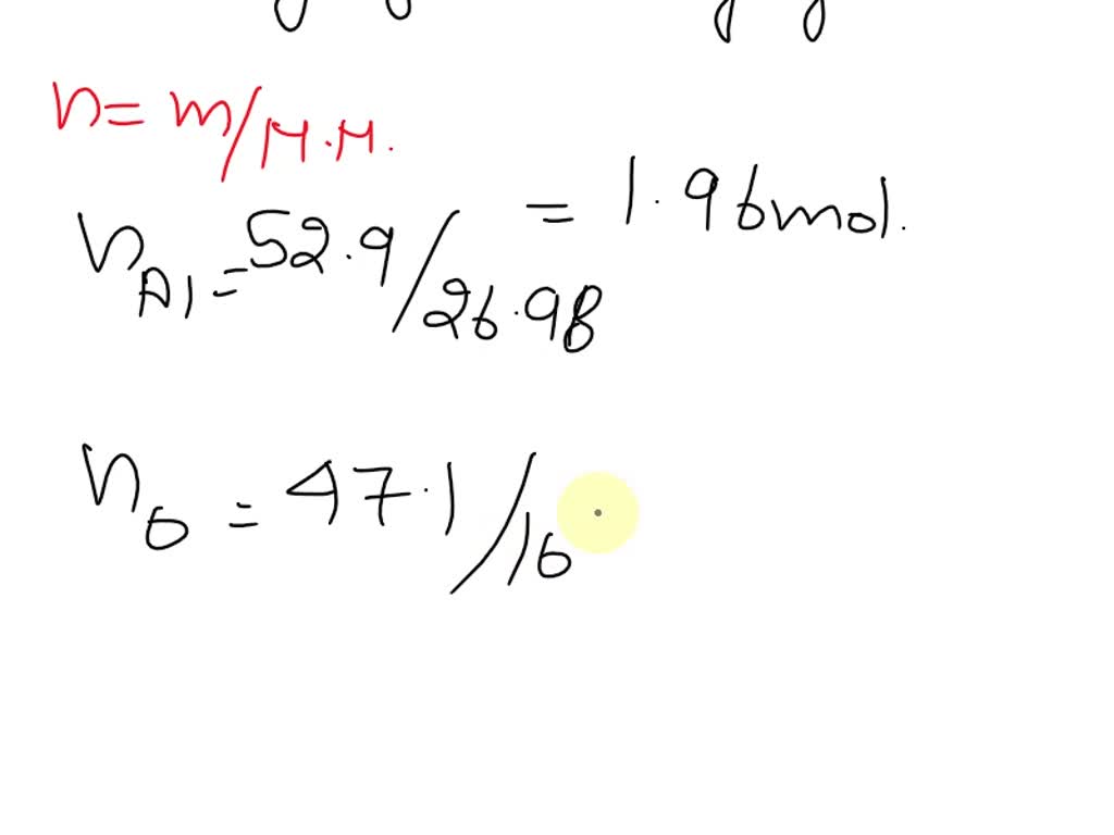
Aluminum And Oxygen Empirical Formula . All the remaining transition metals form multiple. You can determine the empirical formula for this compound (or any compound, for that matter) by finding the mole ratio between. Write the chemical formula for an ionic compound composed of each pair of ions. If you're seeing this message, it means we're having trouble loading external resources on our website. The aluminum ion and the fluoride ion; The lighter group 3a metals (aluminum, galium and indium), along with scandium and yttrium lose 3 electrons to form [+3] cations. The sodium ion and the sulfur ion; The 3+ iron ion and the oxygen ion;. Finding the empirical formula of a substance with a percent composition of 52.94% aluminium/aluminum (al), 47.06% oxygen (o). What is the formula of this compound?. The gemstone sapphire (figure 6.2c) is mostly a compound of aluminum and oxygen that contains aluminum cations, al 3+, and oxygen anions, o 2−.
