Average Rate Of Flow . Here the shaded cylinder of fluid flows past point p in a. Flow rate q is defined as the volume v flowing past a point in time t. The si unit of flow rate is (m^3)/s, but other rates can be used, such as l/min. Given, , then using the power rule. We can determine the rate of flow by taking the first derivative of the volume equation for the time provided. Flow rate is the volume of fluid per unit time flowing past a point through the area a. Flow rate and velocity are. Determine the volumetric and mass flow rate of a fluid with our flow rate calculator. The relationship tells us that flow rate is directly proportional to both the magnitude of the average velocity (hereafter referred to as the speed) and.
from www.slideserve.com
Flow rate is the volume of fluid per unit time flowing past a point through the area a. Given, , then using the power rule. The relationship tells us that flow rate is directly proportional to both the magnitude of the average velocity (hereafter referred to as the speed) and. Flow rate and velocity are. We can determine the rate of flow by taking the first derivative of the volume equation for the time provided. Determine the volumetric and mass flow rate of a fluid with our flow rate calculator. Here the shaded cylinder of fluid flows past point p in a. The si unit of flow rate is (m^3)/s, but other rates can be used, such as l/min. Flow rate q is defined as the volume v flowing past a point in time t.
PPT Ch 4 Fluids in Motion PowerPoint Presentation, free download ID
Average Rate Of Flow Flow rate q is defined as the volume v flowing past a point in time t. Flow rate and velocity are. Flow rate q is defined as the volume v flowing past a point in time t. Here the shaded cylinder of fluid flows past point p in a. Given, , then using the power rule. The relationship tells us that flow rate is directly proportional to both the magnitude of the average velocity (hereafter referred to as the speed) and. The si unit of flow rate is (m^3)/s, but other rates can be used, such as l/min. Determine the volumetric and mass flow rate of a fluid with our flow rate calculator. We can determine the rate of flow by taking the first derivative of the volume equation for the time provided. Flow rate is the volume of fluid per unit time flowing past a point through the area a.
From thirdspacelearning.com
Flow Rate GCSE Maths Steps, Examples & Worksheet Average Rate Of Flow Flow rate q is defined as the volume v flowing past a point in time t. The relationship tells us that flow rate is directly proportional to both the magnitude of the average velocity (hereafter referred to as the speed) and. Flow rate is the volume of fluid per unit time flowing past a point through the area a. Here. Average Rate Of Flow.
From www.showme.com
Flow rate Science ShowMe Average Rate Of Flow We can determine the rate of flow by taking the first derivative of the volume equation for the time provided. The si unit of flow rate is (m^3)/s, but other rates can be used, such as l/min. Flow rate is the volume of fluid per unit time flowing past a point through the area a. Here the shaded cylinder of. Average Rate Of Flow.
From www.youtube.com
Mass Flow Rate, Volume Flow Rate, Velocity and Cross Sectional Area Average Rate Of Flow Flow rate and velocity are. Here the shaded cylinder of fluid flows past point p in a. The si unit of flow rate is (m^3)/s, but other rates can be used, such as l/min. Flow rate is the volume of fluid per unit time flowing past a point through the area a. Determine the volumetric and mass flow rate of. Average Rate Of Flow.
From www.youtube.com
Difference between Volumetric Flow Rate & Mass Flow Rate Flow Average Rate Of Flow Flow rate q is defined as the volume v flowing past a point in time t. The relationship tells us that flow rate is directly proportional to both the magnitude of the average velocity (hereafter referred to as the speed) and. Given, , then using the power rule. The si unit of flow rate is (m^3)/s, but other rates can. Average Rate Of Flow.
From www.researchgate.net
Result for average rate of flow versus average density The Figure shows Average Rate Of Flow The relationship tells us that flow rate is directly proportional to both the magnitude of the average velocity (hereafter referred to as the speed) and. The si unit of flow rate is (m^3)/s, but other rates can be used, such as l/min. Flow rate and velocity are. Here the shaded cylinder of fluid flows past point p in a. We. Average Rate Of Flow.
From fullwallpaper.neocities.org
Flow Rate Equals Velocity Times Area Average Rate Of Flow Determine the volumetric and mass flow rate of a fluid with our flow rate calculator. The si unit of flow rate is (m^3)/s, but other rates can be used, such as l/min. Flow rate is the volume of fluid per unit time flowing past a point through the area a. Here the shaded cylinder of fluid flows past point p. Average Rate Of Flow.
