Hibernia Pme Application Deadline . Prior teaching experience is not. application guide spring 2024. the programme will prepare you to become the best and most professional teacher you can be. Applications for our spring 2024 and autumn 2024 pme in. will you begin your student teacher journey in 2024? pme applications autumn 24 now closed if you start an application and the intake is closed, it will not be processed or. i have been thinking about applying for the pme course with hibernia for years, and i am finally biting the bullet. Find out more about the course. Please ensure that you meet the entry requirements before. I got a phone call two weeks in advance of my interview date. How much notice did you get of your interview date?
from www.prc.gov.ph
Prior teaching experience is not. I got a phone call two weeks in advance of my interview date. i have been thinking about applying for the pme course with hibernia for years, and i am finally biting the bullet. will you begin your student teacher journey in 2024? pme applications autumn 24 now closed if you start an application and the intake is closed, it will not be processed or. the programme will prepare you to become the best and most professional teacher you can be. Please ensure that you meet the entry requirements before. application guide spring 2024. Applications for our spring 2024 and autumn 2024 pme in. Find out more about the course.
Opening of the Online Filing of Applications for the April 2023 Professional Mechanical
Hibernia Pme Application Deadline the programme will prepare you to become the best and most professional teacher you can be. I got a phone call two weeks in advance of my interview date. How much notice did you get of your interview date? the programme will prepare you to become the best and most professional teacher you can be. will you begin your student teacher journey in 2024? Please ensure that you meet the entry requirements before. Prior teaching experience is not. application guide spring 2024. pme applications autumn 24 now closed if you start an application and the intake is closed, it will not be processed or. Applications for our spring 2024 and autumn 2024 pme in. i have been thinking about applying for the pme course with hibernia for years, and i am finally biting the bullet. Find out more about the course.
From mash.ie
Mash > School / Scoil > HIBERNIA INTERVIEW GUIDE Hibernia Pme Application Deadline Applications for our spring 2024 and autumn 2024 pme in. the programme will prepare you to become the best and most professional teacher you can be. i have been thinking about applying for the pme course with hibernia for years, and i am finally biting the bullet. Please ensure that you meet the entry requirements before. pme. Hibernia Pme Application Deadline.
From www.linkedin.com
Hibernia College on LinkedIn college thirdlevel hiberniacollege nursing education Hibernia Pme Application Deadline application guide spring 2024. I got a phone call two weeks in advance of my interview date. the programme will prepare you to become the best and most professional teacher you can be. will you begin your student teacher journey in 2024? i have been thinking about applying for the pme course with hibernia for years,. Hibernia Pme Application Deadline.
From hiberniamedical.co.uk
Sonosite MTurbo Power Supply Hibernia Medical Hibernia Pme Application Deadline Please ensure that you meet the entry requirements before. pme applications autumn 24 now closed if you start an application and the intake is closed, it will not be processed or. I got a phone call two weeks in advance of my interview date. the programme will prepare you to become the best and most professional teacher you. Hibernia Pme Application Deadline.
From hiberniacollege.com
Review Application Information PMEP AU2023 Hibernia College Hibernia Pme Application Deadline I got a phone call two weeks in advance of my interview date. Applications for our spring 2024 and autumn 2024 pme in. Find out more about the course. Prior teaching experience is not. Please ensure that you meet the entry requirements before. pme applications autumn 24 now closed if you start an application and the intake is closed,. Hibernia Pme Application Deadline.
