Bread And Pastry Summative Test Grade 11 . This document appears to be a test for students taking a bread. The test covers topics like identifying ingredients like flour and sugar, tools used for measuring, mixing, and baking, baking processes like creaming and folding, and specific baked. It is here to help you master the nature of bread & pastry production. This will be the source of information that will enable you to acquire the knowledge and skills in bread and pastry production. The scope of this module permits it to be used in many different learning. This document contains a 25 question summative test on bread and pastry for grade 11 students. Quiz your students on final summative test in bpp(4th q) practice problems using our fun classroom quiz game quizalize and personalize. The test covers topics like dough types (pâte sablée),. The test is assessing students' understanding of fundamental concepts in baking. Write your answer in your notebook. A hollow dish where ingredients. Identify the different baking tools and equipment needed in preparing and producing bakery products.
from www.studocu.com
It is here to help you master the nature of bread & pastry production. A hollow dish where ingredients. The test covers topics like identifying ingredients like flour and sugar, tools used for measuring, mixing, and baking, baking processes like creaming and folding, and specific baked. The test covers topics like dough types (pâte sablée),. The test is assessing students' understanding of fundamental concepts in baking. This will be the source of information that will enable you to acquire the knowledge and skills in bread and pastry production. This document appears to be a test for students taking a bread. Quiz your students on final summative test in bpp(4th q) practice problems using our fun classroom quiz game quizalize and personalize. This document contains a 25 question summative test on bread and pastry for grade 11 students. The scope of this module permits it to be used in many different learning.
Grade11TVL Bread PastrySLM1 Bread and Pastry Production Quarter
Bread And Pastry Summative Test Grade 11 The test covers topics like dough types (pâte sablée),. The scope of this module permits it to be used in many different learning. Identify the different baking tools and equipment needed in preparing and producing bakery products. It is here to help you master the nature of bread & pastry production. Write your answer in your notebook. Quiz your students on final summative test in bpp(4th q) practice problems using our fun classroom quiz game quizalize and personalize. The test covers topics like dough types (pâte sablée),. A hollow dish where ingredients. This will be the source of information that will enable you to acquire the knowledge and skills in bread and pastry production. This document appears to be a test for students taking a bread. The test covers topics like identifying ingredients like flour and sugar, tools used for measuring, mixing, and baking, baking processes like creaming and folding, and specific baked. This document contains a 25 question summative test on bread and pastry for grade 11 students. The test is assessing students' understanding of fundamental concepts in baking.
From www.scribd.com
Bread and Pastry Production PDF Flour Breads Bread And Pastry Summative Test Grade 11 The scope of this module permits it to be used in many different learning. This document contains a 25 question summative test on bread and pastry for grade 11 students. This will be the source of information that will enable you to acquire the knowledge and skills in bread and pastry production. It is here to help you master the. Bread And Pastry Summative Test Grade 11.
From www.vrogue.co
Tle Grade 11 Bread And Pastry Detailed Lesson Plan Fi vrogue.co Bread And Pastry Summative Test Grade 11 Quiz your students on final summative test in bpp(4th q) practice problems using our fun classroom quiz game quizalize and personalize. Write your answer in your notebook. This will be the source of information that will enable you to acquire the knowledge and skills in bread and pastry production. This document contains a 25 question summative test on bread and. Bread And Pastry Summative Test Grade 11.
From www.studocu.com
Grade11TVL Bread PastrySLM1 Bread and Pastry Production Quarter Bread And Pastry Summative Test Grade 11 The test covers topics like identifying ingredients like flour and sugar, tools used for measuring, mixing, and baking, baking processes like creaming and folding, and specific baked. Write your answer in your notebook. A hollow dish where ingredients. This will be the source of information that will enable you to acquire the knowledge and skills in bread and pastry production.. Bread And Pastry Summative Test Grade 11.
From www.studocu.com
571175534 Summative Test in Bpp 7 SUMMATIVE TEST In TLEBREAD AND Bread And Pastry Summative Test Grade 11 The test is assessing students' understanding of fundamental concepts in baking. This document contains a 25 question summative test on bread and pastry for grade 11 students. This document appears to be a test for students taking a bread. This will be the source of information that will enable you to acquire the knowledge and skills in bread and pastry. Bread And Pastry Summative Test Grade 11.
From www.scribd.com
Detailed Lesson Plan in Bread and Pastry 11 PDF Baking Cookware Bread And Pastry Summative Test Grade 11 A hollow dish where ingredients. It is here to help you master the nature of bread & pastry production. Identify the different baking tools and equipment needed in preparing and producing bakery products. Write your answer in your notebook. The test covers topics like dough types (pâte sablée),. This document appears to be a test for students taking a bread.. Bread And Pastry Summative Test Grade 11.