from www.coursehero.com
You can determine the empirical formula for this compound (or any compound, for that matter) by finding the mole ratio between. The lighter group 3a metals (aluminum, galium and indium), along with scandium and yttrium lose 3 electrons to form [+3] cations. All the remaining transition metals form multiple. The aluminum ion and the fluoride ion; Write the chemical formula for an ionic compound composed of each pair of ions. The sodium ion and the sulfur ion; The gemstone sapphire (figure 6.2c) is mostly a compound of aluminum and oxygen that contains aluminum cations, al 3+, and oxygen anions, o 2−. If you're seeing this message, it means we're having trouble loading external resources on our website. Finding the empirical formula of a substance with a percent composition of 52.94% aluminium/aluminum (al), 47.06% oxygen (o). The 3+ iron ion and the oxygen ion;.
[Solved] Determine the empirical formula for Aluminum compound
Aluminum And Oxygen Empirical Formula Write the chemical formula for an ionic compound composed of each pair of ions. The 3+ iron ion and the oxygen ion;. Write the chemical formula for an ionic compound composed of each pair of ions. All the remaining transition metals form multiple. The gemstone sapphire (figure 6.2c) is mostly a compound of aluminum and oxygen that contains aluminum cations, al 3+, and oxygen anions, o 2−. The aluminum ion and the fluoride ion; You can determine the empirical formula for this compound (or any compound, for that matter) by finding the mole ratio between. The lighter group 3a metals (aluminum, galium and indium), along with scandium and yttrium lose 3 electrons to form [+3] cations. Finding the empirical formula of a substance with a percent composition of 52.94% aluminium/aluminum (al), 47.06% oxygen (o). What is the formula of this compound?. If you're seeing this message, it means we're having trouble loading external resources on our website. The sodium ion and the sulfur ion;
From www.chegg.com
Solved Part A Predict the empirical formula of the ionic Aluminum And Oxygen Empirical Formula The aluminum ion and the fluoride ion; All the remaining transition metals form multiple. What is the formula of this compound?. The sodium ion and the sulfur ion; The gemstone sapphire (figure 6.2c) is mostly a compound of aluminum and oxygen that contains aluminum cations, al 3+, and oxygen anions, o 2−. The lighter group 3a metals (aluminum, galium and. Aluminum And Oxygen Empirical Formula.
From www.numerade.com
SOLVED What stable ionic compound will form from aluminum and oxygen Aluminum And Oxygen Empirical Formula The lighter group 3a metals (aluminum, galium and indium), along with scandium and yttrium lose 3 electrons to form [+3] cations. The 3+ iron ion and the oxygen ion;. Finding the empirical formula of a substance with a percent composition of 52.94% aluminium/aluminum (al), 47.06% oxygen (o). What is the formula of this compound?. The aluminum ion and the fluoride. Aluminum And Oxygen Empirical Formula.
From www.coursehero.com
[Solved] Determine the empirical formula of a compound that has the Aluminum And Oxygen Empirical Formula The sodium ion and the sulfur ion; The aluminum ion and the fluoride ion; If you're seeing this message, it means we're having trouble loading external resources on our website. The gemstone sapphire (figure 6.2c) is mostly a compound of aluminum and oxygen that contains aluminum cations, al 3+, and oxygen anions, o 2−. The 3+ iron ion and the. Aluminum And Oxygen Empirical Formula.
From www.slideserve.com
PPT Chemical Nomenclature PowerPoint Presentation, free download ID Aluminum And Oxygen Empirical Formula You can determine the empirical formula for this compound (or any compound, for that matter) by finding the mole ratio between. If you're seeing this message, it means we're having trouble loading external resources on our website. The 3+ iron ion and the oxygen ion;. The sodium ion and the sulfur ion; The lighter group 3a metals (aluminum, galium and. Aluminum And Oxygen Empirical Formula.