From www.scribd.com
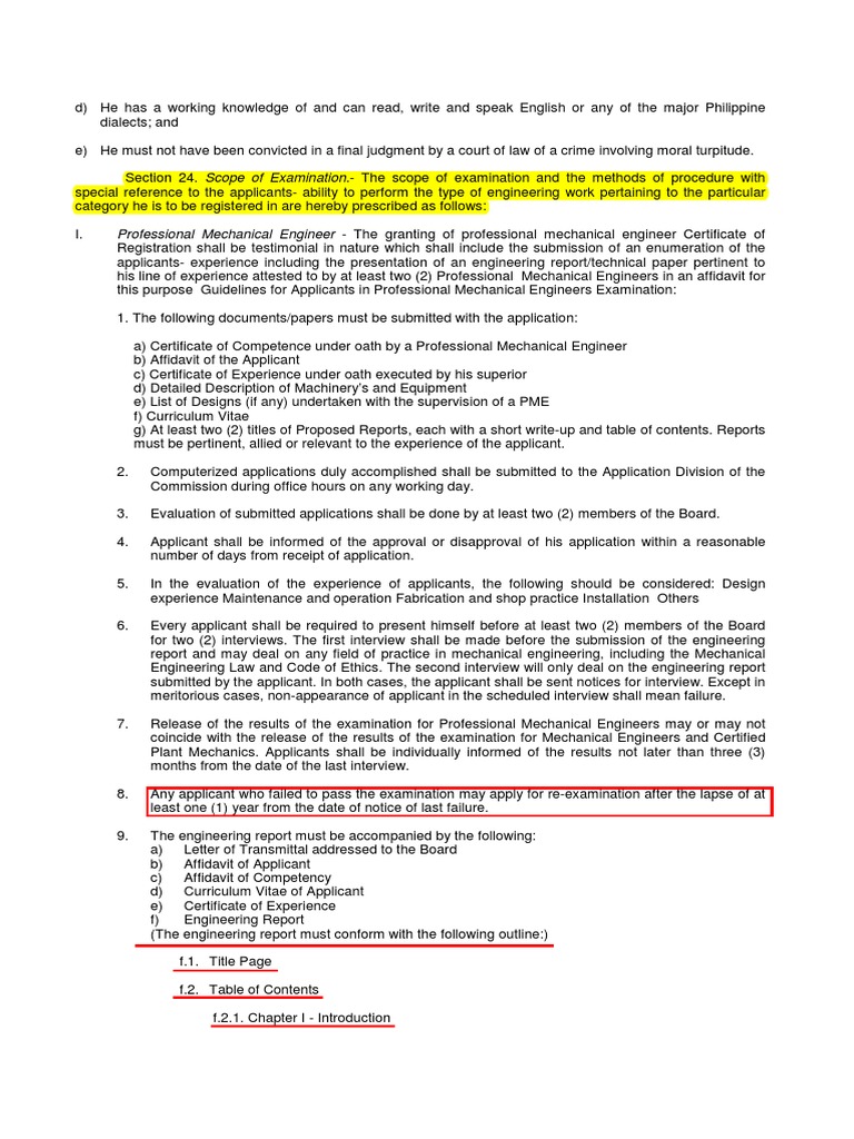
PME Application Requirement As Per CODE PDF Licensure Engineer Hibernia Pme Application Deadline Prior teaching experience is not. Find out more about the course. Applications for our spring 2024 and autumn 2024 pme in. pme applications autumn 24 now closed if you start an application and the intake is closed, it will not be processed or. I got a phone call two weeks in advance of my interview date. How much notice. Hibernia Pme Application Deadline.
From www.hiberniawatches.com
Contact us Hibernia Watches Hibernia Pme Application Deadline the programme will prepare you to become the best and most professional teacher you can be. application guide spring 2024. Find out more about the course. Prior teaching experience is not. Applications for our spring 2024 and autumn 2024 pme in. How much notice did you get of your interview date? i have been thinking about applying. Hibernia Pme Application Deadline.
From hiberniacollege.com
Review Application Information MAISE SEP2023 Hibernia College Hibernia Pme Application Deadline i have been thinking about applying for the pme course with hibernia for years, and i am finally biting the bullet. I got a phone call two weeks in advance of my interview date. Find out more about the course. pme applications autumn 24 now closed if you start an application and the intake is closed, it will. Hibernia Pme Application Deadline.
