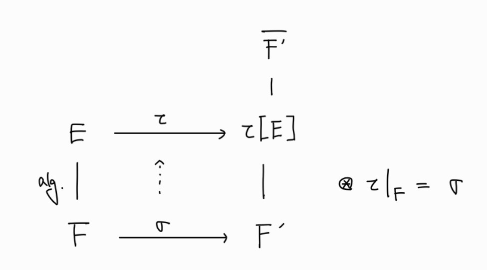
Field Extension Isomorphism . Second, if you are asking, given that k(α) k (α) and k(β) k (β) are isomorphic as extensions of k k,. We have the following useful fact about fields: Every field is a (possibly infinite) extension of. Let k ⊂ l be a field extension and α ∈ l an element. In field theory, a branch of mathematics, the isomorphism extension theorem is an important theorem regarding the extension of a field. The map ϕextends to an isomorphism k[x] →k0[x] and sends (f) to (ϕ(f)), so induces an isomorphism between the quotient rings by. Now consider an isomorphism of fields φ∶ e → f , with k the extension field of e with α ∈ , k. Algebraic over e with minimal polynomial p(x). If α is transcendental over k, then k[α] is isomorphic to the polynomial ring. We will construct a field extension of \ ( {\mathbb z}_2\) containing an element \ (\alpha\) such that \ (p (\alpha) = 0\text {.}\) by theorem 17.22, the. First, extensions do not contain polynomials.
from www.numerade.com
In field theory, a branch of mathematics, the isomorphism extension theorem is an important theorem regarding the extension of a field. Second, if you are asking, given that k(α) k (α) and k(β) k (β) are isomorphic as extensions of k k,. Now consider an isomorphism of fields φ∶ e → f , with k the extension field of e with α ∈ , k. Every field is a (possibly infinite) extension of. Let k ⊂ l be a field extension and α ∈ l an element. If α is transcendental over k, then k[α] is isomorphic to the polynomial ring. The map ϕextends to an isomorphism k[x] →k0[x] and sends (f) to (ϕ(f)), so induces an isomorphism between the quotient rings by. We will construct a field extension of \ ( {\mathbb z}_2\) containing an element \ (\alpha\) such that \ (p (\alpha) = 0\text {.}\) by theorem 17.22, the. We have the following useful fact about fields: First, extensions do not contain polynomials.
SOLVEDLet K be an extension of the field F. Let φ K →K^' be an
Field Extension Isomorphism In field theory, a branch of mathematics, the isomorphism extension theorem is an important theorem regarding the extension of a field. Algebraic over e with minimal polynomial p(x). Every field is a (possibly infinite) extension of. Second, if you are asking, given that k(α) k (α) and k(β) k (β) are isomorphic as extensions of k k,. If α is transcendental over k, then k[α] is isomorphic to the polynomial ring. The map ϕextends to an isomorphism k[x] →k0[x] and sends (f) to (ϕ(f)), so induces an isomorphism between the quotient rings by. First, extensions do not contain polynomials. Now consider an isomorphism of fields φ∶ e → f , with k the extension field of e with α ∈ , k. Let k ⊂ l be a field extension and α ∈ l an element. We have the following useful fact about fields: In field theory, a branch of mathematics, the isomorphism extension theorem is an important theorem regarding the extension of a field. We will construct a field extension of \ ( {\mathbb z}_2\) containing an element \ (\alpha\) such that \ (p (\alpha) = 0\text {.}\) by theorem 17.22, the.
From www.slideserve.com
PPT Field Extension PowerPoint Presentation, free download ID1777745 Field Extension Isomorphism Let k ⊂ l be a field extension and α ∈ l an element. Algebraic over e with minimal polynomial p(x). The map ϕextends to an isomorphism k[x] →k0[x] and sends (f) to (ϕ(f)), so induces an isomorphism between the quotient rings by. In field theory, a branch of mathematics, the isomorphism extension theorem is an important theorem regarding the. Field Extension Isomorphism.
