Which Of The Following Alcohol Is Least Acidic In Nature A. B . Which of the following alcohols is the least acidic? Which of the following is the least acidic alcohol? Which one of the following alcohols is a secondary. Which of the following alcohols is the least acidic? There are 2 steps to solve this one. Acidic strength is inversely proportional to edgs because after. the least acidic type of alcohol is tertiary alcohol. Why do phenols give deep coloration with neutral. write the structure of optically active alcohol having molecular formula c 4 h 10 o. This is due to the presence of three alkyl groups which push electrons towards.
from www.chegg.com
There are 2 steps to solve this one. Which of the following alcohols is the least acidic? Which of the following alcohols is the least acidic? the least acidic type of alcohol is tertiary alcohol. write the structure of optically active alcohol having molecular formula c 4 h 10 o. Acidic strength is inversely proportional to edgs because after. Which one of the following alcohols is a secondary. Which of the following is the least acidic alcohol? Why do phenols give deep coloration with neutral. This is due to the presence of three alkyl groups which push electrons towards.
Solved Rank the boldfaced hydrogens for the following
Which Of The Following Alcohol Is Least Acidic In Nature A. B Acidic strength is inversely proportional to edgs because after. Which of the following alcohols is the least acidic? Which of the following is the least acidic alcohol? the least acidic type of alcohol is tertiary alcohol. This is due to the presence of three alkyl groups which push electrons towards. There are 2 steps to solve this one. write the structure of optically active alcohol having molecular formula c 4 h 10 o. Why do phenols give deep coloration with neutral. Which one of the following alcohols is a secondary. Which of the following alcohols is the least acidic? Acidic strength is inversely proportional to edgs because after.
From www.numerade.com
SOLVED Arrange the carboxylic acids shown below in order of INCREASING Which Of The Following Alcohol Is Least Acidic In Nature A. B This is due to the presence of three alkyl groups which push electrons towards. There are 2 steps to solve this one. Which one of the following alcohols is a secondary. Acidic strength is inversely proportional to edgs because after. write the structure of optically active alcohol having molecular formula c 4 h 10 o. Which of the following. Which Of The Following Alcohol Is Least Acidic In Nature A. B.
From www.doubtnut.com
Which of the following is the most acidic alcohol Which Of The Following Alcohol Is Least Acidic In Nature A. B Why do phenols give deep coloration with neutral. the least acidic type of alcohol is tertiary alcohol. Acidic strength is inversely proportional to edgs because after. Which one of the following alcohols is a secondary. This is due to the presence of three alkyl groups which push electrons towards. Which of the following is the least acidic alcohol? Which. Which Of The Following Alcohol Is Least Acidic In Nature A. B.
From www.numerade.com
SOLVED Below are Ihree gerles alcohol compounds 'their relative Which Of The Following Alcohol Is Least Acidic In Nature A. B Which of the following alcohols is the least acidic? Which of the following is the least acidic alcohol? Which of the following alcohols is the least acidic? This is due to the presence of three alkyl groups which push electrons towards. There are 2 steps to solve this one. Why do phenols give deep coloration with neutral. Which one of. Which Of The Following Alcohol Is Least Acidic In Nature A. B.
From www.numerade.com
SOLVED Which of the following ranks the compounds in order of Which Of The Following Alcohol Is Least Acidic In Nature A. B Which of the following alcohols is the least acidic? There are 2 steps to solve this one. Acidic strength is inversely proportional to edgs because after. write the structure of optically active alcohol having molecular formula c 4 h 10 o. This is due to the presence of three alkyl groups which push electrons towards. Why do phenols give. Which Of The Following Alcohol Is Least Acidic In Nature A. B.
From www.chegg.com
Solved Place the following compounds in order of acidity by Which Of The Following Alcohol Is Least Acidic In Nature A. B Which of the following is the least acidic alcohol? Which of the following alcohols is the least acidic? This is due to the presence of three alkyl groups which push electrons towards. There are 2 steps to solve this one. write the structure of optically active alcohol having molecular formula c 4 h 10 o. Acidic strength is inversely. Which Of The Following Alcohol Is Least Acidic In Nature A. B.