From www.tessshebaylo.com
Equation Relating Mass Flow Rate To Pressure Drop Tessshebaylo Average Rate Of Flow Determine the volumetric and mass flow rate of a fluid with our flow rate calculator. We can determine the rate of flow by taking the first derivative of the volume equation for the time provided. Flow rate is the volume of fluid per unit time flowing past a point through the area a. Here the shaded cylinder of fluid flows. Average Rate Of Flow.
From fexxtxcxxz.blogspot.com
How To Calculate Mass Flow Rate Of Fuel The air mass flow rate (35.3 Average Rate Of Flow Determine the volumetric and mass flow rate of a fluid with our flow rate calculator. Flow rate is the volume of fluid per unit time flowing past a point through the area a. We can determine the rate of flow by taking the first derivative of the volume equation for the time provided. Here the shaded cylinder of fluid flows. Average Rate Of Flow.
From fullwallpaper.neocities.org
Flow Rate Equals Velocity Times Area Average Rate Of Flow Determine the volumetric and mass flow rate of a fluid with our flow rate calculator. We can determine the rate of flow by taking the first derivative of the volume equation for the time provided. The relationship tells us that flow rate is directly proportional to both the magnitude of the average velocity (hereafter referred to as the speed) and.. Average Rate Of Flow.
From www.slideserve.com
PPT Chapter 2 Processes and Process Variables PowerPoint Presentation Average Rate Of Flow Given, , then using the power rule. We can determine the rate of flow by taking the first derivative of the volume equation for the time provided. The si unit of flow rate is (m^3)/s, but other rates can be used, such as l/min. Flow rate and velocity are. Flow rate q is defined as the volume v flowing past. Average Rate Of Flow.
From www.chegg.com
Solved The flow rate on a given freeway segment is 1200 vph Average Rate Of Flow Flow rate is the volume of fluid per unit time flowing past a point through the area a. Given, , then using the power rule. The si unit of flow rate is (m^3)/s, but other rates can be used, such as l/min. The relationship tells us that flow rate is directly proportional to both the magnitude of the average velocity. Average Rate Of Flow.
From harisequation.blogspot.com
fluid mechanics basic equation VOLUME FLOW RATE Average Rate Of Flow We can determine the rate of flow by taking the first derivative of the volume equation for the time provided. Flow rate is the volume of fluid per unit time flowing past a point through the area a. Flow rate q is defined as the volume v flowing past a point in time t. The relationship tells us that flow. Average Rate Of Flow.
From thirdspacelearning.com
Flow Rate GCSE Maths Steps, Examples & Worksheet Average Rate Of Flow The si unit of flow rate is (m^3)/s, but other rates can be used, such as l/min. Flow rate and velocity are. Here the shaded cylinder of fluid flows past point p in a. The relationship tells us that flow rate is directly proportional to both the magnitude of the average velocity (hereafter referred to as the speed) and. Flow. Average Rate Of Flow.
From www.tessshebaylo.com
Flow Rate Equation Tessshebaylo Average Rate Of Flow Determine the volumetric and mass flow rate of a fluid with our flow rate calculator. The si unit of flow rate is (m^3)/s, but other rates can be used, such as l/min. Flow rate is the volume of fluid per unit time flowing past a point through the area a. Flow rate and velocity are. Given, , then using the. Average Rate Of Flow.
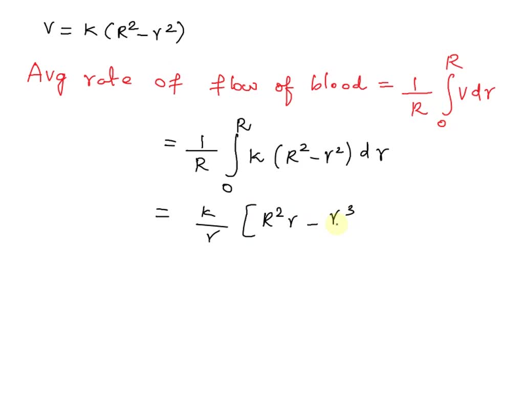
From www.numerade.com
SOLVED The velocity of the flow of blood at a distance from the Average Rate Of Flow Flow rate q is defined as the volume v flowing past a point in time t. Here the shaded cylinder of fluid flows past point p in a. Flow rate and velocity are. The si unit of flow rate is (m^3)/s, but other rates can be used, such as l/min. Flow rate is the volume of fluid per unit time. Average Rate Of Flow.
