Standard Heat Of Formation Nh4Cl Solid . Top 10 species with enthalpies of formation correlated to the δ f h° of (nh4)cl (cr) please note: Using the standard enthalpies of formation in the given table, what is the standard enthalpy of reaction for the. For this compound, wtt contains critically evaluated recommendations for: 193 rows in chemistry and thermodynamics, the standard enthalpy of formation or standard heat of formation of a compound is the change of. 21 rows the 20 contributors listed below account only for 87.3% of the provenance of δfh° of (nh4)cl (cr). A total of 24 contributors would be. The correlation coefficients are obtained. Triple point temperature (crystal 2, crystal 1, and gas) 1. Standard enthalpy change of formation (data table) these tables include heat of formation data gathered from a variety of sources, including.
from lessonschoolwinchell.z21.web.core.windows.net
21 rows the 20 contributors listed below account only for 87.3% of the provenance of δfh° of (nh4)cl (cr). The correlation coefficients are obtained. Using the standard enthalpies of formation in the given table, what is the standard enthalpy of reaction for the. Standard enthalpy change of formation (data table) these tables include heat of formation data gathered from a variety of sources, including. For this compound, wtt contains critically evaluated recommendations for: Top 10 species with enthalpies of formation correlated to the δ f h° of (nh4)cl (cr) please note: 193 rows in chemistry and thermodynamics, the standard enthalpy of formation or standard heat of formation of a compound is the change of. A total of 24 contributors would be. Triple point temperature (crystal 2, crystal 1, and gas) 1.
How To Determine The Heat Of Formation
Standard Heat Of Formation Nh4Cl Solid 193 rows in chemistry and thermodynamics, the standard enthalpy of formation or standard heat of formation of a compound is the change of. Using the standard enthalpies of formation in the given table, what is the standard enthalpy of reaction for the. 193 rows in chemistry and thermodynamics, the standard enthalpy of formation or standard heat of formation of a compound is the change of. A total of 24 contributors would be. The correlation coefficients are obtained. Standard enthalpy change of formation (data table) these tables include heat of formation data gathered from a variety of sources, including. Top 10 species with enthalpies of formation correlated to the δ f h° of (nh4)cl (cr) please note: 21 rows the 20 contributors listed below account only for 87.3% of the provenance of δfh° of (nh4)cl (cr). For this compound, wtt contains critically evaluated recommendations for: Triple point temperature (crystal 2, crystal 1, and gas) 1.
From www.researchgate.net
Thermophysical properties for NH4ClH2O system [11] Download Standard Heat Of Formation Nh4Cl Solid Using the standard enthalpies of formation in the given table, what is the standard enthalpy of reaction for the. 193 rows in chemistry and thermodynamics, the standard enthalpy of formation or standard heat of formation of a compound is the change of. Standard enthalpy change of formation (data table) these tables include heat of formation data gathered from a variety. Standard Heat Of Formation Nh4Cl Solid.
From quizzlistreplevies.z13.web.core.windows.net
Heat Of Formation Equations Standard Heat Of Formation Nh4Cl Solid Triple point temperature (crystal 2, crystal 1, and gas) 1. 21 rows the 20 contributors listed below account only for 87.3% of the provenance of δfh° of (nh4)cl (cr). A total of 24 contributors would be. The correlation coefficients are obtained. Top 10 species with enthalpies of formation correlated to the δ f h° of (nh4)cl (cr) please note: Using. Standard Heat Of Formation Nh4Cl Solid.
From www.numerade.com
SOLVED The standard enthalpy of formation of NH4Cl(s) is 315.4 kJ/mol Standard Heat Of Formation Nh4Cl Solid Using the standard enthalpies of formation in the given table, what is the standard enthalpy of reaction for the. 21 rows the 20 contributors listed below account only for 87.3% of the provenance of δfh° of (nh4)cl (cr). Top 10 species with enthalpies of formation correlated to the δ f h° of (nh4)cl (cr) please note: Triple point temperature (crystal. Standard Heat Of Formation Nh4Cl Solid.