From www.chegg.com
Solved Aluminum and oxygen react to form aluminum oxide. How Aluminum And Oxygen Empirical Formula Write the chemical formula for an ionic compound composed of each pair of ions. You can determine the empirical formula for this compound (or any compound, for that matter) by finding the mole ratio between. What is the formula of this compound?. The gemstone sapphire (figure 6.2c) is mostly a compound of aluminum and oxygen that contains aluminum cations, al. Aluminum And Oxygen Empirical Formula.
From www.numerade.com
Aluminum reacts with oxygen to yield aluminum oxide. If 5.0 g of Al Aluminum And Oxygen Empirical Formula The sodium ion and the sulfur ion; Write the chemical formula for an ionic compound composed of each pair of ions. The aluminum ion and the fluoride ion; Finding the empirical formula of a substance with a percent composition of 52.94% aluminium/aluminum (al), 47.06% oxygen (o). If you're seeing this message, it means we're having trouble loading external resources on. Aluminum And Oxygen Empirical Formula.
From www.coursehero.com
[Solved] Fill in the name and empirical formula of each ionic compound Aluminum And Oxygen Empirical Formula The aluminum ion and the fluoride ion; The lighter group 3a metals (aluminum, galium and indium), along with scandium and yttrium lose 3 electrons to form [+3] cations. The sodium ion and the sulfur ion; All the remaining transition metals form multiple. The 3+ iron ion and the oxygen ion;. Write the chemical formula for an ionic compound composed of. Aluminum And Oxygen Empirical Formula.
From www.numerade.com
SOLVEDCalculate An oxide of aluminum contains 0.545 g of Al and 0.485 Aluminum And Oxygen Empirical Formula If you're seeing this message, it means we're having trouble loading external resources on our website. The 3+ iron ion and the oxygen ion;. The sodium ion and the sulfur ion; Write the chemical formula for an ionic compound composed of each pair of ions. The aluminum ion and the fluoride ion; You can determine the empirical formula for this. Aluminum And Oxygen Empirical Formula.
From www.numerade.com
SOLVED A mass of aluminium metal is heated in such a way that it was Aluminum And Oxygen Empirical Formula Write the chemical formula for an ionic compound composed of each pair of ions. What is the formula of this compound?. You can determine the empirical formula for this compound (or any compound, for that matter) by finding the mole ratio between. If you're seeing this message, it means we're having trouble loading external resources on our website. The lighter. Aluminum And Oxygen Empirical Formula.
From www.youtube.com
008 Aluminum + Oxygen = Aluminum Oxide YouTube Aluminum And Oxygen Empirical Formula The 3+ iron ion and the oxygen ion;. Finding the empirical formula of a substance with a percent composition of 52.94% aluminium/aluminum (al), 47.06% oxygen (o). What is the formula of this compound?. All the remaining transition metals form multiple. The gemstone sapphire (figure 6.2c) is mostly a compound of aluminum and oxygen that contains aluminum cations, al 3+, and. Aluminum And Oxygen Empirical Formula.
From www.chegg.com
Solved What is the empirical formula of a compound composed Aluminum And Oxygen Empirical Formula All the remaining transition metals form multiple. If you're seeing this message, it means we're having trouble loading external resources on our website. The lighter group 3a metals (aluminum, galium and indium), along with scandium and yttrium lose 3 electrons to form [+3] cations. The gemstone sapphire (figure 6.2c) is mostly a compound of aluminum and oxygen that contains aluminum. Aluminum And Oxygen Empirical Formula.
From www.numerade.com
Predict the empirical formulas of the ionic compounds formed from the Aluminum And Oxygen Empirical Formula What is the formula of this compound?. Write the chemical formula for an ionic compound composed of each pair of ions. The 3+ iron ion and the oxygen ion;. The sodium ion and the sulfur ion; If you're seeing this message, it means we're having trouble loading external resources on our website. Finding the empirical formula of a substance with. Aluminum And Oxygen Empirical Formula.