From www.numerade.com
SOLVEDLet K be an extension of the field F. Let φ K →K^' be an Field Extension Isomorphism We will construct a field extension of \ ( {\mathbb z}_2\) containing an element \ (\alpha\) such that \ (p (\alpha) = 0\text {.}\) by theorem 17.22, the. If α is transcendental over k, then k[α] is isomorphic to the polynomial ring. Second, if you are asking, given that k(α) k (α) and k(β) k (β) are isomorphic as extensions. Field Extension Isomorphism.
From www.researchgate.net
Isomorphism between numbers and 2Tuples. Download Scientific Diagram Field Extension Isomorphism We have the following useful fact about fields: Let k ⊂ l be a field extension and α ∈ l an element. First, extensions do not contain polynomials. If α is transcendental over k, then k[α] is isomorphic to the polynomial ring. We will construct a field extension of \ ( {\mathbb z}_2\) containing an element \ (\alpha\) such that. Field Extension Isomorphism.
From www.researchgate.net
9 Field Extension Approach Download Scientific Diagram Field Extension Isomorphism If α is transcendental over k, then k[α] is isomorphic to the polynomial ring. We have the following useful fact about fields: Second, if you are asking, given that k(α) k (α) and k(β) k (β) are isomorphic as extensions of k k,. In field theory, a branch of mathematics, the isomorphism extension theorem is an important theorem regarding the. Field Extension Isomorphism.
From www.researchgate.net
Isomorphism between LLRB and 234 trees Download Scientific Diagram Field Extension Isomorphism Algebraic over e with minimal polynomial p(x). The map ϕextends to an isomorphism k[x] →k0[x] and sends (f) to (ϕ(f)), so induces an isomorphism between the quotient rings by. We have the following useful fact about fields: We will construct a field extension of \ ( {\mathbb z}_2\) containing an element \ (\alpha\) such that \ (p (\alpha) = 0\text. Field Extension Isomorphism.
From www.slideserve.com
PPT Graphs and 2Way Bounding PowerPoint Presentation, free download Field Extension Isomorphism Second, if you are asking, given that k(α) k (α) and k(β) k (β) are isomorphic as extensions of k k,. Let k ⊂ l be a field extension and α ∈ l an element. Now consider an isomorphism of fields φ∶ e → f , with k the extension field of e with α ∈ , k. We will. Field Extension Isomorphism.
From whitemask.tistory.com
Galois Theory (2). Isomorphism Extension Theorem Field Extension Isomorphism First, extensions do not contain polynomials. We have the following useful fact about fields: Second, if you are asking, given that k(α) k (α) and k(β) k (β) are isomorphic as extensions of k k,. The map ϕextends to an isomorphism k[x] →k0[x] and sends (f) to (ϕ(f)), so induces an isomorphism between the quotient rings by. If α is. Field Extension Isomorphism.
From www.studypool.com
SOLUTION Algebra isomorphism extension theorem Studypool Field Extension Isomorphism Let k ⊂ l be a field extension and α ∈ l an element. Now consider an isomorphism of fields φ∶ e → f , with k the extension field of e with α ∈ , k. Algebraic over e with minimal polynomial p(x). Second, if you are asking, given that k(α) k (α) and k(β) k (β) are isomorphic. Field Extension Isomorphism.
From www.youtube.com
Lecture 21 First isomorphism theorem YouTube Field Extension Isomorphism Now consider an isomorphism of fields φ∶ e → f , with k the extension field of e with α ∈ , k. Algebraic over e with minimal polynomial p(x). In field theory, a branch of mathematics, the isomorphism extension theorem is an important theorem regarding the extension of a field. Second, if you are asking, given that k(α) k. Field Extension Isomorphism.
From www.scribd.com
Isomorphism Extension Theorem PDF Field Extension Isomorphism In field theory, a branch of mathematics, the isomorphism extension theorem is an important theorem regarding the extension of a field. Algebraic over e with minimal polynomial p(x). Now consider an isomorphism of fields φ∶ e → f , with k the extension field of e with α ∈ , k. Every field is a (possibly infinite) extension of. We. Field Extension Isomorphism.