From stahonorschemistry.weebly.com
III Calculating Enthalpies STA Form IV Honors Chemistry Standard Heat Of Formation Nh4Cl Solid A total of 24 contributors would be. 193 rows in chemistry and thermodynamics, the standard enthalpy of formation or standard heat of formation of a compound is the change of. Using the standard enthalpies of formation in the given table, what is the standard enthalpy of reaction for the. For this compound, wtt contains critically evaluated recommendations for: Triple point. Standard Heat Of Formation Nh4Cl Solid.
From worksheetmagicadrienn.z21.web.core.windows.net
How To Calculate The Heat Of Formation Standard Heat Of Formation Nh4Cl Solid Using the standard enthalpies of formation in the given table, what is the standard enthalpy of reaction for the. Top 10 species with enthalpies of formation correlated to the δ f h° of (nh4)cl (cr) please note: 21 rows the 20 contributors listed below account only for 87.3% of the provenance of δfh° of (nh4)cl (cr). 193 rows in chemistry. Standard Heat Of Formation Nh4Cl Solid.
From www.chegg.com
Solved Use and interpret standard heats of formation. (a) Standard Heat Of Formation Nh4Cl Solid For this compound, wtt contains critically evaluated recommendations for: 21 rows the 20 contributors listed below account only for 87.3% of the provenance of δfh° of (nh4)cl (cr). Top 10 species with enthalpies of formation correlated to the δ f h° of (nh4)cl (cr) please note: A total of 24 contributors would be. 193 rows in chemistry and thermodynamics, the. Standard Heat Of Formation Nh4Cl Solid.
From learningschoolandy.z21.web.core.windows.net
Heat Of Formation List Standard Heat Of Formation Nh4Cl Solid A total of 24 contributors would be. 193 rows in chemistry and thermodynamics, the standard enthalpy of formation or standard heat of formation of a compound is the change of. Using the standard enthalpies of formation in the given table, what is the standard enthalpy of reaction for the. For this compound, wtt contains critically evaluated recommendations for: Top 10. Standard Heat Of Formation Nh4Cl Solid.
From www.slideserve.com
PPT Chemistry 17.4 PowerPoint Presentation, free download ID2772524 Standard Heat Of Formation Nh4Cl Solid Standard enthalpy change of formation (data table) these tables include heat of formation data gathered from a variety of sources, including. 193 rows in chemistry and thermodynamics, the standard enthalpy of formation or standard heat of formation of a compound is the change of. For this compound, wtt contains critically evaluated recommendations for: The correlation coefficients are obtained. A total. Standard Heat Of Formation Nh4Cl Solid.
From www.numerade.com
SOLVED Using standard heats of formation, calculate the standard Standard Heat Of Formation Nh4Cl Solid 21 rows the 20 contributors listed below account only for 87.3% of the provenance of δfh° of (nh4)cl (cr). A total of 24 contributors would be. Standard enthalpy change of formation (data table) these tables include heat of formation data gathered from a variety of sources, including. Triple point temperature (crystal 2, crystal 1, and gas) 1. 193 rows in. Standard Heat Of Formation Nh4Cl Solid.
From www.chegg.com
Solved Use the standard enthalpies of formation in the table Standard Heat Of Formation Nh4Cl Solid Standard enthalpy change of formation (data table) these tables include heat of formation data gathered from a variety of sources, including. Top 10 species with enthalpies of formation correlated to the δ f h° of (nh4)cl (cr) please note: Triple point temperature (crystal 2, crystal 1, and gas) 1. The correlation coefficients are obtained. 193 rows in chemistry and thermodynamics,. Standard Heat Of Formation Nh4Cl Solid.
From www.numerade.com
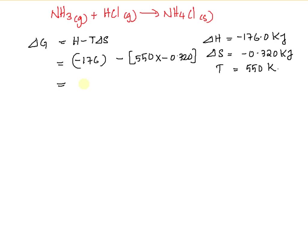
SOLVED In what temperature range is the formation of NH4Cl(s) from NH3 Standard Heat Of Formation Nh4Cl Solid 21 rows the 20 contributors listed below account only for 87.3% of the provenance of δfh° of (nh4)cl (cr). A total of 24 contributors would be. For this compound, wtt contains critically evaluated recommendations for: The correlation coefficients are obtained. Standard enthalpy change of formation (data table) these tables include heat of formation data gathered from a variety of sources,. Standard Heat Of Formation Nh4Cl Solid.