From www.slideserve.com
PPT Nomenclature writing chemical formulas naming chemical compounds Aluminum And Oxygen Empirical Formula All the remaining transition metals form multiple. The gemstone sapphire (figure 6.2c) is mostly a compound of aluminum and oxygen that contains aluminum cations, al 3+, and oxygen anions, o 2−. The aluminum ion and the fluoride ion; If you're seeing this message, it means we're having trouble loading external resources on our website. The sodium ion and the sulfur. Aluminum And Oxygen Empirical Formula.
From brainly.com
A compound contains 53 Al and 47 O by mass. What is the empirical Aluminum And Oxygen Empirical Formula The sodium ion and the sulfur ion; The lighter group 3a metals (aluminum, galium and indium), along with scandium and yttrium lose 3 electrons to form [+3] cations. The 3+ iron ion and the oxygen ion;. Write the chemical formula for an ionic compound composed of each pair of ions. The aluminum ion and the fluoride ion; What is the. Aluminum And Oxygen Empirical Formula.
From www.slideserve.com
PPT Word equations to balanced chemical equations drill Each of the Aluminum And Oxygen Empirical Formula The 3+ iron ion and the oxygen ion;. The aluminum ion and the fluoride ion; The lighter group 3a metals (aluminum, galium and indium), along with scandium and yttrium lose 3 electrons to form [+3] cations. You can determine the empirical formula for this compound (or any compound, for that matter) by finding the mole ratio between. Finding the empirical. Aluminum And Oxygen Empirical Formula.
From www.youtube.com
Writing the Formula for Aluminum Oxide YouTube Aluminum And Oxygen Empirical Formula What is the formula of this compound?. You can determine the empirical formula for this compound (or any compound, for that matter) by finding the mole ratio between. The 3+ iron ion and the oxygen ion;. The sodium ion and the sulfur ion; The aluminum ion and the fluoride ion; The lighter group 3a metals (aluminum, galium and indium), along. Aluminum And Oxygen Empirical Formula.
From www.teachoo.com
Chemical Properties of Metals [with Reaction Examples] Teachoo Aluminum And Oxygen Empirical Formula What is the formula of this compound?. The lighter group 3a metals (aluminum, galium and indium), along with scandium and yttrium lose 3 electrons to form [+3] cations. The aluminum ion and the fluoride ion; The sodium ion and the sulfur ion; Write the chemical formula for an ionic compound composed of each pair of ions. Finding the empirical formula. Aluminum And Oxygen Empirical Formula.
From www.bartleby.com
Answered 3. A student reacted 0.3000 grams of… bartleby Aluminum And Oxygen Empirical Formula The 3+ iron ion and the oxygen ion;. The gemstone sapphire (figure 6.2c) is mostly a compound of aluminum and oxygen that contains aluminum cations, al 3+, and oxygen anions, o 2−. You can determine the empirical formula for this compound (or any compound, for that matter) by finding the mole ratio between. The sodium ion and the sulfur ion;. Aluminum And Oxygen Empirical Formula.
From www.youtube.com
Reaction of Oxygen and Aluminium YouTube Aluminum And Oxygen Empirical Formula The lighter group 3a metals (aluminum, galium and indium), along with scandium and yttrium lose 3 electrons to form [+3] cations. The 3+ iron ion and the oxygen ion;. The aluminum ion and the fluoride ion; Write the chemical formula for an ionic compound composed of each pair of ions. What is the formula of this compound?. All the remaining. Aluminum And Oxygen Empirical Formula.
From www.coursehero.com
[Solved] Determine the empirical formula of a compound that has the Aluminum And Oxygen Empirical Formula The lighter group 3a metals (aluminum, galium and indium), along with scandium and yttrium lose 3 electrons to form [+3] cations. What is the formula of this compound?. The aluminum ion and the fluoride ion; The gemstone sapphire (figure 6.2c) is mostly a compound of aluminum and oxygen that contains aluminum cations, al 3+, and oxygen anions, o 2−. You. Aluminum And Oxygen Empirical Formula.