From www.chegg.com
Solved Rank the boldfaced hydrogens for the following Which Of The Following Alcohol Is Least Acidic In Nature A. B This is due to the presence of three alkyl groups which push electrons towards. Which of the following alcohols is the least acidic? Which of the following alcohols is the least acidic? write the structure of optically active alcohol having molecular formula c 4 h 10 o. There are 2 steps to solve this one. Which of the following. Which Of The Following Alcohol Is Least Acidic In Nature A. B.
From www.chegg.com
Solved Rank the following molecules in acidity from most Which Of The Following Alcohol Is Least Acidic In Nature A. B write the structure of optically active alcohol having molecular formula c 4 h 10 o. Why do phenols give deep coloration with neutral. the least acidic type of alcohol is tertiary alcohol. There are 2 steps to solve this one. Which one of the following alcohols is a secondary. This is due to the presence of three alkyl. Which Of The Following Alcohol Is Least Acidic In Nature A. B.
From www.chegg.com
Solved A) (i)most acidic (lv) least acidic B) (iv)most Which Of The Following Alcohol Is Least Acidic In Nature A. B Which one of the following alcohols is a secondary. Which of the following is the least acidic alcohol? write the structure of optically active alcohol having molecular formula c 4 h 10 o. the least acidic type of alcohol is tertiary alcohol. Why do phenols give deep coloration with neutral. This is due to the presence of three. Which Of The Following Alcohol Is Least Acidic In Nature A. B.
From www.chegg.com
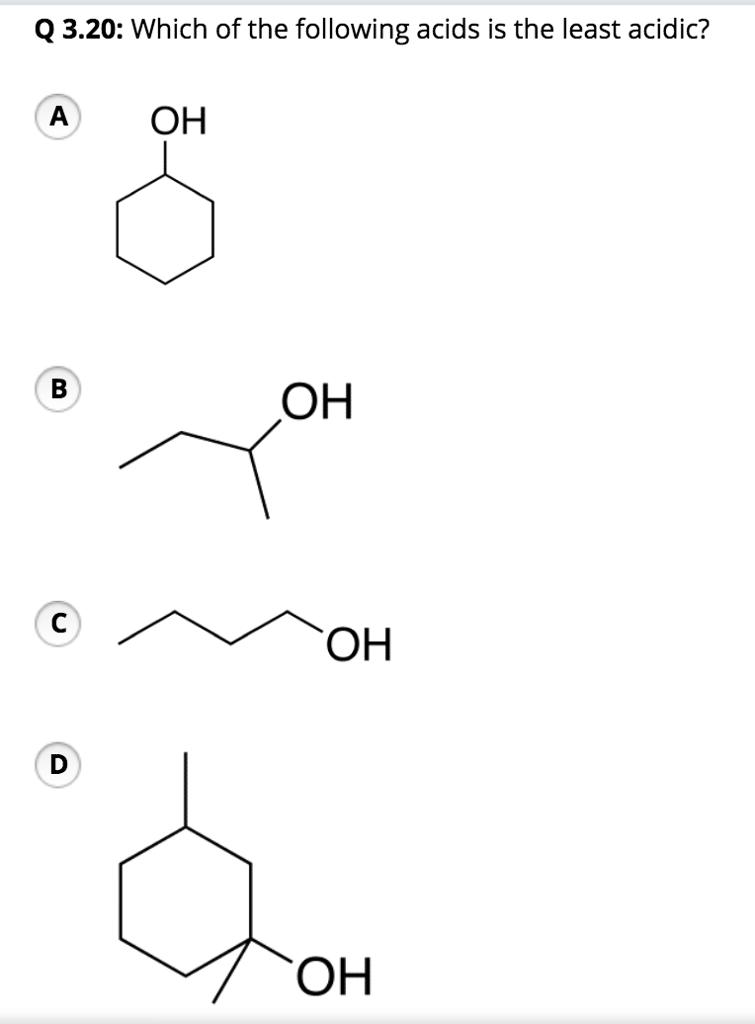
Solved Q3.20 Which of the following acids is the least Which Of The Following Alcohol Is Least Acidic In Nature A. B Which of the following alcohols is the least acidic? Acidic strength is inversely proportional to edgs because after. Which of the following alcohols is the least acidic? Which one of the following alcohols is a secondary. write the structure of optically active alcohol having molecular formula c 4 h 10 o. the least acidic type of alcohol is. Which Of The Following Alcohol Is Least Acidic In Nature A. B.