From www.youtube.com
LNL Enthalpy change for the of NH4Cl YouTube Standard Heat Of Formation Nh4Cl Solid 21 rows the 20 contributors listed below account only for 87.3% of the provenance of δfh° of (nh4)cl (cr). 193 rows in chemistry and thermodynamics, the standard enthalpy of formation or standard heat of formation of a compound is the change of. Top 10 species with enthalpies of formation correlated to the δ f h° of (nh4)cl (cr) please note:. Standard Heat Of Formation Nh4Cl Solid.
From lessonschoolwinchell.z21.web.core.windows.net
How To Determine The Heat Of Formation Standard Heat Of Formation Nh4Cl Solid Triple point temperature (crystal 2, crystal 1, and gas) 1. 21 rows the 20 contributors listed below account only for 87.3% of the provenance of δfh° of (nh4)cl (cr). For this compound, wtt contains critically evaluated recommendations for: Top 10 species with enthalpies of formation correlated to the δ f h° of (nh4)cl (cr) please note: Standard enthalpy change of. Standard Heat Of Formation Nh4Cl Solid.
From www.chegg.com
Solved 10. At 298 K, the standard heat of formation, A_H", Standard Heat Of Formation Nh4Cl Solid Using the standard enthalpies of formation in the given table, what is the standard enthalpy of reaction for the. A total of 24 contributors would be. Standard enthalpy change of formation (data table) these tables include heat of formation data gathered from a variety of sources, including. Top 10 species with enthalpies of formation correlated to the δ f h°. Standard Heat Of Formation Nh4Cl Solid.
From www.coursehero.com
[Solved] 1. All of the following compounds have a standard heat of Standard Heat Of Formation Nh4Cl Solid The correlation coefficients are obtained. Standard enthalpy change of formation (data table) these tables include heat of formation data gathered from a variety of sources, including. Using the standard enthalpies of formation in the given table, what is the standard enthalpy of reaction for the. 193 rows in chemistry and thermodynamics, the standard enthalpy of formation or standard heat of. Standard Heat Of Formation Nh4Cl Solid.
From www.showme.com
Standard heat of formation Science, Chemistry, thermochemistry ShowMe Standard Heat Of Formation Nh4Cl Solid Using the standard enthalpies of formation in the given table, what is the standard enthalpy of reaction for the. Top 10 species with enthalpies of formation correlated to the δ f h° of (nh4)cl (cr) please note: Standard enthalpy change of formation (data table) these tables include heat of formation data gathered from a variety of sources, including. For this. Standard Heat Of Formation Nh4Cl Solid.
From www.slideserve.com
PPT Thermochemistry PowerPoint Presentation, free download ID314871 Standard Heat Of Formation Nh4Cl Solid The correlation coefficients are obtained. Top 10 species with enthalpies of formation correlated to the δ f h° of (nh4)cl (cr) please note: Triple point temperature (crystal 2, crystal 1, and gas) 1. For this compound, wtt contains critically evaluated recommendations for: A total of 24 contributors would be. Standard enthalpy change of formation (data table) these tables include heat. Standard Heat Of Formation Nh4Cl Solid.
From www.slideserve.com
PPT CHAPTER 4 PowerPoint Presentation, free download ID3180471 Standard Heat Of Formation Nh4Cl Solid Using the standard enthalpies of formation in the given table, what is the standard enthalpy of reaction for the. Triple point temperature (crystal 2, crystal 1, and gas) 1. 193 rows in chemistry and thermodynamics, the standard enthalpy of formation or standard heat of formation of a compound is the change of. Standard enthalpy change of formation (data table) these. Standard Heat Of Formation Nh4Cl Solid.
From www.youtube.com
CHEMISTRY 101 Standard Enthalpy of reaction from Standard Enthalpies Standard Heat Of Formation Nh4Cl Solid Top 10 species with enthalpies of formation correlated to the δ f h° of (nh4)cl (cr) please note: Standard enthalpy change of formation (data table) these tables include heat of formation data gathered from a variety of sources, including. A total of 24 contributors would be. Triple point temperature (crystal 2, crystal 1, and gas) 1. 193 rows in chemistry. Standard Heat Of Formation Nh4Cl Solid.