From www.coursehero.com
[Solved] Determine the empirical formula for Aluminum compound Aluminum And Oxygen Empirical Formula The gemstone sapphire (figure 6.2c) is mostly a compound of aluminum and oxygen that contains aluminum cations, al 3+, and oxygen anions, o 2−. The lighter group 3a metals (aluminum, galium and indium), along with scandium and yttrium lose 3 electrons to form [+3] cations. If you're seeing this message, it means we're having trouble loading external resources on our. Aluminum And Oxygen Empirical Formula.
From www.thesciencehive.co.uk
Redox and Electrode Potentials — the science hive Aluminum And Oxygen Empirical Formula What is the formula of this compound?. Write the chemical formula for an ionic compound composed of each pair of ions. The sodium ion and the sulfur ion; The lighter group 3a metals (aluminum, galium and indium), along with scandium and yttrium lose 3 electrons to form [+3] cations. All the remaining transition metals form multiple. If you're seeing this. Aluminum And Oxygen Empirical Formula.
From www.slideserve.com
PPT Chapter 15 HOW ATOMS BOND AND MOLECULES ATTRACT PowerPoint Aluminum And Oxygen Empirical Formula What is the formula of this compound?. The aluminum ion and the fluoride ion; If you're seeing this message, it means we're having trouble loading external resources on our website. The sodium ion and the sulfur ion; The gemstone sapphire (figure 6.2c) is mostly a compound of aluminum and oxygen that contains aluminum cations, al 3+, and oxygen anions, o. Aluminum And Oxygen Empirical Formula.
From www.youtube.com
How to Balance Al + O2 = Al2O3 YouTube Aluminum And Oxygen Empirical Formula What is the formula of this compound?. Finding the empirical formula of a substance with a percent composition of 52.94% aluminium/aluminum (al), 47.06% oxygen (o). The gemstone sapphire (figure 6.2c) is mostly a compound of aluminum and oxygen that contains aluminum cations, al 3+, and oxygen anions, o 2−. The sodium ion and the sulfur ion; All the remaining transition. Aluminum And Oxygen Empirical Formula.
From www.numerade.com
SOLVED Consider the reaction of aluminium and oxygen. 1. What is the Aluminum And Oxygen Empirical Formula You can determine the empirical formula for this compound (or any compound, for that matter) by finding the mole ratio between. What is the formula of this compound?. The lighter group 3a metals (aluminum, galium and indium), along with scandium and yttrium lose 3 electrons to form [+3] cations. Write the chemical formula for an ionic compound composed of each. Aluminum And Oxygen Empirical Formula.
From www.numerade.com
SOLVED Consider the unbalanced equation for aluminum and oxygen Aluminum And Oxygen Empirical Formula You can determine the empirical formula for this compound (or any compound, for that matter) by finding the mole ratio between. What is the formula of this compound?. The gemstone sapphire (figure 6.2c) is mostly a compound of aluminum and oxygen that contains aluminum cations, al 3+, and oxygen anions, o 2−. The lighter group 3a metals (aluminum, galium and. Aluminum And Oxygen Empirical Formula.
From preparatorychemistry.com
Combustion Analysis Aluminum And Oxygen Empirical Formula Write the chemical formula for an ionic compound composed of each pair of ions. The lighter group 3a metals (aluminum, galium and indium), along with scandium and yttrium lose 3 electrons to form [+3] cations. If you're seeing this message, it means we're having trouble loading external resources on our website. What is the formula of this compound?. The gemstone. Aluminum And Oxygen Empirical Formula.
From www.slideserve.com
PPT Writing Chemical Equations to Symbolize Chemical Reactions Aluminum And Oxygen Empirical Formula The sodium ion and the sulfur ion; If you're seeing this message, it means we're having trouble loading external resources on our website. What is the formula of this compound?. The aluminum ion and the fluoride ion; You can determine the empirical formula for this compound (or any compound, for that matter) by finding the mole ratio between. Write the. Aluminum And Oxygen Empirical Formula.
