What Is The Surface Area In Square Meters . Area = width * length. The result from our surface area calculator will always be a square of the same. In all surface area calculations, make sure that all lengths are measured in the same unit, e.g. How to work out m2 (square metres) to calculate m2 measure the width in metres then measure the. This sq mt calculator is used to determine the area of rectangles. It is standard in many countries around the world. To convert m 2 to ft 2, use the conversion factor 1 m 2 = 10.7639104 ft 2 then divide both sides of the equation by m2, to get the conversion ratio 1 = 10.7639104 ft 2 / m 2 using the conversion. The surface area of a cube can be calculated by summing the total areas of its six square faces: Sa = 6a 2 where a is the edge length A square meter is a square with each side measuring one meter. A square meter is a measurement used to calculate area. To calculate the area of a room, multiply its width by its length. A square meter calculator is a tool that helps you determine the area of space in square meters.
from thirdspacelearning.com
The surface area of a cube can be calculated by summing the total areas of its six square faces: A square meter calculator is a tool that helps you determine the area of space in square meters. A square meter is a measurement used to calculate area. Area = width * length. To convert m 2 to ft 2, use the conversion factor 1 m 2 = 10.7639104 ft 2 then divide both sides of the equation by m2, to get the conversion ratio 1 = 10.7639104 ft 2 / m 2 using the conversion. The result from our surface area calculator will always be a square of the same. In all surface area calculations, make sure that all lengths are measured in the same unit, e.g. It is standard in many countries around the world. How to work out m2 (square metres) to calculate m2 measure the width in metres then measure the. A square meter is a square with each side measuring one meter.
Area GCSE Maths Steps, Examples & Worksheet
What Is The Surface Area In Square Meters The result from our surface area calculator will always be a square of the same. To calculate the area of a room, multiply its width by its length. In all surface area calculations, make sure that all lengths are measured in the same unit, e.g. The result from our surface area calculator will always be a square of the same. A square meter is a square with each side measuring one meter. This sq mt calculator is used to determine the area of rectangles. The surface area of a cube can be calculated by summing the total areas of its six square faces: To convert m 2 to ft 2, use the conversion factor 1 m 2 = 10.7639104 ft 2 then divide both sides of the equation by m2, to get the conversion ratio 1 = 10.7639104 ft 2 / m 2 using the conversion. How to work out m2 (square metres) to calculate m2 measure the width in metres then measure the. Sa = 6a 2 where a is the edge length A square meter is a measurement used to calculate area. A square meter calculator is a tool that helps you determine the area of space in square meters. Area = width * length. It is standard in many countries around the world.
From www.inchcalculator.com
Surface Area Calculator With Formulas Inch Calculator What Is The Surface Area In Square Meters To calculate the area of a room, multiply its width by its length. It is standard in many countries around the world. How to work out m2 (square metres) to calculate m2 measure the width in metres then measure the. A square meter calculator is a tool that helps you determine the area of space in square meters. The surface. What Is The Surface Area In Square Meters.
From brainly.com
What is the area, in square meters, of the shape below? Express your What Is The Surface Area In Square Meters To calculate the area of a room, multiply its width by its length. A square meter is a measurement used to calculate area. It is standard in many countries around the world. The result from our surface area calculator will always be a square of the same. A square meter is a square with each side measuring one meter. The. What Is The Surface Area In Square Meters.
From exobfrkcp.blob.core.windows.net
Basic Area Formulas at Angela Hitt blog What Is The Surface Area In Square Meters This sq mt calculator is used to determine the area of rectangles. It is standard in many countries around the world. How to work out m2 (square metres) to calculate m2 measure the width in metres then measure the. To calculate the area of a room, multiply its width by its length. A square meter is a square with each. What Is The Surface Area In Square Meters.
From www.coursehero.com
[Solved] . 4 Find the total surface area, in square metres, of the What Is The Surface Area In Square Meters A square meter calculator is a tool that helps you determine the area of space in square meters. To calculate the area of a room, multiply its width by its length. In all surface area calculations, make sure that all lengths are measured in the same unit, e.g. A square meter is a measurement used to calculate area. To convert. What Is The Surface Area In Square Meters.