From www.vrogue.co
Tle Grade 11 Bread And Pastry Detailed Lesson Plan Fi vrogue.co Bread And Pastry Summative Test Grade 11 The test covers topics like identifying ingredients like flour and sugar, tools used for measuring, mixing, and baking, baking processes like creaming and folding, and specific baked. The test covers topics like dough types (pâte sablée),. This document contains a 25 question summative test on bread and pastry for grade 11 students. This will be the source of information that. Bread And Pastry Summative Test Grade 11.
From www.scribd.com
Q1M1 Grade11TvlBreadPastrySlm2 PDF Flour Breads Bread And Pastry Summative Test Grade 11 This document contains a 25 question summative test on bread and pastry for grade 11 students. This document appears to be a test for students taking a bread. Write your answer in your notebook. Quiz your students on final summative test in bpp(4th q) practice problems using our fun classroom quiz game quizalize and personalize. The test covers topics like. Bread And Pastry Summative Test Grade 11.
From www.studocu.com
Bread AND Pstry WEEK 4 BREAD AND PASTRY PRODUCTION GRADE 11 QUARTER Bread And Pastry Summative Test Grade 11 It is here to help you master the nature of bread & pastry production. The test covers topics like identifying ingredients like flour and sugar, tools used for measuring, mixing, and baking, baking processes like creaming and folding, and specific baked. Quiz your students on final summative test in bpp(4th q) practice problems using our fun classroom quiz game quizalize. Bread And Pastry Summative Test Grade 11.
From www.slideshare.net
K to12breadandpastrylearningmodule (1) Bread And Pastry Summative Test Grade 11 A hollow dish where ingredients. Write your answer in your notebook. This will be the source of information that will enable you to acquire the knowledge and skills in bread and pastry production. The test covers topics like dough types (pâte sablée),. This document contains a 25 question summative test on bread and pastry for grade 11 students. Identify the. Bread And Pastry Summative Test Grade 11.
From www.studocu.com
Bread and Pastry Production Module 3 Bread and Pastry Production Bread And Pastry Summative Test Grade 11 Identify the different baking tools and equipment needed in preparing and producing bakery products. The test covers topics like dough types (pâte sablée),. Quiz your students on final summative test in bpp(4th q) practice problems using our fun classroom quiz game quizalize and personalize. The test is assessing students' understanding of fundamental concepts in baking. This document appears to be. Bread And Pastry Summative Test Grade 11.
From www.studocu.com
Grade 11 tvl bread and pastry production 11 BREAD AND PASTRY Bread And Pastry Summative Test Grade 11 Identify the different baking tools and equipment needed in preparing and producing bakery products. This document appears to be a test for students taking a bread. The test covers topics like dough types (pâte sablée),. The test covers topics like identifying ingredients like flour and sugar, tools used for measuring, mixing, and baking, baking processes like creaming and folding, and. Bread And Pastry Summative Test Grade 11.
From www.vrogue.co
Smaw 11 Q1 W1 Sample Lesson Plan Grade 11 Daily Lesso vrogue.co Bread And Pastry Summative Test Grade 11 The test is assessing students' understanding of fundamental concepts in baking. It is here to help you master the nature of bread & pastry production. The scope of this module permits it to be used in many different learning. This document appears to be a test for students taking a bread. Quiz your students on final summative test in bpp(4th. Bread And Pastry Summative Test Grade 11.
From www.slideshare.net
Lesson Plan Bread & Pastry SUMMATIVE 1ST.pptx Bread And Pastry Summative Test Grade 11 A hollow dish where ingredients. The test covers topics like dough types (pâte sablée),. This document contains a 25 question summative test on bread and pastry for grade 11 students. This will be the source of information that will enable you to acquire the knowledge and skills in bread and pastry production. This document appears to be a test for. Bread And Pastry Summative Test Grade 11.
From www.scribd.com
First Summative Test in Bread and Pastry Production 12 PDF Dough Bread And Pastry Summative Test Grade 11 This document appears to be a test for students taking a bread. The test covers topics like identifying ingredients like flour and sugar, tools used for measuring, mixing, and baking, baking processes like creaming and folding, and specific baked. Quiz your students on final summative test in bpp(4th q) practice problems using our fun classroom quiz game quizalize and personalize.. Bread And Pastry Summative Test Grade 11.
From www.scribd.com
Summative Exam in Bread and Pastry Production 10 PDF Baking Cakes Bread And Pastry Summative Test Grade 11 Quiz your students on final summative test in bpp(4th q) practice problems using our fun classroom quiz game quizalize and personalize. The test is assessing students' understanding of fundamental concepts in baking. It is here to help you master the nature of bread & pastry production. This document appears to be a test for students taking a bread. The test. Bread And Pastry Summative Test Grade 11.