From www.numerade.com
SOLVED 2. The analysis of a compound shows that it has 52.9 aluminum Aluminum And Oxygen Empirical Formula Write the chemical formula for an ionic compound composed of each pair of ions. All the remaining transition metals form multiple. Finding the empirical formula of a substance with a percent composition of 52.94% aluminium/aluminum (al), 47.06% oxygen (o). The 3+ iron ion and the oxygen ion;. The lighter group 3a metals (aluminum, galium and indium), along with scandium and. Aluminum And Oxygen Empirical Formula.
From www.slideserve.com
PPT EMPIRICAL FORMULA PowerPoint Presentation, free download ID662576 Aluminum And Oxygen Empirical Formula Write the chemical formula for an ionic compound composed of each pair of ions. What is the formula of this compound?. All the remaining transition metals form multiple. Finding the empirical formula of a substance with a percent composition of 52.94% aluminium/aluminum (al), 47.06% oxygen (o). The lighter group 3a metals (aluminum, galium and indium), along with scandium and yttrium. Aluminum And Oxygen Empirical Formula.
From www.numerade.com
SOLVED (Section 1) Empirical Formula Practice What is the empirical Aluminum And Oxygen Empirical Formula The lighter group 3a metals (aluminum, galium and indium), along with scandium and yttrium lose 3 electrons to form [+3] cations. The gemstone sapphire (figure 6.2c) is mostly a compound of aluminum and oxygen that contains aluminum cations, al 3+, and oxygen anions, o 2−. The sodium ion and the sulfur ion; The 3+ iron ion and the oxygen ion;.. Aluminum And Oxygen Empirical Formula.
From www.numerade.com
SOLVED 'An oxide f aluminum is formed by the reaction of 4.151 g of Aluminum And Oxygen Empirical Formula You can determine the empirical formula for this compound (or any compound, for that matter) by finding the mole ratio between. The sodium ion and the sulfur ion; Finding the empirical formula of a substance with a percent composition of 52.94% aluminium/aluminum (al), 47.06% oxygen (o). If you're seeing this message, it means we're having trouble loading external resources on. Aluminum And Oxygen Empirical Formula.
From oxygengasnaraeru.blogspot.com
Oxygen Gas Balanced Equation For Aluminum And Oxygen Gas Aluminum And Oxygen Empirical Formula All the remaining transition metals form multiple. Write the chemical formula for an ionic compound composed of each pair of ions. The lighter group 3a metals (aluminum, galium and indium), along with scandium and yttrium lose 3 electrons to form [+3] cations. Finding the empirical formula of a substance with a percent composition of 52.94% aluminium/aluminum (al), 47.06% oxygen (o).. Aluminum And Oxygen Empirical Formula.
From www.youtube.com
How to Determine the Empirical Formula of a Compound YouTube Aluminum And Oxygen Empirical Formula What is the formula of this compound?. All the remaining transition metals form multiple. The 3+ iron ion and the oxygen ion;. The lighter group 3a metals (aluminum, galium and indium), along with scandium and yttrium lose 3 electrons to form [+3] cations. The sodium ion and the sulfur ion; The gemstone sapphire (figure 6.2c) is mostly a compound of. Aluminum And Oxygen Empirical Formula.
From www.youtube.com
Lewis Dot Structure for Al2O3 (Aluminum Oxide) YouTube Aluminum And Oxygen Empirical Formula The 3+ iron ion and the oxygen ion;. You can determine the empirical formula for this compound (or any compound, for that matter) by finding the mole ratio between. If you're seeing this message, it means we're having trouble loading external resources on our website. Finding the empirical formula of a substance with a percent composition of 52.94% aluminium/aluminum (al),. Aluminum And Oxygen Empirical Formula.