A Body Moves With A Constant Speed But Has Acceleration. This Is Possible If It . But the body has energy due to its. If a body is moving with constant velocity, acceleration is zero. Even if the speed is constant, the direction of motion can change,. So net force acting on it will be also zero. A body can move with a constant speed but can have a changing velocity due to a change in its direction. An object can have a changing direction of velocity, and this is still called an acceleration, but the acceleration itself need not change (constant acceleration, meaning its. Yes, a body can be accelerated even if the body is moving with constant speed. This is possible in the case when a body is moving in a uniform. For example, a car going on a. If this acceleration is acting at 90° to the direction of motion, then. If the acceleration is in the same direction (or opposite to the direction) that the body moves then the speed will be changing.
from www.toppr.com
For example, a car going on a. So net force acting on it will be also zero. But the body has energy due to its. An object can have a changing direction of velocity, and this is still called an acceleration, but the acceleration itself need not change (constant acceleration, meaning its. If this acceleration is acting at 90° to the direction of motion, then. Yes, a body can be accelerated even if the body is moving with constant speed. This is possible in the case when a body is moving in a uniform. If a body is moving with constant velocity, acceleration is zero. A body can move with a constant speed but can have a changing velocity due to a change in its direction. If the acceleration is in the same direction (or opposite to the direction) that the body moves then the speed will be changing.
Which graph corresponds to an object moving with a constant negative
A Body Moves With A Constant Speed But Has Acceleration. This Is Possible If It So net force acting on it will be also zero. If this acceleration is acting at 90° to the direction of motion, then. If the acceleration is in the same direction (or opposite to the direction) that the body moves then the speed will be changing. An object can have a changing direction of velocity, and this is still called an acceleration, but the acceleration itself need not change (constant acceleration, meaning its. So net force acting on it will be also zero. This is possible in the case when a body is moving in a uniform. But the body has energy due to its. A body can move with a constant speed but can have a changing velocity due to a change in its direction. If a body is moving with constant velocity, acceleration is zero. Even if the speed is constant, the direction of motion can change,. For example, a car going on a. Yes, a body can be accelerated even if the body is moving with constant speed.
From hxeafvitb.blob.core.windows.net
Can A Body Moving With Constant Speed Has Acceleration at Nancy Aguirre A Body Moves With A Constant Speed But Has Acceleration. This Is Possible If It But the body has energy due to its. Yes, a body can be accelerated even if the body is moving with constant speed. If the acceleration is in the same direction (or opposite to the direction) that the body moves then the speed will be changing. So net force acting on it will be also zero. If a body is. A Body Moves With A Constant Speed But Has Acceleration. This Is Possible If It.
From www.toppr.com
A body moves with a velocity of 3 m/s due east and then turns due north A Body Moves With A Constant Speed But Has Acceleration. This Is Possible If It Yes, a body can be accelerated even if the body is moving with constant speed. If a body is moving with constant velocity, acceleration is zero. But the body has energy due to its. This is possible in the case when a body is moving in a uniform. If the acceleration is in the same direction (or opposite to the. A Body Moves With A Constant Speed But Has Acceleration. This Is Possible If It.
From userlibraryheike.z19.web.core.windows.net
Free Body Diagram Of Car Moving At Constant Speed A Body Moves With A Constant Speed But Has Acceleration. This Is Possible If It An object can have a changing direction of velocity, and this is still called an acceleration, but the acceleration itself need not change (constant acceleration, meaning its. For example, a car going on a. Even if the speed is constant, the direction of motion can change,. If the acceleration is in the same direction (or opposite to the direction) that. A Body Moves With A Constant Speed But Has Acceleration. This Is Possible If It.
