Differential Equation Y^2=4Ax . Free math problem solver answers your algebra, geometry,. 10k views 3 years ago differential equations. when we differentiate #y# wrt #x# we get #dy/dx#. replace y' y ′ with dy dx d y d x. Compute answers using wolfram's breakthrough technology & knowledgebase, relied on by. the differential equation of the family of curves y2 = 4a(x+a), where a is an arbitrary constant, is. However, we only differentiate explicit functions of #y# wrt. Dy dx = 2a y d y d x = 2 a y.
from wizedu.com
10k views 3 years ago differential equations. Dy dx = 2a y d y d x = 2 a y. However, we only differentiate explicit functions of #y# wrt. replace y' y ′ with dy dx d y d x. the differential equation of the family of curves y2 = 4a(x+a), where a is an arbitrary constant, is. Free math problem solver answers your algebra, geometry,. when we differentiate #y# wrt #x# we get #dy/dx#. Compute answers using wolfram's breakthrough technology & knowledgebase, relied on by.
the following differential equation determine using the method of
Differential Equation Y^2=4Ax replace y' y ′ with dy dx d y d x. Compute answers using wolfram's breakthrough technology & knowledgebase, relied on by. However, we only differentiate explicit functions of #y# wrt. the differential equation of the family of curves y2 = 4a(x+a), where a is an arbitrary constant, is. when we differentiate #y# wrt #x# we get #dy/dx#. replace y' y ′ with dy dx d y d x. Dy dx = 2a y d y d x = 2 a y. 10k views 3 years ago differential equations. Free math problem solver answers your algebra, geometry,.
From www.youtube.com
Differentiability of Parabola at origin y^2 = 4ax YouTube Differential Equation Y^2=4Ax However, we only differentiate explicit functions of #y# wrt. Compute answers using wolfram's breakthrough technology & knowledgebase, relied on by. Dy dx = 2a y d y d x = 2 a y. when we differentiate #y# wrt #x# we get #dy/dx#. Free math problem solver answers your algebra, geometry,. 10k views 3 years ago differential equations. replace. Differential Equation Y^2=4Ax.
From www.toppr.com
Find differential equation of the family of curves y^2 = 4ax Differential Equation Y^2=4Ax However, we only differentiate explicit functions of #y# wrt. Compute answers using wolfram's breakthrough technology & knowledgebase, relied on by. when we differentiate #y# wrt #x# we get #dy/dx#. replace y' y ′ with dy dx d y d x. Dy dx = 2a y d y d x = 2 a y. 10k views 3 years ago. Differential Equation Y^2=4Ax.
From www.youtube.com
the differential equation of all circles touching a parabola `y^2 = 4ax Differential Equation Y^2=4Ax replace y' y ′ with dy dx d y d x. Dy dx = 2a y d y d x = 2 a y. Free math problem solver answers your algebra, geometry,. 10k views 3 years ago differential equations. the differential equation of the family of curves y2 = 4a(x+a), where a is an arbitrary constant, is. Compute. Differential Equation Y^2=4Ax.
From www.chegg.com
Solved Solve The Following Differential Equations By Sepa... Differential Equation Y^2=4Ax However, we only differentiate explicit functions of #y# wrt. 10k views 3 years ago differential equations. Free math problem solver answers your algebra, geometry,. when we differentiate #y# wrt #x# we get #dy/dx#. replace y' y ′ with dy dx d y d x. Compute answers using wolfram's breakthrough technology & knowledgebase, relied on by. Dy dx =. Differential Equation Y^2=4Ax.
From www.toppr.com
Find differential equation of the family of curves y^2 = 4ax Differential Equation Y^2=4Ax 10k views 3 years ago differential equations. Dy dx = 2a y d y d x = 2 a y. when we differentiate #y# wrt #x# we get #dy/dx#. replace y' y ′ with dy dx d y d x. the differential equation of the family of curves y2 = 4a(x+a), where a is an arbitrary constant,. Differential Equation Y^2=4Ax.
From www.chegg.com
Solved Consider the differential equation y′=y2+4. (a) Differential Equation Y^2=4Ax when we differentiate #y# wrt #x# we get #dy/dx#. 10k views 3 years ago differential equations. However, we only differentiate explicit functions of #y# wrt. the differential equation of the family of curves y2 = 4a(x+a), where a is an arbitrary constant, is. replace y' y ′ with dy dx d y d x. Free math problem. Differential Equation Y^2=4Ax.
From www.doubtnut.com
The order and degree of the differential equation of all tangent lines Differential Equation Y^2=4Ax 10k views 3 years ago differential equations. when we differentiate #y# wrt #x# we get #dy/dx#. Free math problem solver answers your algebra, geometry,. Dy dx = 2a y d y d x = 2 a y. Compute answers using wolfram's breakthrough technology & knowledgebase, relied on by. replace y' y ′ with dy dx d y d. Differential Equation Y^2=4Ax.