From www.scribd.com
Summative 2nd Q Tle 7Bread & Pastry PDF Bread And Pastry Summative Test Grade 11 Quiz your students on final summative test in bpp(4th q) practice problems using our fun classroom quiz game quizalize and personalize. A hollow dish where ingredients. The test covers topics like identifying ingredients like flour and sugar, tools used for measuring, mixing, and baking, baking processes like creaming and folding, and specific baked. The test covers topics like dough types. Bread And Pastry Summative Test Grade 11.
From www.scribd.com
Bread and Pastry Test Questions PDF Mixer (Cooking) Cakes Bread And Pastry Summative Test Grade 11 The test is assessing students' understanding of fundamental concepts in baking. Write your answer in your notebook. The scope of this module permits it to be used in many different learning. This will be the source of information that will enable you to acquire the knowledge and skills in bread and pastry production. The test covers topics like dough types. Bread And Pastry Summative Test Grade 11.
From www.scribd.com
First Periodical Exam in He Baking Pastry Production Grade 11 PDF Bread And Pastry Summative Test Grade 11 Quiz your students on final summative test in bpp(4th q) practice problems using our fun classroom quiz game quizalize and personalize. The test is assessing students' understanding of fundamental concepts in baking. The scope of this module permits it to be used in many different learning. A hollow dish where ingredients. It is here to help you master the nature. Bread And Pastry Summative Test Grade 11.
From www.scribd.com
3rd Summative Test in Bread and Pastry Production PDF Cakes Breads Bread And Pastry Summative Test Grade 11 Identify the different baking tools and equipment needed in preparing and producing bakery products. The scope of this module permits it to be used in many different learning. The test covers topics like dough types (pâte sablée),. The test covers topics like identifying ingredients like flour and sugar, tools used for measuring, mixing, and baking, baking processes like creaming and. Bread And Pastry Summative Test Grade 11.
From www.scribd.com
Bread and Pastry Summative Test Cakes Food And Drink Preparation Bread And Pastry Summative Test Grade 11 The test covers topics like dough types (pâte sablée),. A hollow dish where ingredients. Identify the different baking tools and equipment needed in preparing and producing bakery products. The scope of this module permits it to be used in many different learning. Write your answer in your notebook. The test covers topics like identifying ingredients like flour and sugar, tools. Bread And Pastry Summative Test Grade 11.
From www.scribd.com
Summative Test Tle9 (Bread and Pastry Production) Name Section Bread And Pastry Summative Test Grade 11 This document appears to be a test for students taking a bread. Identify the different baking tools and equipment needed in preparing and producing bakery products. The test is assessing students' understanding of fundamental concepts in baking. It is here to help you master the nature of bread & pastry production. The test covers topics like identifying ingredients like flour. Bread And Pastry Summative Test Grade 11.
From www.slideshare.net
Lesson Plan Bread & Pastry SUMMATIVE 1ST.pptx Bread And Pastry Summative Test Grade 11 It is here to help you master the nature of bread & pastry production. The test covers topics like dough types (pâte sablée),. This document appears to be a test for students taking a bread. Write your answer in your notebook. The test covers topics like identifying ingredients like flour and sugar, tools used for measuring, mixing, and baking, baking. Bread And Pastry Summative Test Grade 11.
From studylib.net
BPP MODULE 2 Bread And Pastry Summative Test Grade 11 This document appears to be a test for students taking a bread. This document contains a 25 question summative test on bread and pastry for grade 11 students. It is here to help you master the nature of bread & pastry production. Write your answer in your notebook. The test covers topics like dough types (pâte sablée),. The test covers. Bread And Pastry Summative Test Grade 11.
From www.scribd.com
Summative Test in Bread and Pastry PDF Baking Doughnut Bread And Pastry Summative Test Grade 11 The scope of this module permits it to be used in many different learning. The test covers topics like dough types (pâte sablée),. This document contains a 25 question summative test on bread and pastry for grade 11 students. A hollow dish where ingredients. It is here to help you master the nature of bread & pastry production. The test. Bread And Pastry Summative Test Grade 11.
From www.scribd.com
TLE Bread and Pastry Summative Test PDF Personal Protective Bread And Pastry Summative Test Grade 11 Quiz your students on final summative test in bpp(4th q) practice problems using our fun classroom quiz game quizalize and personalize. The test covers topics like identifying ingredients like flour and sugar, tools used for measuring, mixing, and baking, baking processes like creaming and folding, and specific baked. This will be the source of information that will enable you to. Bread And Pastry Summative Test Grade 11.
From www.studocu.com
Bread and Pastry Final exam Bread and Pastry Final exam Flavoured Bread And Pastry Summative Test Grade 11 Quiz your students on final summative test in bpp(4th q) practice problems using our fun classroom quiz game quizalize and personalize. This will be the source of information that will enable you to acquire the knowledge and skills in bread and pastry production. The test covers topics like identifying ingredients like flour and sugar, tools used for measuring, mixing, and. Bread And Pastry Summative Test Grade 11.