From fasfinder.weebly.com
Nh4cl mmass fasfinder Standard Heat Of Formation Nh4Cl Solid For this compound, wtt contains critically evaluated recommendations for: 193 rows in chemistry and thermodynamics, the standard enthalpy of formation or standard heat of formation of a compound is the change of. A total of 24 contributors would be. 21 rows the 20 contributors listed below account only for 87.3% of the provenance of δfh° of (nh4)cl (cr). Top 10. Standard Heat Of Formation Nh4Cl Solid.
From www.chegg.com
Solved The standard enthalpy of formation of NH4Cl(s) is Standard Heat Of Formation Nh4Cl Solid Standard enthalpy change of formation (data table) these tables include heat of formation data gathered from a variety of sources, including. Top 10 species with enthalpies of formation correlated to the δ f h° of (nh4)cl (cr) please note: 21 rows the 20 contributors listed below account only for 87.3% of the provenance of δfh° of (nh4)cl (cr). For this. Standard Heat Of Formation Nh4Cl Solid.
From slideplayer.com
Heat in Changes of State and Calculating Heat of Reaction ppt download Standard Heat Of Formation Nh4Cl Solid Standard enthalpy change of formation (data table) these tables include heat of formation data gathered from a variety of sources, including. The correlation coefficients are obtained. Top 10 species with enthalpies of formation correlated to the δ f h° of (nh4)cl (cr) please note: 21 rows the 20 contributors listed below account only for 87.3% of the provenance of δfh°. Standard Heat Of Formation Nh4Cl Solid.
From www.numerade.com
SOLVED Using standard heats of formation, calculate the standard Standard Heat Of Formation Nh4Cl Solid 193 rows in chemistry and thermodynamics, the standard enthalpy of formation or standard heat of formation of a compound is the change of. Using the standard enthalpies of formation in the given table, what is the standard enthalpy of reaction for the. Top 10 species with enthalpies of formation correlated to the δ f h° of (nh4)cl (cr) please note:. Standard Heat Of Formation Nh4Cl Solid.
From www.nagwa.com
Question Video Calculating the Standard Enthalpy of Reaction for the Standard Heat Of Formation Nh4Cl Solid A total of 24 contributors would be. The correlation coefficients are obtained. 193 rows in chemistry and thermodynamics, the standard enthalpy of formation or standard heat of formation of a compound is the change of. 21 rows the 20 contributors listed below account only for 87.3% of the provenance of δfh° of (nh4)cl (cr). For this compound, wtt contains critically. Standard Heat Of Formation Nh4Cl Solid.
From lessonluft.z19.web.core.windows.net
Heat Of Formation Chart Standard Heat Of Formation Nh4Cl Solid Using the standard enthalpies of formation in the given table, what is the standard enthalpy of reaction for the. For this compound, wtt contains critically evaluated recommendations for: Standard enthalpy change of formation (data table) these tables include heat of formation data gathered from a variety of sources, including. 193 rows in chemistry and thermodynamics, the standard enthalpy of formation. Standard Heat Of Formation Nh4Cl Solid.
From general.chemistrysteps.com
Standard Enthalpies of Formation Chemistry Steps Standard Heat Of Formation Nh4Cl Solid Triple point temperature (crystal 2, crystal 1, and gas) 1. Using the standard enthalpies of formation in the given table, what is the standard enthalpy of reaction for the. 21 rows the 20 contributors listed below account only for 87.3% of the provenance of δfh° of (nh4)cl (cr). Top 10 species with enthalpies of formation correlated to the δ f. Standard Heat Of Formation Nh4Cl Solid.
From rayb78.github.io
Heat Of Formation Chart Standard Heat Of Formation Nh4Cl Solid 21 rows the 20 contributors listed below account only for 87.3% of the provenance of δfh° of (nh4)cl (cr). A total of 24 contributors would be. 193 rows in chemistry and thermodynamics, the standard enthalpy of formation or standard heat of formation of a compound is the change of. The correlation coefficients are obtained. Top 10 species with enthalpies of. Standard Heat Of Formation Nh4Cl Solid.