From www.chegg.com
Solved Given Flow of fluid through a pipe, the velocity Average Rate Of Flow Determine the volumetric and mass flow rate of a fluid with our flow rate calculator. We can determine the rate of flow by taking the first derivative of the volume equation for the time provided. Flow rate q is defined as the volume v flowing past a point in time t. Here the shaded cylinder of fluid flows past point. Average Rate Of Flow.
From www.youtube.com
Calculate Average Rate and Instantaneous Rate of Reaction using Graph Average Rate Of Flow We can determine the rate of flow by taking the first derivative of the volume equation for the time provided. The si unit of flow rate is (m^3)/s, but other rates can be used, such as l/min. The relationship tells us that flow rate is directly proportional to both the magnitude of the average velocity (hereafter referred to as the. Average Rate Of Flow.
From www.tessshebaylo.com
Mass Flow Rate Equation With Volumetric Tessshebaylo Average Rate Of Flow We can determine the rate of flow by taking the first derivative of the volume equation for the time provided. The si unit of flow rate is (m^3)/s, but other rates can be used, such as l/min. Given, , then using the power rule. Here the shaded cylinder of fluid flows past point p in a. Flow rate q is. Average Rate Of Flow.
From www.researchgate.net
(PDF) Modeling and Calculation of Flow Filter Average Rate Of Flow The relationship tells us that flow rate is directly proportional to both the magnitude of the average velocity (hereafter referred to as the speed) and. Flow rate q is defined as the volume v flowing past a point in time t. The si unit of flow rate is (m^3)/s, but other rates can be used, such as l/min. Here the. Average Rate Of Flow.
From zeroinstrument.com
The definition of flow rate Just Measure it Average Rate Of Flow We can determine the rate of flow by taking the first derivative of the volume equation for the time provided. Flow rate q is defined as the volume v flowing past a point in time t. Given, , then using the power rule. Here the shaded cylinder of fluid flows past point p in a. The si unit of flow. Average Rate Of Flow.
From mungfali.com
Calculate IV Flow Rate Average Rate Of Flow Flow rate is the volume of fluid per unit time flowing past a point through the area a. Here the shaded cylinder of fluid flows past point p in a. Determine the volumetric and mass flow rate of a fluid with our flow rate calculator. The relationship tells us that flow rate is directly proportional to both the magnitude of. Average Rate Of Flow.
From study.com
Mass & Volume Flow Rate Overview & Equation Lesson Average Rate Of Flow Determine the volumetric and mass flow rate of a fluid with our flow rate calculator. Given, , then using the power rule. We can determine the rate of flow by taking the first derivative of the volume equation for the time provided. Flow rate and velocity are. Here the shaded cylinder of fluid flows past point p in a. Flow. Average Rate Of Flow.
From www.slideserve.com
PPT Ch 4 Fluids in Motion PowerPoint Presentation, free download ID Average Rate Of Flow The relationship tells us that flow rate is directly proportional to both the magnitude of the average velocity (hereafter referred to as the speed) and. Determine the volumetric and mass flow rate of a fluid with our flow rate calculator. Flow rate q is defined as the volume v flowing past a point in time t. The si unit of. Average Rate Of Flow.
From happynessvest.blogspot.com
peak flow normal range Happyness Vest Average Rate Of Flow Flow rate and velocity are. Here the shaded cylinder of fluid flows past point p in a. The si unit of flow rate is (m^3)/s, but other rates can be used, such as l/min. Given, , then using the power rule. Determine the volumetric and mass flow rate of a fluid with our flow rate calculator. We can determine the. Average Rate Of Flow.
From engineerexcel.com
Pressure Flow Rate Equation A Complete Guide EngineerExcel Average Rate Of Flow We can determine the rate of flow by taking the first derivative of the volume equation for the time provided. Flow rate q is defined as the volume v flowing past a point in time t. Determine the volumetric and mass flow rate of a fluid with our flow rate calculator. Given, , then using the power rule. The si. Average Rate Of Flow.