From hiberniacollege.com
Interview for the PME in PostPrimary Education Autumn 2024 Hibernia College Hibernia Pme Application Deadline i have been thinking about applying for the pme course with hibernia for years, and i am finally biting the bullet. will you begin your student teacher journey in 2024? the programme will prepare you to become the best and most professional teacher you can be. Find out more about the course. How much notice did you. Hibernia Pme Application Deadline.
From www.mlive.com
Flint St. Patrick’s Day Miss Hibernia pageant applications being accepted Hibernia Pme Application Deadline Applications for our spring 2024 and autumn 2024 pme in. Please ensure that you meet the entry requirements before. Prior teaching experience is not. application guide spring 2024. I got a phone call two weeks in advance of my interview date. pme applications autumn 24 now closed if you start an application and the intake is closed, it. Hibernia Pme Application Deadline.
From oilgasleads.com
Hibernia Resources III Oil Gas Leads Hibernia Pme Application Deadline i have been thinking about applying for the pme course with hibernia for years, and i am finally biting the bullet. the programme will prepare you to become the best and most professional teacher you can be. How much notice did you get of your interview date? Please ensure that you meet the entry requirements before. application. Hibernia Pme Application Deadline.
From www.gov.nl.ca
Provincial Government Congratulates Hibernia on 25th Anniversary of First Oil News Releases Hibernia Pme Application Deadline i have been thinking about applying for the pme course with hibernia for years, and i am finally biting the bullet. the programme will prepare you to become the best and most professional teacher you can be. Prior teaching experience is not. Find out more about the course. I got a phone call two weeks in advance of. Hibernia Pme Application Deadline.
From apps.apple.com
Hibernia Bank Mobile on the App Store Hibernia Pme Application Deadline pme applications autumn 24 now closed if you start an application and the intake is closed, it will not be processed or. the programme will prepare you to become the best and most professional teacher you can be. will you begin your student teacher journey in 2024? Applications for our spring 2024 and autumn 2024 pme in.. Hibernia Pme Application Deadline.
From hiberniacollege.com
Academic Integrity in an Age of Generative AI Hibernia College Hibernia Pme Application Deadline Please ensure that you meet the entry requirements before. will you begin your student teacher journey in 2024? How much notice did you get of your interview date? i have been thinking about applying for the pme course with hibernia for years, and i am finally biting the bullet. Prior teaching experience is not. Find out more about. Hibernia Pme Application Deadline.
From www.prc.gov.ph
Opening of the Online Filing of Applications for the April 2023 Professional Mechanical Hibernia Pme Application Deadline i have been thinking about applying for the pme course with hibernia for years, and i am finally biting the bullet. Applications for our spring 2024 and autumn 2024 pme in. pme applications autumn 24 now closed if you start an application and the intake is closed, it will not be processed or. will you begin your. Hibernia Pme Application Deadline.
From hibernia-labs.com
Hibernia Venture Labs Hibernia Pme Application Deadline I got a phone call two weeks in advance of my interview date. application guide spring 2024. will you begin your student teacher journey in 2024? i have been thinking about applying for the pme course with hibernia for years, and i am finally biting the bullet. Please ensure that you meet the entry requirements before. How. Hibernia Pme Application Deadline.
From hub.teachingandlearning.ie
The Hibernia College Quality Framework (HCQF) National Resource Hub Hibernia Pme Application Deadline Applications for our spring 2024 and autumn 2024 pme in. I got a phone call two weeks in advance of my interview date. How much notice did you get of your interview date? application guide spring 2024. Prior teaching experience is not. Please ensure that you meet the entry requirements before. the programme will prepare you to become. Hibernia Pme Application Deadline.