From www.numerade.com
SOLVED Solid ammonium chloride, NH4Cl, is formed by the reaction of Standard Heat Of Formation Nh4Cl Solid For this compound, wtt contains critically evaluated recommendations for: Using the standard enthalpies of formation in the given table, what is the standard enthalpy of reaction for the. 21 rows the 20 contributors listed below account only for 87.3% of the provenance of δfh° of (nh4)cl (cr). Top 10 species with enthalpies of formation correlated to the δ f h°. Standard Heat Of Formation Nh4Cl Solid.
From www.numerade.com
DISSOLUTION OF AMMONIUM CHLORIDE NH4Cl (s) → NH4+(aq) + Cl(aq) Steps Standard Heat Of Formation Nh4Cl Solid Standard enthalpy change of formation (data table) these tables include heat of formation data gathered from a variety of sources, including. 193 rows in chemistry and thermodynamics, the standard enthalpy of formation or standard heat of formation of a compound is the change of. For this compound, wtt contains critically evaluated recommendations for: Using the standard enthalpies of formation in. Standard Heat Of Formation Nh4Cl Solid.
From kunduz.com
[ANSWERED] Using standard heats of formation, calcu... Standard Heat Of Formation Nh4Cl Solid 21 rows the 20 contributors listed below account only for 87.3% of the provenance of δfh° of (nh4)cl (cr). The correlation coefficients are obtained. A total of 24 contributors would be. Standard enthalpy change of formation (data table) these tables include heat of formation data gathered from a variety of sources, including. Triple point temperature (crystal 2, crystal 1, and. Standard Heat Of Formation Nh4Cl Solid.
From studylib.net
NH4Cl Standard Heat Of Formation Nh4Cl Solid Triple point temperature (crystal 2, crystal 1, and gas) 1. 21 rows the 20 contributors listed below account only for 87.3% of the provenance of δfh° of (nh4)cl (cr). Standard enthalpy change of formation (data table) these tables include heat of formation data gathered from a variety of sources, including. The correlation coefficients are obtained. For this compound, wtt contains. Standard Heat Of Formation Nh4Cl Solid.
From slideplayer.com
Chapter 10 “Thermochemistry” ppt download Standard Heat Of Formation Nh4Cl Solid For this compound, wtt contains critically evaluated recommendations for: Top 10 species with enthalpies of formation correlated to the δ f h° of (nh4)cl (cr) please note: Triple point temperature (crystal 2, crystal 1, and gas) 1. Using the standard enthalpies of formation in the given table, what is the standard enthalpy of reaction for the. A total of 24. Standard Heat Of Formation Nh4Cl Solid.
From www.numerade.com
SOLVED Using standard heats of formation, calculate the standard Standard Heat Of Formation Nh4Cl Solid The correlation coefficients are obtained. Using the standard enthalpies of formation in the given table, what is the standard enthalpy of reaction for the. 21 rows the 20 contributors listed below account only for 87.3% of the provenance of δfh° of (nh4)cl (cr). A total of 24 contributors would be. Standard enthalpy change of formation (data table) these tables include. Standard Heat Of Formation Nh4Cl Solid.
From techiescientist.com
pH of NH4Cl — Acidic or Basic? Techiescientist Standard Heat Of Formation Nh4Cl Solid Triple point temperature (crystal 2, crystal 1, and gas) 1. For this compound, wtt contains critically evaluated recommendations for: 193 rows in chemistry and thermodynamics, the standard enthalpy of formation or standard heat of formation of a compound is the change of. 21 rows the 20 contributors listed below account only for 87.3% of the provenance of δfh° of (nh4)cl. Standard Heat Of Formation Nh4Cl Solid.
From www.coursehero.com
[Solved] 1. All of the following compounds have a standard heat of Standard Heat Of Formation Nh4Cl Solid 21 rows the 20 contributors listed below account only for 87.3% of the provenance of δfh° of (nh4)cl (cr). Triple point temperature (crystal 2, crystal 1, and gas) 1. 193 rows in chemistry and thermodynamics, the standard enthalpy of formation or standard heat of formation of a compound is the change of. Top 10 species with enthalpies of formation correlated. Standard Heat Of Formation Nh4Cl Solid.