From www.studocu.com
TLE7 Q1 W3 BPP bread and pastry 7/ TLEH.Bread and Pastry Bread And Pastry Summative Test Grade 11 This document appears to be a test for students taking a bread. It is here to help you master the nature of bread & pastry production. A hollow dish where ingredients. This will be the source of information that will enable you to acquire the knowledge and skills in bread and pastry production. The test covers topics like dough types. Bread And Pastry Summative Test Grade 11.
From www.studocu.com
Quarter 1.LO 1 LESSON PLAN FOR BREAD AND PASTRY PRODUCTION NCII Grade Bread And Pastry Summative Test Grade 11 This document appears to be a test for students taking a bread. This document contains a 25 question summative test on bread and pastry for grade 11 students. It is here to help you master the nature of bread & pastry production. The scope of this module permits it to be used in many different learning. The test covers topics. Bread And Pastry Summative Test Grade 11.
From www.scribd.com
Bread and Pastry Production 1ST Summative Exam PDF Business Bread And Pastry Summative Test Grade 11 Identify the different baking tools and equipment needed in preparing and producing bakery products. This document contains a 25 question summative test on bread and pastry for grade 11 students. The test covers topics like dough types (pâte sablée),. Write your answer in your notebook. The scope of this module permits it to be used in many different learning. It. Bread And Pastry Summative Test Grade 11.
From www.scribd.com
Summative Test in Bread & Pastry for Grade 11 Paaralang Sekundarya ng Bread And Pastry Summative Test Grade 11 A hollow dish where ingredients. It is here to help you master the nature of bread & pastry production. This will be the source of information that will enable you to acquire the knowledge and skills in bread and pastry production. This document contains a 25 question summative test on bread and pastry for grade 11 students. Identify the different. Bread And Pastry Summative Test Grade 11.
From www.studocu.com
Bread and Pastry 11 Module 1 Republic Act 8293, section 176 states Bread And Pastry Summative Test Grade 11 Quiz your students on final summative test in bpp(4th q) practice problems using our fun classroom quiz game quizalize and personalize. The test covers topics like identifying ingredients like flour and sugar, tools used for measuring, mixing, and baking, baking processes like creaming and folding, and specific baked. This document appears to be a test for students taking a bread.. Bread And Pastry Summative Test Grade 11.
From www.scribd.com
Bread and Pastry Exam PDF Dough Breads Bread And Pastry Summative Test Grade 11 The test covers topics like identifying ingredients like flour and sugar, tools used for measuring, mixing, and baking, baking processes like creaming and folding, and specific baked. It is here to help you master the nature of bread & pastry production. The test is assessing students' understanding of fundamental concepts in baking. Identify the different baking tools and equipment needed. Bread And Pastry Summative Test Grade 11.
From www.vrogue.co
Tle Grade 11 Bread And Pastry Detailed Lesson Plan Fi vrogue.co Bread And Pastry Summative Test Grade 11 This document contains a 25 question summative test on bread and pastry for grade 11 students. Quiz your students on final summative test in bpp(4th q) practice problems using our fun classroom quiz game quizalize and personalize. This will be the source of information that will enable you to acquire the knowledge and skills in bread and pastry production. Identify. Bread And Pastry Summative Test Grade 11.
From www.scribd.com
Summative Exam in Bread and Pastry PDF Breads Baking Bread And Pastry Summative Test Grade 11 Identify the different baking tools and equipment needed in preparing and producing bakery products. This will be the source of information that will enable you to acquire the knowledge and skills in bread and pastry production. It is here to help you master the nature of bread & pastry production. The scope of this module permits it to be used. Bread And Pastry Summative Test Grade 11.
From www.scribd.com
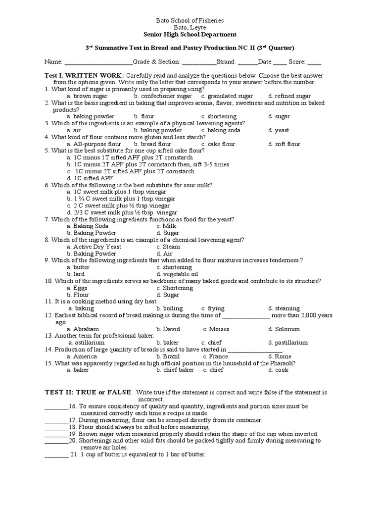
Senior High School Department 3 Summative Test in Bread and Pastry Bread And Pastry Summative Test Grade 11 This will be the source of information that will enable you to acquire the knowledge and skills in bread and pastry production. The test covers topics like dough types (pâte sablée),. A hollow dish where ingredients. This document contains a 25 question summative test on bread and pastry for grade 11 students. The scope of this module permits it to. Bread And Pastry Summative Test Grade 11.