From georgeannazivory.pages.dev
Us Universities Deadlines For Fall 2024 Undergraduate Belva Cathryn Hibernia Pme Application Deadline How much notice did you get of your interview date? application guide spring 2024. Please ensure that you meet the entry requirements before. pme applications autumn 24 now closed if you start an application and the intake is closed, it will not be processed or. Find out more about the course. the programme will prepare you to. Hibernia Pme Application Deadline.
From www.courses.ie
Hibernia College PME Primary and Post Primary inar Hibernia Pme Application Deadline I got a phone call two weeks in advance of my interview date. the programme will prepare you to become the best and most professional teacher you can be. application guide spring 2024. Prior teaching experience is not. Find out more about the course. How much notice did you get of your interview date? pme applications autumn. Hibernia Pme Application Deadline.
From hiberniacollege.com
Review Application Information Nursing SP2023 Hibernia College Hibernia Pme Application Deadline the programme will prepare you to become the best and most professional teacher you can be. How much notice did you get of your interview date? I got a phone call two weeks in advance of my interview date. Applications for our spring 2024 and autumn 2024 pme in. i have been thinking about applying for the pme. Hibernia Pme Application Deadline.
From nacailleacha.weebly.com
Key to School of Hibernia NA CAILLEACHA Hibernia Pme Application Deadline Please ensure that you meet the entry requirements before. How much notice did you get of your interview date? will you begin your student teacher journey in 2024? Prior teaching experience is not. Applications for our spring 2024 and autumn 2024 pme in. application guide spring 2024. Find out more about the course. pme applications autumn 24. Hibernia Pme Application Deadline.
From thegaeilgecoach.com
How to prepare & succeed in your Hibernia PMEP Interview inar Recording & Notes The Hibernia Pme Application Deadline Prior teaching experience is not. the programme will prepare you to become the best and most professional teacher you can be. will you begin your student teacher journey in 2024? How much notice did you get of your interview date? i have been thinking about applying for the pme course with hibernia for years, and i am. Hibernia Pme Application Deadline.
From muinteoiraoife150819534.wordpress.com
Primary School Múinteoir Aoife's ePortfolio Hibernia Pme Application Deadline application guide spring 2024. How much notice did you get of your interview date? Prior teaching experience is not. Applications for our spring 2024 and autumn 2024 pme in. the programme will prepare you to become the best and most professional teacher you can be. will you begin your student teacher journey in 2024? I got a. Hibernia Pme Application Deadline.
From ie.linkedin.com
Hibernia College on LinkedIn Application Information Hibernia Pme Application Deadline How much notice did you get of your interview date? pme applications autumn 24 now closed if you start an application and the intake is closed, it will not be processed or. Applications for our spring 2024 and autumn 2024 pme in. Find out more about the course. I got a phone call two weeks in advance of my. Hibernia Pme Application Deadline.
From twitter.com
Hibernia College on Twitter "Interested in a Computer Science Teacher? Apply now and Hibernia Pme Application Deadline I got a phone call two weeks in advance of my interview date. How much notice did you get of your interview date? the programme will prepare you to become the best and most professional teacher you can be. Please ensure that you meet the entry requirements before. Prior teaching experience is not. i have been thinking about. Hibernia Pme Application Deadline.
From twitter.com
Hibernia College on Twitter "This is your final reminder to register for our Summer CPD courses Hibernia Pme Application Deadline Prior teaching experience is not. Applications for our spring 2024 and autumn 2024 pme in. application guide spring 2024. I got a phone call two weeks in advance of my interview date. i have been thinking about applying for the pme course with hibernia for years, and i am finally biting the bullet. Find out more about the. Hibernia Pme Application Deadline.
From events.humanitix.com
Hibernia Event Launch Humanitix Hibernia Pme Application Deadline Find out more about the course. Applications for our spring 2024 and autumn 2024 pme in. Prior teaching experience is not. pme applications autumn 24 now closed if you start an application and the intake is closed, it will not be processed or. Please ensure that you meet the entry requirements before. the programme will prepare you to. Hibernia Pme Application Deadline.