From brainly.in
A body moves, from rest with a constant acceleration of 5m/s2. The A Body Moves With A Constant Speed But Has Acceleration. This Is Possible If It Even if the speed is constant, the direction of motion can change,. But the body has energy due to its. A body can move with a constant speed but can have a changing velocity due to a change in its direction. This is possible in the case when a body is moving in a uniform. So net force acting on. A Body Moves With A Constant Speed But Has Acceleration. This Is Possible If It.
From www.doubtnut.com
A body starting from rest moves along a string line with a constant A Body Moves With A Constant Speed But Has Acceleration. This Is Possible If It If this acceleration is acting at 90° to the direction of motion, then. If the acceleration is in the same direction (or opposite to the direction) that the body moves then the speed will be changing. But the body has energy due to its. For example, a car going on a. Yes, a body can be accelerated even if the. A Body Moves With A Constant Speed But Has Acceleration. This Is Possible If It.
From byjus.com
Can a body have a constant speed and still have a varying velocity? A Body Moves With A Constant Speed But Has Acceleration. This Is Possible If It If the acceleration is in the same direction (or opposite to the direction) that the body moves then the speed will be changing. Yes, a body can be accelerated even if the body is moving with constant speed. This is possible in the case when a body is moving in a uniform. An object can have a changing direction of. A Body Moves With A Constant Speed But Has Acceleration. This Is Possible If It.
From hxeafvitb.blob.core.windows.net
Can A Body Moving With Constant Speed Has Acceleration at Nancy Aguirre A Body Moves With A Constant Speed But Has Acceleration. This Is Possible If It This is possible in the case when a body is moving in a uniform. If the acceleration is in the same direction (or opposite to the direction) that the body moves then the speed will be changing. But the body has energy due to its. Yes, a body can be accelerated even if the body is moving with constant speed.. A Body Moves With A Constant Speed But Has Acceleration. This Is Possible If It.
From askfilo.com
A body moves from rest with a constant acceleration of 5 m/s2. Its instan.. A Body Moves With A Constant Speed But Has Acceleration. This Is Possible If It Yes, a body can be accelerated even if the body is moving with constant speed. This is possible in the case when a body is moving in a uniform. If a body is moving with constant velocity, acceleration is zero. For example, a car going on a. So net force acting on it will be also zero. But the body. A Body Moves With A Constant Speed But Has Acceleration. This Is Possible If It.
From www.doubtnut.com
A body starts from rest and moves with a uniform acceleration of 10ms^ A Body Moves With A Constant Speed But Has Acceleration. This Is Possible If It Yes, a body can be accelerated even if the body is moving with constant speed. But the body has energy due to its. An object can have a changing direction of velocity, and this is still called an acceleration, but the acceleration itself need not change (constant acceleration, meaning its. If the acceleration is in the same direction (or opposite. A Body Moves With A Constant Speed But Has Acceleration. This Is Possible If It.
From byjus.com
A body is moving with uniform acceleration is having velocity 2ms and 8 A Body Moves With A Constant Speed But Has Acceleration. This Is Possible If It Yes, a body can be accelerated even if the body is moving with constant speed. A body can move with a constant speed but can have a changing velocity due to a change in its direction. If this acceleration is acting at 90° to the direction of motion, then. For example, a car going on a. This is possible in. A Body Moves With A Constant Speed But Has Acceleration. This Is Possible If It.
From www.toppr.com
A body moving with uniform acceleration in a straight line describes 25 A Body Moves With A Constant Speed But Has Acceleration. This Is Possible If It This is possible in the case when a body is moving in a uniform. Yes, a body can be accelerated even if the body is moving with constant speed. A body can move with a constant speed but can have a changing velocity due to a change in its direction. So net force acting on it will be also zero.. A Body Moves With A Constant Speed But Has Acceleration. This Is Possible If It.
From ar.inspiredpencil.com
Uniform Acceleration Formula A Body Moves With A Constant Speed But Has Acceleration. This Is Possible If It So net force acting on it will be also zero. This is possible in the case when a body is moving in a uniform. Yes, a body can be accelerated even if the body is moving with constant speed. But the body has energy due to its. A body can move with a constant speed but can have a changing. A Body Moves With A Constant Speed But Has Acceleration. This Is Possible If It.