From www.youtube.com
differential equation for `y^2=4a(xa)` YouTube Differential Equation Y^2=4Ax Dy dx = 2a y d y d x = 2 a y. Free math problem solver answers your algebra, geometry,. when we differentiate #y# wrt #x# we get #dy/dx#. However, we only differentiate explicit functions of #y# wrt. Compute answers using wolfram's breakthrough technology & knowledgebase, relied on by. the differential equation of the family of curves. Differential Equation Y^2=4Ax.
From www.chegg.com
Solved 4. Solve the differential equation y′=2yx. a. Differential Equation Y^2=4Ax Free math problem solver answers your algebra, geometry,. Compute answers using wolfram's breakthrough technology & knowledgebase, relied on by. Dy dx = 2a y d y d x = 2 a y. replace y' y ′ with dy dx d y d x. the differential equation of the family of curves y2 = 4a(x+a), where a is an. Differential Equation Y^2=4Ax.
From www.numerade.com
SOLVED Solve the given differential equation y" + 2y' + 24y = 16 (x Differential Equation Y^2=4Ax when we differentiate #y# wrt #x# we get #dy/dx#. Free math problem solver answers your algebra, geometry,. However, we only differentiate explicit functions of #y# wrt. replace y' y ′ with dy dx d y d x. the differential equation of the family of curves y2 = 4a(x+a), where a is an arbitrary constant, is. Compute answers. Differential Equation Y^2=4Ax.
From wizedu.com
the following differential equation determine using the method of Differential Equation Y^2=4Ax replace y' y ′ with dy dx d y d x. the differential equation of the family of curves y2 = 4a(x+a), where a is an arbitrary constant, is. However, we only differentiate explicit functions of #y# wrt. when we differentiate #y# wrt #x# we get #dy/dx#. Dy dx = 2a y d y d x =. Differential Equation Y^2=4Ax.
From www.chegg.com
Solved Differential Equation y′=2(y−1)3x2+4x+2 General Differential Equation Y^2=4Ax 10k views 3 years ago differential equations. Compute answers using wolfram's breakthrough technology & knowledgebase, relied on by. Free math problem solver answers your algebra, geometry,. Dy dx = 2a y d y d x = 2 a y. when we differentiate #y# wrt #x# we get #dy/dx#. However, we only differentiate explicit functions of #y# wrt. replace. Differential Equation Y^2=4Ax.
From byjus.com
Derive the equation of parabola y2=4ax in standard form. Differential Equation Y^2=4Ax However, we only differentiate explicit functions of #y# wrt. Dy dx = 2a y d y d x = 2 a y. Compute answers using wolfram's breakthrough technology & knowledgebase, relied on by. 10k views 3 years ago differential equations. replace y' y ′ with dy dx d y d x. when we differentiate #y# wrt #x# we. Differential Equation Y^2=4Ax.
From www.chegg.com
Solved The differential equation y+2y2=(y4+1x)y′ can be Differential Equation Y^2=4Ax Dy dx = 2a y d y d x = 2 a y. Free math problem solver answers your algebra, geometry,. replace y' y ′ with dy dx d y d x. Compute answers using wolfram's breakthrough technology & knowledgebase, relied on by. However, we only differentiate explicit functions of #y# wrt. 10k views 3 years ago differential equations.. Differential Equation Y^2=4Ax.
From www.doubtnut.com
The differential equation corresponding to curve y^(2)=4ax is Differential Equation Y^2=4Ax replace y' y ′ with dy dx d y d x. Compute answers using wolfram's breakthrough technology & knowledgebase, relied on by. 10k views 3 years ago differential equations. Dy dx = 2a y d y d x = 2 a y. However, we only differentiate explicit functions of #y# wrt. when we differentiate #y# wrt #x# we. Differential Equation Y^2=4Ax.
From www.youtube.com
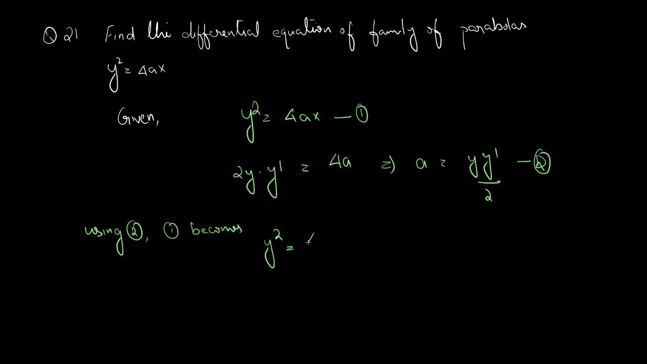
Q21 Find the differential equation of family of parabolas y^2 = 4ax Differential Equation Y^2=4Ax the differential equation of the family of curves y2 = 4a(x+a), where a is an arbitrary constant, is. Dy dx = 2a y d y d x = 2 a y. However, we only differentiate explicit functions of #y# wrt. when we differentiate #y# wrt #x# we get #dy/dx#. Free math problem solver answers your algebra, geometry,. . Differential Equation Y^2=4Ax.