From brainly.com
What is the surface area, in square meters, of the triangular prism What Is The Surface Area In Square Meters A square meter calculator is a tool that helps you determine the area of space in square meters. How to work out m2 (square metres) to calculate m2 measure the width in metres then measure the. This sq mt calculator is used to determine the area of rectangles. A square meter is a square with each side measuring one meter.. What Is The Surface Area In Square Meters.
From www.numerade.com
SOLVED Assuming 9.2 liters of paint are spread uniformly on a wood What Is The Surface Area In Square Meters Area = width * length. In all surface area calculations, make sure that all lengths are measured in the same unit, e.g. A square meter is a square with each side measuring one meter. It is standard in many countries around the world. A square meter calculator is a tool that helps you determine the area of space in square. What Is The Surface Area In Square Meters.
From thirdspacelearning.com
Area GCSE Maths Steps, Examples & Worksheet What Is The Surface Area In Square Meters In all surface area calculations, make sure that all lengths are measured in the same unit, e.g. The result from our surface area calculator will always be a square of the same. This sq mt calculator is used to determine the area of rectangles. The surface area of a cube can be calculated by summing the total areas of its. What Is The Surface Area In Square Meters.
From www.gauthmath.com
Solved 7. Calculate the surface area of each prism. Write the surface What Is The Surface Area In Square Meters To calculate the area of a room, multiply its width by its length. In all surface area calculations, make sure that all lengths are measured in the same unit, e.g. A square meter is a square with each side measuring one meter. To convert m 2 to ft 2, use the conversion factor 1 m 2 = 10.7639104 ft 2. What Is The Surface Area In Square Meters.
From shotonmac.com
Top 15 area of a square formula 2022 What Is The Surface Area In Square Meters The surface area of a cube can be calculated by summing the total areas of its six square faces: It is standard in many countries around the world. Area = width * length. To calculate the area of a room, multiply its width by its length. A square meter is a measurement used to calculate area. To convert m 2. What Is The Surface Area In Square Meters.
From www.wikihow.com
3 Simple Ways to Calculate Square Meters wikiHow What Is The Surface Area In Square Meters The surface area of a cube can be calculated by summing the total areas of its six square faces: To convert m 2 to ft 2, use the conversion factor 1 m 2 = 10.7639104 ft 2 then divide both sides of the equation by m2, to get the conversion ratio 1 = 10.7639104 ft 2 / m 2 using. What Is The Surface Area In Square Meters.
From www.wikihow.com
3 Ways to Calculate Square Meters wikiHow What Is The Surface Area In Square Meters A square meter is a measurement used to calculate area. This sq mt calculator is used to determine the area of rectangles. Area = width * length. It is standard in many countries around the world. In all surface area calculations, make sure that all lengths are measured in the same unit, e.g. The result from our surface area calculator. What Is The Surface Area In Square Meters.
From www.youtube.com
Measurement Surface Area, Volume, and Capacity YouTube What Is The Surface Area In Square Meters To convert m 2 to ft 2, use the conversion factor 1 m 2 = 10.7639104 ft 2 then divide both sides of the equation by m2, to get the conversion ratio 1 = 10.7639104 ft 2 / m 2 using the conversion. A square meter calculator is a tool that helps you determine the area of space in square. What Is The Surface Area In Square Meters.
From mungfali.com
What Is Surface Area What Is The Surface Area In Square Meters A square meter is a measurement used to calculate area. The surface area of a cube can be calculated by summing the total areas of its six square faces: A square meter is a square with each side measuring one meter. How to work out m2 (square metres) to calculate m2 measure the width in metres then measure the. A. What Is The Surface Area In Square Meters.
From www.wikihow.com
3 Simple Ways to Calculate Square Meters wikiHow What Is The Surface Area In Square Meters It is standard in many countries around the world. A square meter is a square with each side measuring one meter. Area = width * length. The surface area of a cube can be calculated by summing the total areas of its six square faces: A square meter calculator is a tool that helps you determine the area of space. What Is The Surface Area In Square Meters.
From www.bartleby.com
Answered What is the area, in square meters, of… bartleby What Is The Surface Area In Square Meters To convert m 2 to ft 2, use the conversion factor 1 m 2 = 10.7639104 ft 2 then divide both sides of the equation by m2, to get the conversion ratio 1 = 10.7639104 ft 2 / m 2 using the conversion. To calculate the area of a room, multiply its width by its length. How to work out. What Is The Surface Area In Square Meters.