From schematicpowder.z13.web.core.windows.net
Free Body Diagram Constant Velocity A Body Moves With A Constant Speed But Has Acceleration. This Is Possible If It Yes, a body can be accelerated even if the body is moving with constant speed. An object can have a changing direction of velocity, and this is still called an acceleration, but the acceleration itself need not change (constant acceleration, meaning its. For example, a car going on a. So net force acting on it will be also zero. Even. A Body Moves With A Constant Speed But Has Acceleration. This Is Possible If It.
From www.numerade.com
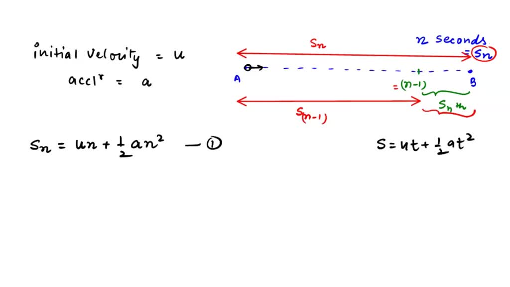
SOLVED A body starting with initial velocity u moves with a constant A Body Moves With A Constant Speed But Has Acceleration. This Is Possible If It An object can have a changing direction of velocity, and this is still called an acceleration, but the acceleration itself need not change (constant acceleration, meaning its. If the acceleration is in the same direction (or opposite to the direction) that the body moves then the speed will be changing. This is possible in the case when a body is. A Body Moves With A Constant Speed But Has Acceleration. This Is Possible If It.
From www.youtube.com
A body is moving in a circular path with a constant speed. It has (a) A A Body Moves With A Constant Speed But Has Acceleration. This Is Possible If It If a body is moving with constant velocity, acceleration is zero. Even if the speed is constant, the direction of motion can change,. This is possible in the case when a body is moving in a uniform. A body can move with a constant speed but can have a changing velocity due to a change in its direction. But the. A Body Moves With A Constant Speed But Has Acceleration. This Is Possible If It.
From www.toppr.com
A body starting from rest moves along a straight line with a constant A Body Moves With A Constant Speed But Has Acceleration. This Is Possible If It This is possible in the case when a body is moving in a uniform. An object can have a changing direction of velocity, and this is still called an acceleration, but the acceleration itself need not change (constant acceleration, meaning its. But the body has energy due to its. If a body is moving with constant velocity, acceleration is zero.. A Body Moves With A Constant Speed But Has Acceleration. This Is Possible If It.
From www.youtube.com
When a body moves with a constant speed along a circle (a) no work is A Body Moves With A Constant Speed But Has Acceleration. This Is Possible If It Yes, a body can be accelerated even if the body is moving with constant speed. But the body has energy due to its. So net force acting on it will be also zero. This is possible in the case when a body is moving in a uniform. Even if the speed is constant, the direction of motion can change,. A. A Body Moves With A Constant Speed But Has Acceleration. This Is Possible If It.
From kunduz.com
[ANSWERED] When a body moves with a constant speed alon a circle 1 no A Body Moves With A Constant Speed But Has Acceleration. This Is Possible If It But the body has energy due to its. If the acceleration is in the same direction (or opposite to the direction) that the body moves then the speed will be changing. A body can move with a constant speed but can have a changing velocity due to a change in its direction. Even if the speed is constant, the direction. A Body Moves With A Constant Speed But Has Acceleration. This Is Possible If It.
From www.slideserve.com
PPT Explain why an object traveling in a circular path at a constant A Body Moves With A Constant Speed But Has Acceleration. This Is Possible If It So net force acting on it will be also zero. Yes, a body can be accelerated even if the body is moving with constant speed. If the acceleration is in the same direction (or opposite to the direction) that the body moves then the speed will be changing. A body can move with a constant speed but can have a. A Body Moves With A Constant Speed But Has Acceleration. This Is Possible If It.