From www.youtube.com
y^2=4ax Differential Equations Elimination of Arbitrary Constants Differential Equation Y^2=4Ax when we differentiate #y# wrt #x# we get #dy/dx#. Dy dx = 2a y d y d x = 2 a y. However, we only differentiate explicit functions of #y# wrt. the differential equation of the family of curves y2 = 4a(x+a), where a is an arbitrary constant, is. Free math problem solver answers your algebra, geometry,. Compute. Differential Equation Y^2=4Ax.
From www.wikihow.com
4 Ways to Solve Differential Equations wikiHow Differential Equation Y^2=4Ax replace y' y ′ with dy dx d y d x. when we differentiate #y# wrt #x# we get #dy/dx#. 10k views 3 years ago differential equations. Dy dx = 2a y d y d x = 2 a y. the differential equation of the family of curves y2 = 4a(x+a), where a is an arbitrary constant,. Differential Equation Y^2=4Ax.
From www.youtube.com
The degree of the differential equation of all tangent lines to Differential Equation Y^2=4Ax Free math problem solver answers your algebra, geometry,. However, we only differentiate explicit functions of #y# wrt. the differential equation of the family of curves y2 = 4a(x+a), where a is an arbitrary constant, is. 10k views 3 years ago differential equations. replace y' y ′ with dy dx d y d x. Compute answers using wolfram's breakthrough. Differential Equation Y^2=4Ax.
From www.chegg.com
Solved Consider the differential equation y" 2y + y = 0. Differential Equation Y^2=4Ax when we differentiate #y# wrt #x# we get #dy/dx#. the differential equation of the family of curves y2 = 4a(x+a), where a is an arbitrary constant, is. replace y' y ′ with dy dx d y d x. 10k views 3 years ago differential equations. Free math problem solver answers your algebra, geometry,. Dy dx = 2a. Differential Equation Y^2=4Ax.
From www.toppr.com
The degree of the differential equation to of all tangent lines to the Differential Equation Y^2=4Ax Free math problem solver answers your algebra, geometry,. 10k views 3 years ago differential equations. when we differentiate #y# wrt #x# we get #dy/dx#. Compute answers using wolfram's breakthrough technology & knowledgebase, relied on by. However, we only differentiate explicit functions of #y# wrt. Dy dx = 2a y d y d x = 2 a y. the. Differential Equation Y^2=4Ax.
From exooethew.blob.core.windows.net
Differential Equation Roots Calculator at Vincent Kittrell blog Differential Equation Y^2=4Ax the differential equation of the family of curves y2 = 4a(x+a), where a is an arbitrary constant, is. Free math problem solver answers your algebra, geometry,. 10k views 3 years ago differential equations. However, we only differentiate explicit functions of #y# wrt. Compute answers using wolfram's breakthrough technology & knowledgebase, relied on by. replace y' y ′ with. Differential Equation Y^2=4Ax.
From www.youtube.com
The differential equation corresponding to curve `y^(2)=4ax` is YouTube Differential Equation Y^2=4Ax However, we only differentiate explicit functions of #y# wrt. Free math problem solver answers your algebra, geometry,. Compute answers using wolfram's breakthrough technology & knowledgebase, relied on by. replace y' y ′ with dy dx d y d x. 10k views 3 years ago differential equations. when we differentiate #y# wrt #x# we get #dy/dx#. the differential. Differential Equation Y^2=4Ax.
From www.youtube.com
The tangent PT and normal PN of parabola y^2=4ax at a point P on it Differential Equation Y^2=4Ax replace y' y ′ with dy dx d y d x. Free math problem solver answers your algebra, geometry,. However, we only differentiate explicit functions of #y# wrt. the differential equation of the family of curves y2 = 4a(x+a), where a is an arbitrary constant, is. Compute answers using wolfram's breakthrough technology & knowledgebase, relied on by. . Differential Equation Y^2=4Ax.
From www.youtube.com
Parabola Lecture 1 y^2=4ax (Ist form) Derivation, characteristics Differential Equation Y^2=4Ax Dy dx = 2a y d y d x = 2 a y. Compute answers using wolfram's breakthrough technology & knowledgebase, relied on by. the differential equation of the family of curves y2 = 4a(x+a), where a is an arbitrary constant, is. replace y' y ′ with dy dx d y d x. Free math problem solver answers. Differential Equation Y^2=4Ax.
