating classification model. Why Use Log Loss.
From www.dailydoseofds.com
Why Do We Use logloss To Train Logistic Regression? Why Use Log Loss When it comes to a classification task, log loss is one of the most commonly used metrics. Log loss is a metric evaluating classification model performance by measuring the disparity between predicted and actual. Understood the equation of log loss intuitively and how it works. The more the predicted probability diverges. Have you ever thought about what exactly does it. Why Use Log Loss.
From www.researchgate.net
Log loss of each algorithm plotted against the mean percentage profit... Download Scientific Why Use Log Loss The more the predicted probability diverges. Know the reasons why we are using the log loss function instead of mse for logistic regression; When it comes to a classification task, log loss is one of the most commonly used metrics. If you follow or join kaggle competitions, you will see that log loss is the predominant choice of evaluation metrics.. Why Use Log Loss.
From towardsdatascience.com
Is Your Model’s LogLoss Better Than Random Guessing LogLoss? by Nishant Mohan Oct, 2020 Why Use Log Loss Have you ever thought about what exactly does it mean to use this loss. Log loss is a metric evaluating classification model performance by measuring the disparity between predicted and actual. The more the predicted probability diverges. If you follow or join kaggle competitions, you will see that log loss is the predominant choice of evaluation metrics. When it comes. Why Use Log Loss.
From arize.com
Binary Cross Entropy Where To Use Log Loss In Model Monitoring Arize AI Why Use Log Loss Log loss measures the performance of a classification model whose output is a probability between 0 and 1. If you follow or join kaggle competitions, you will see that log loss is the predominant choice of evaluation metrics. When it comes to a classification task, log loss is one of the most commonly used metrics. Log loss is a metric. Why Use Log Loss.
From www.practiceprobs.com
Evaluation Metrics And Loss Functions Practice Probs Why Use Log Loss When it comes to a classification task, log loss is one of the most commonly used metrics. Understood the equation of log loss intuitively and how it works. Know the reasons why we are using the log loss function instead of mse for logistic regression; Log loss measures the performance of a classification model whose output is a probability between. Why Use Log Loss.
From mariofilho.com
Guia Completo da Log Loss (Perda Logarítmica) em Machine Learning Mario Filho Machine Learning Why Use Log Loss Have you ever thought about what exactly does it mean to use this loss. Log loss measures the performance of a classification model whose output is a probability between 0 and 1. When it comes to a classification task, log loss is one of the most commonly used metrics. If you follow or join kaggle competitions, you will see that. Why Use Log Loss.
From www.youtube.com
Log Loss or Cross Entropy Loss or Cost Function in Logistic Regression Tutorial 4 YouTube Why Use Log Loss Log loss measures the performance of a classification model whose output is a probability between 0 and 1. Know the reasons why we are using the log loss function instead of mse for logistic regression; Log loss is a metric evaluating classification model performance by measuring the disparity between predicted and actual. The more the predicted probability diverges. Have you. Why Use Log Loss.
From laptrinhx.com
All you need to know about log loss in machine learning LaptrinhX Why Use Log Loss Understood the equation of log loss intuitively and how it works. The more the predicted probability diverges. Have you ever thought about what exactly does it mean to use this loss. When it comes to a classification task, log loss is one of the most commonly used metrics. If you follow or join kaggle competitions, you will see that log. Why Use Log Loss.
From towardsdatascience.com
Log loss function math explained. Have you ever worked on a… by Harshith Towards Data Science Why Use Log Loss Log loss is a metric evaluating classification model performance by measuring the disparity between predicted and actual. Know the reasons why we are using the log loss function instead of mse for logistic regression; When it comes to a classification task, log loss is one of the most commonly used metrics. Have you ever thought about what exactly does it. Why Use Log Loss.
From www.aporia.com
A Practical Guide To Binary CrossEntropy and Log Loss Why Use Log Loss If you follow or join kaggle competitions, you will see that log loss is the predominant choice of evaluation metrics. When it comes to a classification task, log loss is one of the most commonly used metrics. Know the reasons why we are using the log loss function instead of mse for logistic regression; Log loss measures the performance of. Why Use Log Loss.
From www.gaussianwaves.com
Log Distance Path Loss or Log Normal Shadowing Model GaussianWaves Why Use Log Loss The more the predicted probability diverges. Log loss measures the performance of a classification model whose output is a probability between 0 and 1. When it comes to a classification task, log loss is one of the most commonly used metrics. Log loss is a metric evaluating classification model performance by measuring the disparity between predicted and actual. If you. Why Use Log Loss.
From www.youtube.com
Logistic Regression Loss function YouTube Why Use Log Loss Log loss is a metric evaluating classification model performance by measuring the disparity between predicted and actual. The more the predicted probability diverges. Know the reasons why we are using the log loss function instead of mse for logistic regression; Understood the equation of log loss intuitively and how it works. When it comes to a classification task, log loss. Why Use Log Loss.
From towardsdatascience.com
Log loss function math explained. Have you ever worked on a… by Harshith Towards Data Science Why Use Log Loss If you follow or join kaggle competitions, you will see that log loss is the predominant choice of evaluation metrics. The more the predicted probability diverges. Understood the equation of log loss intuitively and how it works. Log loss measures the performance of a classification model whose output is a probability between 0 and 1. Know the reasons why we. Why Use Log Loss.
From www.researchgate.net
Logloss plots during the training on 12 views (a) MSVDCNNI, (b)... Download Scientific Diagram Why Use Log Loss Understood the equation of log loss intuitively and how it works. If you follow or join kaggle competitions, you will see that log loss is the predominant choice of evaluation metrics. When it comes to a classification task, log loss is one of the most commonly used metrics. The more the predicted probability diverges. Know the reasons why we are. Why Use Log Loss.
From towardsdatascience.com
Better Understanding Negative Log Loss by Vadiraj Kaamsha Towards Data Science Why Use Log Loss Log loss is a metric evaluating classification model performance by measuring the disparity between predicted and actual. Know the reasons why we are using the log loss function instead of mse for logistic regression; When it comes to a classification task, log loss is one of the most commonly used metrics. Understood the equation of log loss intuitively and how. Why Use Log Loss.