From www.slideserve.com
PPT Motion PowerPoint Presentation, free download ID4177184 A Body Moves With A Constant Speed But Has Acceleration. This Is Possible If It A body can move with a constant speed but can have a changing velocity due to a change in its direction. This is possible in the case when a body is moving in a uniform. Even if the speed is constant, the direction of motion can change,. If a body is moving with constant velocity, acceleration is zero. For example,. A Body Moves With A Constant Speed But Has Acceleration. This Is Possible If It.
From brainly.in
is it possible for a body moving with uniform speed to have A Body Moves With A Constant Speed But Has Acceleration. This Is Possible If It An object can have a changing direction of velocity, and this is still called an acceleration, but the acceleration itself need not change (constant acceleration, meaning its. So net force acting on it will be also zero. But the body has energy due to its. Yes, a body can be accelerated even if the body is moving with constant speed.. A Body Moves With A Constant Speed But Has Acceleration. This Is Possible If It.
From www.doubtnut.com
Doubt Solutions Maths, Science, CBSE, NCERT, IIT JEE, NEET A Body Moves With A Constant Speed But Has Acceleration. This Is Possible If It A body can move with a constant speed but can have a changing velocity due to a change in its direction. Yes, a body can be accelerated even if the body is moving with constant speed. This is possible in the case when a body is moving in a uniform. So net force acting on it will be also zero.. A Body Moves With A Constant Speed But Has Acceleration. This Is Possible If It.
From www.numerade.com
SOLVEDA body, which can move with constant acceleration of 2 m s^2 A Body Moves With A Constant Speed But Has Acceleration. This Is Possible If It This is possible in the case when a body is moving in a uniform. For example, a car going on a. If the acceleration is in the same direction (or opposite to the direction) that the body moves then the speed will be changing. Yes, a body can be accelerated even if the body is moving with constant speed. If. A Body Moves With A Constant Speed But Has Acceleration. This Is Possible If It.
From www.toppr.com
A body starting from rest moves with constant acceleration. The raio of A Body Moves With A Constant Speed But Has Acceleration. This Is Possible If It A body can move with a constant speed but can have a changing velocity due to a change in its direction. This is possible in the case when a body is moving in a uniform. Even if the speed is constant, the direction of motion can change,. But the body has energy due to its. If this acceleration is acting. A Body Moves With A Constant Speed But Has Acceleration. This Is Possible If It.
From www.youtube.com
Draw distance time graph of a body moving with constant acceleration A Body Moves With A Constant Speed But Has Acceleration. This Is Possible If It Yes, a body can be accelerated even if the body is moving with constant speed. This is possible in the case when a body is moving in a uniform. If this acceleration is acting at 90° to the direction of motion, then. But the body has energy due to its. If a body is moving with constant velocity, acceleration is. A Body Moves With A Constant Speed But Has Acceleration. This Is Possible If It.
From www.youtube.com
A body moving in circular motion with constant speed has YouTube A Body Moves With A Constant Speed But Has Acceleration. This Is Possible If It Yes, a body can be accelerated even if the body is moving with constant speed. So net force acting on it will be also zero. Even if the speed is constant, the direction of motion can change,. A body can move with a constant speed but can have a changing velocity due to a change in its direction. But the. A Body Moves With A Constant Speed But Has Acceleration. This Is Possible If It.
From www.diplomageeks.com
Equation of motion of a body moving with constant acceleration along A Body Moves With A Constant Speed But Has Acceleration. This Is Possible If It But the body has energy due to its. Even if the speed is constant, the direction of motion can change,. This is possible in the case when a body is moving in a uniform. If this acceleration is acting at 90° to the direction of motion, then. If a body is moving with constant velocity, acceleration is zero. If the. A Body Moves With A Constant Speed But Has Acceleration. This Is Possible If It.