From www.numerade.com
SOLVED Name the following alcohol Compare and Contrast methanol and Which Of The Following Alcohol Is Least Acidic In Nature A. B Which one of the following alcohols is a secondary. Which of the following alcohols is the least acidic? Which of the following is the least acidic alcohol? There are 2 steps to solve this one. the least acidic type of alcohol is tertiary alcohol. This is due to the presence of three alkyl groups which push electrons towards. Why. Which Of The Following Alcohol Is Least Acidic In Nature A. B.
From www.numerade.com
SOLVED " Rank the following groups of compounds from most acidic (1 Which Of The Following Alcohol Is Least Acidic In Nature A. B Which of the following alcohols is the least acidic? This is due to the presence of three alkyl groups which push electrons towards. write the structure of optically active alcohol having molecular formula c 4 h 10 o. There are 2 steps to solve this one. Which of the following is the least acidic alcohol? Acidic strength is inversely. Which Of The Following Alcohol Is Least Acidic In Nature A. B.
From www.numerade.com
SOLVED Rank these alcohols order of least acidic t0 most acidic Which Of The Following Alcohol Is Least Acidic In Nature A. B This is due to the presence of three alkyl groups which push electrons towards. Which of the following alcohols is the least acidic? write the structure of optically active alcohol having molecular formula c 4 h 10 o. Acidic strength is inversely proportional to edgs because after. the least acidic type of alcohol is tertiary alcohol. Why do. Which Of The Following Alcohol Is Least Acidic In Nature A. B.
From www.youtube.com
Acidic nature of phenol most important topic lecture5 YouTube Which Of The Following Alcohol Is Least Acidic In Nature A. B Which of the following is the least acidic alcohol? Why do phenols give deep coloration with neutral. Which of the following alcohols is the least acidic? Acidic strength is inversely proportional to edgs because after. the least acidic type of alcohol is tertiary alcohol. write the structure of optically active alcohol having molecular formula c 4 h 10. Which Of The Following Alcohol Is Least Acidic In Nature A. B.
From www.chegg.com
Solved 21a. Which one of the following alcohols is most Which Of The Following Alcohol Is Least Acidic In Nature A. B the least acidic type of alcohol is tertiary alcohol. Which of the following alcohols is the least acidic? Why do phenols give deep coloration with neutral. This is due to the presence of three alkyl groups which push electrons towards. Which of the following alcohols is the least acidic? Acidic strength is inversely proportional to edgs because after. Which. Which Of The Following Alcohol Is Least Acidic In Nature A. B.
From www.chegg.com
Solved Rank the following compounds from most acidic to Which Of The Following Alcohol Is Least Acidic In Nature A. B Which one of the following alcohols is a secondary. Acidic strength is inversely proportional to edgs because after. Which of the following alcohols is the least acidic? Why do phenols give deep coloration with neutral. Which of the following is the least acidic alcohol? write the structure of optically active alcohol having molecular formula c 4 h 10 o.. Which Of The Following Alcohol Is Least Acidic In Nature A. B.
From www.slideserve.com
PPT Alcohols & Thiols & Ethers PowerPoint Presentation ID797805 Which Of The Following Alcohol Is Least Acidic In Nature A. B write the structure of optically active alcohol having molecular formula c 4 h 10 o. Which of the following alcohols is the least acidic? Which of the following is the least acidic alcohol? Which one of the following alcohols is a secondary. Acidic strength is inversely proportional to edgs because after. This is due to the presence of three. Which Of The Following Alcohol Is Least Acidic In Nature A. B.