From brainly.com
find the surface area in square meters of a sphere with the diameter of What Is The Surface Area In Square Meters A square meter is a square with each side measuring one meter. To calculate the area of a room, multiply its width by its length. It is standard in many countries around the world. How to work out m2 (square metres) to calculate m2 measure the width in metres then measure the. To convert m 2 to ft 2, use. What Is The Surface Area In Square Meters.
From www.inchcalculator.com
Surface Area Calculator Find the Surface Area of Many Shapes What Is The Surface Area In Square Meters A square meter is a square with each side measuring one meter. To convert m 2 to ft 2, use the conversion factor 1 m 2 = 10.7639104 ft 2 then divide both sides of the equation by m2, to get the conversion ratio 1 = 10.7639104 ft 2 / m 2 using the conversion. The result from our surface. What Is The Surface Area In Square Meters.
From ihsanpedia.com
How To Calculate Surface Area A Comprehensive Guide IHSANPEDIA What Is The Surface Area In Square Meters The result from our surface area calculator will always be a square of the same. The surface area of a cube can be calculated by summing the total areas of its six square faces: How to work out m2 (square metres) to calculate m2 measure the width in metres then measure the. This sq mt calculator is used to determine. What Is The Surface Area In Square Meters.
From www.gauthmath.com
Solved 7. Calculate the surface area of each prism. Write the surface What Is The Surface Area In Square Meters A square meter is a measurement used to calculate area. A square meter is a square with each side measuring one meter. In all surface area calculations, make sure that all lengths are measured in the same unit, e.g. It is standard in many countries around the world. To convert m 2 to ft 2, use the conversion factor 1. What Is The Surface Area In Square Meters.
From gbu-taganskij.ru
What Is Surface Area? Definition, Formulas Examples, 48 OFF What Is The Surface Area In Square Meters Area = width * length. Sa = 6a 2 where a is the edge length A square meter calculator is a tool that helps you determine the area of space in square meters. A square meter is a square with each side measuring one meter. The surface area of a cube can be calculated by summing the total areas of. What Is The Surface Area In Square Meters.
From www.teachoo.com
Example 17 Find area in square metre of a piece of cloth 1 m 25 cm What Is The Surface Area In Square Meters This sq mt calculator is used to determine the area of rectangles. Sa = 6a 2 where a is the edge length The surface area of a cube can be calculated by summing the total areas of its six square faces: To calculate the area of a room, multiply its width by its length. Area = width * length. It. What Is The Surface Area In Square Meters.
From mathematicalenquiries.blogspot.com
EnquiryBased Maths Inquiring into the Square Metre What Is The Surface Area In Square Meters This sq mt calculator is used to determine the area of rectangles. How to work out m2 (square metres) to calculate m2 measure the width in metres then measure the. A square meter is a measurement used to calculate area. It is standard in many countries around the world. A square meter is a square with each side measuring one. What Is The Surface Area In Square Meters.
From pmrscience.onlinetuition.com.my
Measurement of Area PMR Science Revision Notes What Is The Surface Area In Square Meters Area = width * length. In all surface area calculations, make sure that all lengths are measured in the same unit, e.g. The result from our surface area calculator will always be a square of the same. A square meter calculator is a tool that helps you determine the area of space in square meters. A square meter is a. What Is The Surface Area In Square Meters.
From www.chegg.com
Solved The surface area () (In square meters) of a What Is The Surface Area In Square Meters To calculate the area of a room, multiply its width by its length. A square meter is a square with each side measuring one meter. The surface area of a cube can be calculated by summing the total areas of its six square faces: Area = width * length. In all surface area calculations, make sure that all lengths are. What Is The Surface Area In Square Meters.
From wikihow.com
3 Ways to Find the Area of a Square wikiHow What Is The Surface Area In Square Meters A square meter is a square with each side measuring one meter. A square meter is a measurement used to calculate area. The result from our surface area calculator will always be a square of the same. The surface area of a cube can be calculated by summing the total areas of its six square faces: To convert m 2. What Is The Surface Area In Square Meters.
From www.edu2know.com
What is the Surface Area of a Square? Unlocking the Secrets of Geometry What Is The Surface Area In Square Meters A square meter is a measurement used to calculate area. A square meter calculator is a tool that helps you determine the area of space in square meters. It is standard in many countries around the world. How to work out m2 (square metres) to calculate m2 measure the width in metres then measure the. To calculate the area of. What Is The Surface Area In Square Meters.