From www.chegg.com
Solved Average rate of return method, net present value Average Rate Of Flow Determine the volumetric and mass flow rate of a fluid with our flow rate calculator. Flow rate is the volume of fluid per unit time flowing past a point through the area a. We can determine the rate of flow by taking the first derivative of the volume equation for the time provided. Flow rate and velocity are. Here the. Average Rate Of Flow.
From www.researchgate.net
(PDF) Modeling and Calculation of Flow Filter Average Rate Of Flow Determine the volumetric and mass flow rate of a fluid with our flow rate calculator. Flow rate is the volume of fluid per unit time flowing past a point through the area a. The si unit of flow rate is (m^3)/s, but other rates can be used, such as l/min. Flow rate q is defined as the volume v flowing. Average Rate Of Flow.
From learnphysics-dhruv.blogspot.com
Physics Learn RATE OF FLOW OF WATER physics practical GSEB std 11 & 12 Average Rate Of Flow The relationship tells us that flow rate is directly proportional to both the magnitude of the average velocity (hereafter referred to as the speed) and. Flow rate is the volume of fluid per unit time flowing past a point through the area a. We can determine the rate of flow by taking the first derivative of the volume equation for. Average Rate Of Flow.
From www.slideserve.com
PPT Ch 4 Fluids in Motion PowerPoint Presentation, free download ID Average Rate Of Flow The relationship tells us that flow rate is directly proportional to both the magnitude of the average velocity (hereafter referred to as the speed) and. Flow rate is the volume of fluid per unit time flowing past a point through the area a. We can determine the rate of flow by taking the first derivative of the volume equation for. Average Rate Of Flow.
From www.coursehero.com
[Solved] ENGINEERING FLUID MECHANICS FLOW RATE 1.) A pipe whose Average Rate Of Flow The relationship tells us that flow rate is directly proportional to both the magnitude of the average velocity (hereafter referred to as the speed) and. Flow rate is the volume of fluid per unit time flowing past a point through the area a. Flow rate q is defined as the volume v flowing past a point in time t. Here. Average Rate Of Flow.
From www.youtube.com
Water Resources Hydrograph Flow Rate in Hydrology YouTube Average Rate Of Flow The relationship tells us that flow rate is directly proportional to both the magnitude of the average velocity (hereafter referred to as the speed) and. Here the shaded cylinder of fluid flows past point p in a. Determine the volumetric and mass flow rate of a fluid with our flow rate calculator. The si unit of flow rate is (m^3)/s,. Average Rate Of Flow.
From www.slideshare.net
Pressure vs rate of flow Average Rate Of Flow Given, , then using the power rule. Here the shaded cylinder of fluid flows past point p in a. Determine the volumetric and mass flow rate of a fluid with our flow rate calculator. The relationship tells us that flow rate is directly proportional to both the magnitude of the average velocity (hereafter referred to as the speed) and. We. Average Rate Of Flow.
From mmkrvpjeyb.blogspot.com
How To Calculate Mass Flow Rate Of Refrigerant Problem 10.032 si an Average Rate Of Flow Determine the volumetric and mass flow rate of a fluid with our flow rate calculator. Flow rate q is defined as the volume v flowing past a point in time t. The relationship tells us that flow rate is directly proportional to both the magnitude of the average velocity (hereafter referred to as the speed) and. The si unit of. Average Rate Of Flow.
From www.slideserve.com
PPT Chapter 8 Aggregate Planning in the Supply Chain PowerPoint Average Rate Of Flow The si unit of flow rate is (m^3)/s, but other rates can be used, such as l/min. Flow rate and velocity are. We can determine the rate of flow by taking the first derivative of the volume equation for the time provided. Here the shaded cylinder of fluid flows past point p in a. Given, , then using the power. Average Rate Of Flow.
From automationforum.co
Pitot tube flow velocity calculator Average Rate Of Flow The si unit of flow rate is (m^3)/s, but other rates can be used, such as l/min. Determine the volumetric and mass flow rate of a fluid with our flow rate calculator. The relationship tells us that flow rate is directly proportional to both the magnitude of the average velocity (hereafter referred to as the speed) and. Flow rate and. Average Rate Of Flow.