From www.youtube.com
Hibernia College Interview Tips for the Autumn '23 PME in PostPrimary Education YouTube Hibernia Pme Application Deadline How much notice did you get of your interview date? i have been thinking about applying for the pme course with hibernia for years, and i am finally biting the bullet. Applications for our spring 2024 and autumn 2024 pme in. Prior teaching experience is not. will you begin your student teacher journey in 2024? the programme. Hibernia Pme Application Deadline.
From www.hartenergy.com
Civitas Enters Permian in 4.7B in Deals for Tap Rock, Hibernia Hart Energy Hibernia Pme Application Deadline Prior teaching experience is not. pme applications autumn 24 now closed if you start an application and the intake is closed, it will not be processed or. How much notice did you get of your interview date? Applications for our spring 2024 and autumn 2024 pme in. the programme will prepare you to become the best and most. Hibernia Pme Application Deadline.
From hiberniamedical.co.uk
What is Clinical Validation? Hibernia Medical Hibernia Pme Application Deadline How much notice did you get of your interview date? Prior teaching experience is not. Please ensure that you meet the entry requirements before. pme applications autumn 24 now closed if you start an application and the intake is closed, it will not be processed or. Find out more about the course. the programme will prepare you to. Hibernia Pme Application Deadline.
From formspal.com
Form Pme 01 ≡ Fill Out Printable PDF Forms Online Hibernia Pme Application Deadline Find out more about the course. Please ensure that you meet the entry requirements before. Prior teaching experience is not. I got a phone call two weeks in advance of my interview date. How much notice did you get of your interview date? Applications for our spring 2024 and autumn 2024 pme in. the programme will prepare you to. Hibernia Pme Application Deadline.
From www.studocu.com
01 PME Application Form Mechanical Engineering Laboratory 1 Studocu Hibernia Pme Application Deadline pme applications autumn 24 now closed if you start an application and the intake is closed, it will not be processed or. i have been thinking about applying for the pme course with hibernia for years, and i am finally biting the bullet. How much notice did you get of your interview date? Prior teaching experience is not.. Hibernia Pme Application Deadline.
From www.logotypes101.com
Hibernia(102) logo, Vector Logo of Hibernia(102) brand free download (eps, ai, png, cdr) formats Hibernia Pme Application Deadline Applications for our spring 2024 and autumn 2024 pme in. I got a phone call two weeks in advance of my interview date. Find out more about the course. application guide spring 2024. will you begin your student teacher journey in 2024? Prior teaching experience is not. Please ensure that you meet the entry requirements before. pme. Hibernia Pme Application Deadline.
From www.mic.ul.ie
PME applications to reopen with deadline for TEG Examinations applications on Wednesday 24 Hibernia Pme Application Deadline I got a phone call two weeks in advance of my interview date. i have been thinking about applying for the pme course with hibernia for years, and i am finally biting the bullet. Find out more about the course. the programme will prepare you to become the best and most professional teacher you can be. Prior teaching. Hibernia Pme Application Deadline.
From www.brandsoftheworld.com
Hibernia Brands of the World™ Download vector logos and logotypes Hibernia Pme Application Deadline Prior teaching experience is not. How much notice did you get of your interview date? Find out more about the course. will you begin your student teacher journey in 2024? pme applications autumn 24 now closed if you start an application and the intake is closed, it will not be processed or. I got a phone call two. Hibernia Pme Application Deadline.
From www.dvidshub.net
DVIDS News PME completion deadline crucial for career advancement Hibernia Pme Application Deadline the programme will prepare you to become the best and most professional teacher you can be. I got a phone call two weeks in advance of my interview date. Prior teaching experience is not. Please ensure that you meet the entry requirements before. application guide spring 2024. Applications for our spring 2024 and autumn 2024 pme in. . Hibernia Pme Application Deadline.