From www.numerade.com
SOLVED Rank the following acids in order from more acidic to least Which Of The Following Alcohol Is Least Acidic In Nature A. B Why do phenols give deep coloration with neutral. This is due to the presence of three alkyl groups which push electrons towards. the least acidic type of alcohol is tertiary alcohol. Which one of the following alcohols is a secondary. Which of the following alcohols is the least acidic? Which of the following alcohols is the least acidic? Acidic. Which Of The Following Alcohol Is Least Acidic In Nature A. B.
From byjus.com
Phenols are more acidic than alcohol. Explain why? Which Of The Following Alcohol Is Least Acidic In Nature A. B write the structure of optically active alcohol having molecular formula c 4 h 10 o. There are 2 steps to solve this one. Which one of the following alcohols is a secondary. Why do phenols give deep coloration with neutral. Which of the following alcohols is the least acidic? Which of the following alcohols is the least acidic? Acidic. Which Of The Following Alcohol Is Least Acidic In Nature A. B.
From www.numerade.com
SOLVED Arrange the following compounds in order of increasing acidity Which Of The Following Alcohol Is Least Acidic In Nature A. B Which of the following is the least acidic alcohol? write the structure of optically active alcohol having molecular formula c 4 h 10 o. Acidic strength is inversely proportional to edgs because after. Why do phenols give deep coloration with neutral. Which one of the following alcohols is a secondary. the least acidic type of alcohol is tertiary. Which Of The Following Alcohol Is Least Acidic In Nature A. B.
From oneclass.com
OneClass Which of the following acids is the least acidic? Q3.13 Which Of The Following Alcohol Is Least Acidic In Nature A. B the least acidic type of alcohol is tertiary alcohol. Which of the following alcohols is the least acidic? Acidic strength is inversely proportional to edgs because after. Which one of the following alcohols is a secondary. Which of the following is the least acidic alcohol? There are 2 steps to solve this one. Which of the following alcohols is. Which Of The Following Alcohol Is Least Acidic In Nature A. B.
From www.toppr.com
The acid strength of alcohols decreases in the order Which Of The Following Alcohol Is Least Acidic In Nature A. B Acidic strength is inversely proportional to edgs because after. Which one of the following alcohols is a secondary. the least acidic type of alcohol is tertiary alcohol. Which of the following is the least acidic alcohol? Which of the following alcohols is the least acidic? This is due to the presence of three alkyl groups which push electrons towards.. Which Of The Following Alcohol Is Least Acidic In Nature A. B.
From www.numerade.com
Rank the following from most to least acidic. To rank items as Which Of The Following Alcohol Is Least Acidic In Nature A. B This is due to the presence of three alkyl groups which push electrons towards. Which of the following is the least acidic alcohol? There are 2 steps to solve this one. Which of the following alcohols is the least acidic? Acidic strength is inversely proportional to edgs because after. write the structure of optically active alcohol having molecular formula. Which Of The Following Alcohol Is Least Acidic In Nature A. B.
From oneclass.com
OneClass Identify the most acidic proton on the following compound. A Which Of The Following Alcohol Is Least Acidic In Nature A. B Which one of the following alcohols is a secondary. Acidic strength is inversely proportional to edgs because after. This is due to the presence of three alkyl groups which push electrons towards. Which of the following alcohols is the least acidic? the least acidic type of alcohol is tertiary alcohol. write the structure of optically active alcohol having. Which Of The Following Alcohol Is Least Acidic In Nature A. B.
From www.answersarena.com
[Solved] Rank the following compounds from most acidic to Which Of The Following Alcohol Is Least Acidic In Nature A. B Which of the following alcohols is the least acidic? Why do phenols give deep coloration with neutral. Acidic strength is inversely proportional to edgs because after. Which of the following is the least acidic alcohol? Which one of the following alcohols is a secondary. the least acidic type of alcohol is tertiary alcohol. write the structure of optically. Which Of The Following Alcohol Is Least Acidic In Nature A. B.
From www.chegg.com
Solved Rank the following from most to least acidic? A, B, Which Of The Following Alcohol Is Least Acidic In Nature A. B write the structure of optically active alcohol having molecular formula c 4 h 10 o. the least acidic type of alcohol is tertiary alcohol. Which of the following is the least acidic alcohol? There are 2 steps to solve this one. Acidic strength is inversely proportional to edgs because after. Which of the following alcohols is the least. Which Of The Following Alcohol Is Least Acidic In Nature A. B.