From www.researchgate.net
3. Isomorphism between −1 ≤ Q 8 and S 2 . Download Scientific Diagram Field Extension Isomorphism First, extensions do not contain polynomials. The map ϕextends to an isomorphism k[x] →k0[x] and sends (f) to (ϕ(f)), so induces an isomorphism between the quotient rings by. If α is transcendental over k, then k[α] is isomorphic to the polynomial ring. We will construct a field extension of \ ( {\mathbb z}_2\) containing an element \ (\alpha\) such that. Field Extension Isomorphism.
From www.youtube.com
Chapter 6 Homomorphism and (first) isomorphism theorem Essence of Field Extension Isomorphism Every field is a (possibly infinite) extension of. Second, if you are asking, given that k(α) k (α) and k(β) k (β) are isomorphic as extensions of k k,. If α is transcendental over k, then k[α] is isomorphic to the polynomial ring. The map ϕextends to an isomorphism k[x] →k0[x] and sends (f) to (ϕ(f)), so induces an isomorphism. Field Extension Isomorphism.
From www.slideserve.com
PPT Quantum random walks of interacting particles and the graph Field Extension Isomorphism The map ϕextends to an isomorphism k[x] →k0[x] and sends (f) to (ϕ(f)), so induces an isomorphism between the quotient rings by. First, extensions do not contain polynomials. Second, if you are asking, given that k(α) k (α) and k(β) k (β) are isomorphic as extensions of k k,. In field theory, a branch of mathematics, the isomorphism extension theorem. Field Extension Isomorphism.
From www.youtube.com
Field Theory 1, Extension Fields YouTube Field Extension Isomorphism Second, if you are asking, given that k(α) k (α) and k(β) k (β) are isomorphic as extensions of k k,. The map ϕextends to an isomorphism k[x] →k0[x] and sends (f) to (ϕ(f)), so induces an isomorphism between the quotient rings by. We will construct a field extension of \ ( {\mathbb z}_2\) containing an element \ (\alpha\) such. Field Extension Isomorphism.
From www.researchgate.net
The 42 isomorphism types of oriented graphs of order 4. Download Field Extension Isomorphism In field theory, a branch of mathematics, the isomorphism extension theorem is an important theorem regarding the extension of a field. Every field is a (possibly infinite) extension of. If α is transcendental over k, then k[α] is isomorphic to the polynomial ring. Second, if you are asking, given that k(α) k (α) and k(β) k (β) are isomorphic as. Field Extension Isomorphism.
From www.scribd.com
Isomorphism Problems For HopfGalois Structures On Separable Field Field Extension Isomorphism Let k ⊂ l be a field extension and α ∈ l an element. Now consider an isomorphism of fields φ∶ e → f , with k the extension field of e with α ∈ , k. We have the following useful fact about fields: Algebraic over e with minimal polynomial p(x). Every field is a (possibly infinite) extension of.. Field Extension Isomorphism.
From ptwiddle.github.io
Graph Isomorphisms Field Extension Isomorphism The map ϕextends to an isomorphism k[x] →k0[x] and sends (f) to (ϕ(f)), so induces an isomorphism between the quotient rings by. We have the following useful fact about fields: We will construct a field extension of \ ( {\mathbb z}_2\) containing an element \ (\alpha\) such that \ (p (\alpha) = 0\text {.}\) by theorem 17.22, the. In field. Field Extension Isomorphism.
From whitemask.tistory.com
Galois Theory (2). Isomorphism Extension Theorem Field Extension Isomorphism In field theory, a branch of mathematics, the isomorphism extension theorem is an important theorem regarding the extension of a field. The map ϕextends to an isomorphism k[x] →k0[x] and sends (f) to (ϕ(f)), so induces an isomorphism between the quotient rings by. Algebraic over e with minimal polynomial p(x). If α is transcendental over k, then k[α] is isomorphic. Field Extension Isomorphism.