From www.chegg.com
Solved Find the surface area in square meters and volume in What Is The Surface Area In Square Meters How to work out m2 (square metres) to calculate m2 measure the width in metres then measure the. A square meter is a measurement used to calculate area. To convert m 2 to ft 2, use the conversion factor 1 m 2 = 10.7639104 ft 2 then divide both sides of the equation by m2, to get the conversion ratio. What Is The Surface Area In Square Meters.
From thirdspacelearning.com
Surface Area Math Steps, Examples & Questions What Is The Surface Area In Square Meters Area = width * length. The result from our surface area calculator will always be a square of the same. A square meter is a square with each side measuring one meter. To convert m 2 to ft 2, use the conversion factor 1 m 2 = 10.7639104 ft 2 then divide both sides of the equation by m2, to. What Is The Surface Area In Square Meters.
From www.wikihow.com
3 Simple Ways to Calculate Square Meters wikiHow What Is The Surface Area In Square Meters In all surface area calculations, make sure that all lengths are measured in the same unit, e.g. A square meter calculator is a tool that helps you determine the area of space in square meters. Area = width * length. The result from our surface area calculator will always be a square of the same. This sq mt calculator is. What Is The Surface Area In Square Meters.
From www.amathsdictionaryforkids.com
surface area A Maths Dictionary for Kids Quick Reference by Jenny Eather What Is The Surface Area In Square Meters A square meter is a square with each side measuring one meter. Area = width * length. A square meter is a measurement used to calculate area. A square meter calculator is a tool that helps you determine the area of space in square meters. To calculate the area of a room, multiply its width by its length. The result. What Is The Surface Area In Square Meters.
From brainly.com
Find the surface area (in square meters) of the prism formed by the net What Is The Surface Area In Square Meters To calculate the area of a room, multiply its width by its length. It is standard in many countries around the world. Area = width * length. This sq mt calculator is used to determine the area of rectangles. A square meter is a measurement used to calculate area. In all surface area calculations, make sure that all lengths are. What Is The Surface Area In Square Meters.
From mungfali.com
What Is Surface Area What Is The Surface Area In Square Meters It is standard in many countries around the world. How to work out m2 (square metres) to calculate m2 measure the width in metres then measure the. The surface area of a cube can be calculated by summing the total areas of its six square faces: In all surface area calculations, make sure that all lengths are measured in the. What Is The Surface Area In Square Meters.
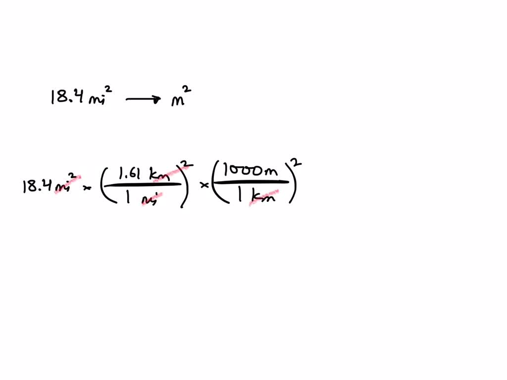
From www.numerade.com
A lake has a surface area of 18.4 square miles. What is its surface What Is The Surface Area In Square Meters It is standard in many countries around the world. A square meter is a measurement used to calculate area. How to work out m2 (square metres) to calculate m2 measure the width in metres then measure the. The result from our surface area calculator will always be a square of the same. Area = width * length. The surface area. What Is The Surface Area In Square Meters.
From viewfloor.co
How Do You Calculate Floor Area In Square Meters Viewfloor.co What Is The Surface Area In Square Meters This sq mt calculator is used to determine the area of rectangles. Sa = 6a 2 where a is the edge length A square meter calculator is a tool that helps you determine the area of space in square meters. A square meter is a square with each side measuring one meter. It is standard in many countries around the. What Is The Surface Area In Square Meters.
From mathematicalenquiries.blogspot.com
EnquiryBased Maths Inquiring into the Square Metre What Is The Surface Area In Square Meters A square meter calculator is a tool that helps you determine the area of space in square meters. A square meter is a square with each side measuring one meter. The surface area of a cube can be calculated by summing the total areas of its six square faces: A square meter is a measurement used to calculate area. Sa. What Is The Surface Area In Square Meters.