From www.chegg.com
Solved Differential Equation y′=2(y−1)3x2+4x+2 General Differential Equation Y^2=4Ax when we differentiate #y# wrt #x# we get #dy/dx#. 10k views 3 years ago differential equations. Free math problem solver answers your algebra, geometry,. the differential equation of the family of curves y2 = 4a(x+a), where a is an arbitrary constant, is. replace y' y ′ with dy dx d y d x. Dy dx = 2a. Differential Equation Y^2=4Ax.
From dxorkmqso.blob.core.windows.net
Differential Definition Formula at Demetrius Carlson blog Differential Equation Y^2=4Ax replace y' y ′ with dy dx d y d x. Dy dx = 2a y d y d x = 2 a y. when we differentiate #y# wrt #x# we get #dy/dx#. Free math problem solver answers your algebra, geometry,. Compute answers using wolfram's breakthrough technology & knowledgebase, relied on by. the differential equation of the. Differential Equation Y^2=4Ax.
From www.teachoo.com
Question 2 Form differential equation y2 = a (b2 x2) Differential Equation Y^2=4Ax replace y' y ′ with dy dx d y d x. Free math problem solver answers your algebra, geometry,. 10k views 3 years ago differential equations. Dy dx = 2a y d y d x = 2 a y. However, we only differentiate explicit functions of #y# wrt. the differential equation of the family of curves y2 =. Differential Equation Y^2=4Ax.
From www.doubtnut.com
Differential equation of all tangents to the parabola y^2=4ax is (A) y Differential Equation Y^2=4Ax However, we only differentiate explicit functions of #y# wrt. when we differentiate #y# wrt #x# we get #dy/dx#. replace y' y ′ with dy dx d y d x. 10k views 3 years ago differential equations. Compute answers using wolfram's breakthrough technology & knowledgebase, relied on by. Free math problem solver answers your algebra, geometry,. the differential. Differential Equation Y^2=4Ax.
From www.doubtnut.com
[Telugu] The differential equation whose solution is y^(2) = 4ax, wher Differential Equation Y^2=4Ax Dy dx = 2a y d y d x = 2 a y. the differential equation of the family of curves y2 = 4a(x+a), where a is an arbitrary constant, is. Free math problem solver answers your algebra, geometry,. Compute answers using wolfram's breakthrough technology & knowledgebase, relied on by. 10k views 3 years ago differential equations. when. Differential Equation Y^2=4Ax.
From www.coursehero.com
[Solved] Find the differential equation of the given family of curves Differential Equation Y^2=4Ax Compute answers using wolfram's breakthrough technology & knowledgebase, relied on by. when we differentiate #y# wrt #x# we get #dy/dx#. Free math problem solver answers your algebra, geometry,. replace y' y ′ with dy dx d y d x. However, we only differentiate explicit functions of #y# wrt. the differential equation of the family of curves y2. Differential Equation Y^2=4Ax.
From www.quora.com
How to solve this homogeneous differential equation, (4x^2+2y^2) dx Differential Equation Y^2=4Ax replace y' y ′ with dy dx d y d x. Dy dx = 2a y d y d x = 2 a y. when we differentiate #y# wrt #x# we get #dy/dx#. However, we only differentiate explicit functions of #y# wrt. Compute answers using wolfram's breakthrough technology & knowledgebase, relied on by. 10k views 3 years ago. Differential Equation Y^2=4Ax.
From www.numerade.com
SOLVEDOrder and degree of differential equation of all tangent lines Differential Equation Y^2=4Ax when we differentiate #y# wrt #x# we get #dy/dx#. Free math problem solver answers your algebra, geometry,. Compute answers using wolfram's breakthrough technology & knowledgebase, relied on by. the differential equation of the family of curves y2 = 4a(x+a), where a is an arbitrary constant, is. Dy dx = 2a y d y d x = 2 a. Differential Equation Y^2=4Ax.
From www.youtube.com
Finding the Area Between Parabolas x^2 = 4ay and y^2 = 4ax Stepby Differential Equation Y^2=4Ax Dy dx = 2a y d y d x = 2 a y. However, we only differentiate explicit functions of #y# wrt. Compute answers using wolfram's breakthrough technology & knowledgebase, relied on by. replace y' y ′ with dy dx d y d x. 10k views 3 years ago differential equations. Free math problem solver answers your algebra, geometry,.. Differential Equation Y^2=4Ax.
From www.doubtnut.com
Equation of normal to parabola y^2 = 4ax at (at^2, 2at) is Differential Equation Y^2=4Ax when we differentiate #y# wrt #x# we get #dy/dx#. Dy dx = 2a y d y d x = 2 a y. replace y' y ′ with dy dx d y d x. Compute answers using wolfram's breakthrough technology & knowledgebase, relied on by. Free math problem solver answers your algebra, geometry,. However, we only differentiate explicit functions. Differential Equation Y^2=4Ax.