From www.youtube.com
Identifying Isomorphic Trees Graph Theory YouTube Field Extension Isomorphism In field theory, a branch of mathematics, the isomorphism extension theorem is an important theorem regarding the extension of a field. We have the following useful fact about fields: First, extensions do not contain polynomials. If α is transcendental over k, then k[α] is isomorphic to the polynomial ring. The map ϕextends to an isomorphism k[x] →k0[x] and sends (f). Field Extension Isomorphism.
From www.researchgate.net
An illustration of the isomorphism between an example of a game !(A × Field Extension Isomorphism First, extensions do not contain polynomials. The map ϕextends to an isomorphism k[x] →k0[x] and sends (f) to (ϕ(f)), so induces an isomorphism between the quotient rings by. We have the following useful fact about fields: Second, if you are asking, given that k(α) k (α) and k(β) k (β) are isomorphic as extensions of k k,. If α is. Field Extension Isomorphism.
From www.youtube.com
Field Theory 2, Extension Fields examples YouTube Field Extension Isomorphism First, extensions do not contain polynomials. We will construct a field extension of \ ( {\mathbb z}_2\) containing an element \ (\alpha\) such that \ (p (\alpha) = 0\text {.}\) by theorem 17.22, the. We have the following useful fact about fields: If α is transcendental over k, then k[α] is isomorphic to the polynomial ring. Second, if you are. Field Extension Isomorphism.
From www.youtube.com
2.8.3 Isomorphism Video YouTube Field Extension Isomorphism Let k ⊂ l be a field extension and α ∈ l an element. First, extensions do not contain polynomials. We will construct a field extension of \ ( {\mathbb z}_2\) containing an element \ (\alpha\) such that \ (p (\alpha) = 0\text {.}\) by theorem 17.22, the. Every field is a (possibly infinite) extension of. Now consider an isomorphism. Field Extension Isomorphism.
From www.semanticscholar.org
Figure 1 from Graph isomorphism completeness for chordal bipartite Field Extension Isomorphism Algebraic over e with minimal polynomial p(x). Second, if you are asking, given that k(α) k (α) and k(β) k (β) are isomorphic as extensions of k k,. We have the following useful fact about fields: If α is transcendental over k, then k[α] is isomorphic to the polynomial ring. Every field is a (possibly infinite) extension of. Now consider. Field Extension Isomorphism.
From www.slideserve.com
PPT 22C19 Discrete Math Graphs PowerPoint Presentation, free Field Extension Isomorphism We will construct a field extension of \ ( {\mathbb z}_2\) containing an element \ (\alpha\) such that \ (p (\alpha) = 0\text {.}\) by theorem 17.22, the. We have the following useful fact about fields: If α is transcendental over k, then k[α] is isomorphic to the polynomial ring. First, extensions do not contain polynomials. Every field is a. Field Extension Isomorphism.
From www.slideserve.com
PPT Graph PowerPoint Presentation, free download ID4817739 Field Extension Isomorphism Algebraic over e with minimal polynomial p(x). In field theory, a branch of mathematics, the isomorphism extension theorem is an important theorem regarding the extension of a field. Now consider an isomorphism of fields φ∶ e → f , with k the extension field of e with α ∈ , k. First, extensions do not contain polynomials. If α is. Field Extension Isomorphism.
From www.researchgate.net
Model diagram of the relationship between institutional isomorphism and Field Extension Isomorphism In field theory, a branch of mathematics, the isomorphism extension theorem is an important theorem regarding the extension of a field. We will construct a field extension of \ ( {\mathbb z}_2\) containing an element \ (\alpha\) such that \ (p (\alpha) = 0\text {.}\) by theorem 17.22, the. Second, if you are asking, given that k(α) k (α) and. Field Extension Isomorphism.
From www.youtube.com
Field Theory 9, Finite Field Extension, Degree of Extensions YouTube Field Extension Isomorphism Now consider an isomorphism of fields φ∶ e → f , with k the extension field of e with α ∈ , k. Second, if you are asking, given that k(α) k (α) and k(β) k (β) are isomorphic as extensions of k k,. Every field is a (possibly infinite) extension of. The map ϕextends to an isomorphism k[x] →k0[x]. Field Extension Isomorphism.