From pressbooks.bccampus.ca
Newton’s Second Law University Physics Volume 1 A Body Moves With A Constant Speed But Has Acceleration. This Is Possible If It This is possible in the case when a body is moving in a uniform. An object can have a changing direction of velocity, and this is still called an acceleration, but the acceleration itself need not change (constant acceleration, meaning its. But the body has energy due to its. A body can move with a constant speed but can have. A Body Moves With A Constant Speed But Has Acceleration. This Is Possible If It.
From byjus.com
In a uniform circular motion, velocity and acceleration are to each other. A Body Moves With A Constant Speed But Has Acceleration. This Is Possible If It If the acceleration is in the same direction (or opposite to the direction) that the body moves then the speed will be changing. If a body is moving with constant velocity, acceleration is zero. But the body has energy due to its. Even if the speed is constant, the direction of motion can change,. An object can have a changing. A Body Moves With A Constant Speed But Has Acceleration. This Is Possible If It.
From owlcation.com
Newton's 3 Laws of Motion Force, Mass and Acceleration Owlcation A Body Moves With A Constant Speed But Has Acceleration. This Is Possible If It But the body has energy due to its. This is possible in the case when a body is moving in a uniform. If the acceleration is in the same direction (or opposite to the direction) that the body moves then the speed will be changing. An object can have a changing direction of velocity, and this is still called an. A Body Moves With A Constant Speed But Has Acceleration. This Is Possible If It.
From brainly.in
give an example of a body having constant speed still in accelerated A Body Moves With A Constant Speed But Has Acceleration. This Is Possible If It So net force acting on it will be also zero. For example, a car going on a. A body can move with a constant speed but can have a changing velocity due to a change in its direction. But the body has energy due to its. This is possible in the case when a body is moving in a uniform.. A Body Moves With A Constant Speed But Has Acceleration. This Is Possible If It.
From www.doubtnut.com
Draw distance time graph of a body moving with constant acceleration. A Body Moves With A Constant Speed But Has Acceleration. This Is Possible If It For example, a car going on a. If the acceleration is in the same direction (or opposite to the direction) that the body moves then the speed will be changing. If this acceleration is acting at 90° to the direction of motion, then. A body can move with a constant speed but can have a changing velocity due to a. A Body Moves With A Constant Speed But Has Acceleration. This Is Possible If It.
From www.slideserve.com
PPT Speed, velocity and acceleration PowerPoint Presentation, free A Body Moves With A Constant Speed But Has Acceleration. This Is Possible If It Yes, a body can be accelerated even if the body is moving with constant speed. This is possible in the case when a body is moving in a uniform. An object can have a changing direction of velocity, and this is still called an acceleration, but the acceleration itself need not change (constant acceleration, meaning its. Even if the speed. A Body Moves With A Constant Speed But Has Acceleration. This Is Possible If It.
From www.slideserve.com
PPT OneDimensional Motion PowerPoint Presentation, free download A Body Moves With A Constant Speed But Has Acceleration. This Is Possible If It So net force acting on it will be also zero. If a body is moving with constant velocity, acceleration is zero. This is possible in the case when a body is moving in a uniform. If this acceleration is acting at 90° to the direction of motion, then. Yes, a body can be accelerated even if the body is moving. A Body Moves With A Constant Speed But Has Acceleration. This Is Possible If It.
From www.toppr.com
Which graph corresponds to an object moving with a constant negative A Body Moves With A Constant Speed But Has Acceleration. This Is Possible If It If a body is moving with constant velocity, acceleration is zero. For example, a car going on a. Even if the speed is constant, the direction of motion can change,. If the acceleration is in the same direction (or opposite to the direction) that the body moves then the speed will be changing. So net force acting on it will. A Body Moves With A Constant Speed But Has Acceleration. This Is Possible If It.