From www.youtube.com
Graph isomorphism in quasipolynomial time László Babai YouTube Field Extension Isomorphism In field theory, a branch of mathematics, the isomorphism extension theorem is an important theorem regarding the extension of a field. Second, if you are asking, given that k(α) k (α) and k(β) k (β) are isomorphic as extensions of k k,. First, extensions do not contain polynomials. The map ϕextends to an isomorphism k[x] →k0[x] and sends (f) to. Field Extension Isomorphism.
From www.youtube.com
Field Theory 6, Isomorphism between Extensions YouTube Field Extension Isomorphism Algebraic over e with minimal polynomial p(x). Second, if you are asking, given that k(α) k (α) and k(β) k (β) are isomorphic as extensions of k k,. We will construct a field extension of \ ( {\mathbb z}_2\) containing an element \ (\alpha\) such that \ (p (\alpha) = 0\text {.}\) by theorem 17.22, the. The map ϕextends to. Field Extension Isomorphism.
From www.researchgate.net
An internal diagram of an isomorphism between program behaviours Field Extension Isomorphism We have the following useful fact about fields: We will construct a field extension of \ ( {\mathbb z}_2\) containing an element \ (\alpha\) such that \ (p (\alpha) = 0\text {.}\) by theorem 17.22, the. If α is transcendental over k, then k[α] is isomorphic to the polynomial ring. In field theory, a branch of mathematics, the isomorphism extension. Field Extension Isomorphism.
From www.researchgate.net
11 Isomorphism classes of graphs of order 4 Download Scientific Diagram Field Extension Isomorphism The map ϕextends to an isomorphism k[x] →k0[x] and sends (f) to (ϕ(f)), so induces an isomorphism between the quotient rings by. Algebraic over e with minimal polynomial p(x). In field theory, a branch of mathematics, the isomorphism extension theorem is an important theorem regarding the extension of a field. If α is transcendental over k, then k[α] is isomorphic. Field Extension Isomorphism.
From news.sciencemag.org
Mathematician claims breakthrough in complexity theory Science AAAS Field Extension Isomorphism The map ϕextends to an isomorphism k[x] →k0[x] and sends (f) to (ϕ(f)), so induces an isomorphism between the quotient rings by. Every field is a (possibly infinite) extension of. Algebraic over e with minimal polynomial p(x). In field theory, a branch of mathematics, the isomorphism extension theorem is an important theorem regarding the extension of a field. First, extensions. Field Extension Isomorphism.
From www.researchgate.net
Diagram illustrating the action of the isomorphism Download Field Extension Isomorphism In field theory, a branch of mathematics, the isomorphism extension theorem is an important theorem regarding the extension of a field. We have the following useful fact about fields: We will construct a field extension of \ ( {\mathbb z}_2\) containing an element \ (\alpha\) such that \ (p (\alpha) = 0\text {.}\) by theorem 17.22, the. The map ϕextends. Field Extension Isomorphism.
From www.researchgate.net
The proof of the First Isomorphism Theorem and lemma needed for the Field Extension Isomorphism Algebraic over e with minimal polynomial p(x). We will construct a field extension of \ ( {\mathbb z}_2\) containing an element \ (\alpha\) such that \ (p (\alpha) = 0\text {.}\) by theorem 17.22, the. First, extensions do not contain polynomials. Second, if you are asking, given that k(α) k (α) and k(β) k (β) are isomorphic as extensions of. Field Extension Isomorphism.
From www.youtube.com
Lec01Field ExtensionsField TheoryM.Sc. SemIV MathematicsHNGU Field Extension Isomorphism Every field is a (possibly infinite) extension of. We have the following useful fact about fields: The map ϕextends to an isomorphism k[x] →k0[x] and sends (f) to (ϕ(f)), so induces an isomorphism between the quotient rings by. We will construct a field extension of \ ( {\mathbb z}_2\) containing an element \ (\alpha\) such that \ (p (\alpha) =. Field Extension Isomorphism.