From www.coursehero.com
[Solved] 20. Rank the following compounds in order of increasing Which Of The Following Alcohol Is Least Acidic In Nature A. B the least acidic type of alcohol is tertiary alcohol. Which of the following alcohols is the least acidic? Which of the following alcohols is the least acidic? Why do phenols give deep coloration with neutral. write the structure of optically active alcohol having molecular formula c 4 h 10 o. This is due to the presence of three. Which Of The Following Alcohol Is Least Acidic In Nature A. B.
From www.toppr.com
Arrange the following compounds in the increasing order of their acid Which Of The Following Alcohol Is Least Acidic In Nature A. B Which of the following alcohols is the least acidic? Why do phenols give deep coloration with neutral. Acidic strength is inversely proportional to edgs because after. Which one of the following alcohols is a secondary. Which of the following alcohols is the least acidic? There are 2 steps to solve this one. Which of the following is the least acidic. Which Of The Following Alcohol Is Least Acidic In Nature A. B.
From www.chegg.com
Solved 1) Rank the following compounds in order of acidity Which Of The Following Alcohol Is Least Acidic In Nature A. B the least acidic type of alcohol is tertiary alcohol. write the structure of optically active alcohol having molecular formula c 4 h 10 o. Acidic strength is inversely proportional to edgs because after. There are 2 steps to solve this one. Which of the following alcohols is the least acidic? This is due to the presence of three. Which Of The Following Alcohol Is Least Acidic In Nature A. B.
From www.solutionspile.com
[Solved] 1. Consider the following a. Rank the acids (AE) Which Of The Following Alcohol Is Least Acidic In Nature A. B Which of the following alcohols is the least acidic? This is due to the presence of three alkyl groups which push electrons towards. write the structure of optically active alcohol having molecular formula c 4 h 10 o. the least acidic type of alcohol is tertiary alcohol. Which one of the following alcohols is a secondary. Why do. Which Of The Following Alcohol Is Least Acidic In Nature A. B.
From www.numerade.com
SOLVED Rank the following compounds from most acidic to least acidic Which Of The Following Alcohol Is Least Acidic In Nature A. B There are 2 steps to solve this one. the least acidic type of alcohol is tertiary alcohol. Which of the following is the least acidic alcohol? Which of the following alcohols is the least acidic? write the structure of optically active alcohol having molecular formula c 4 h 10 o. This is due to the presence of three. Which Of The Following Alcohol Is Least Acidic In Nature A. B.
From www.chegg.com
Solved 1. Rank the following compounds from least acidic to Which Of The Following Alcohol Is Least Acidic In Nature A. B There are 2 steps to solve this one. Which one of the following alcohols is a secondary. This is due to the presence of three alkyl groups which push electrons towards. Why do phenols give deep coloration with neutral. Which of the following is the least acidic alcohol? Which of the following alcohols is the least acidic? Acidic strength is. Which Of The Following Alcohol Is Least Acidic In Nature A. B.
From byjus.com
What is the order of acidity of alcohols and phenols? Explain both in Which Of The Following Alcohol Is Least Acidic In Nature A. B There are 2 steps to solve this one. This is due to the presence of three alkyl groups which push electrons towards. Which of the following is the least acidic alcohol? write the structure of optically active alcohol having molecular formula c 4 h 10 o. Which one of the following alcohols is a secondary. the least acidic. Which Of The Following Alcohol Is Least Acidic In Nature A. B.
From byjus.com
16.when alcohol reacts with metal it act as an acid so what is the Which Of The Following Alcohol Is Least Acidic In Nature A. B Which of the following alcohols is the least acidic? Which of the following alcohols is the least acidic? write the structure of optically active alcohol having molecular formula c 4 h 10 o. Acidic strength is inversely proportional to edgs because after. Which one of the following alcohols is a secondary. There are 2 steps to solve this one.. Which Of The Following Alcohol Is Least Acidic In Nature A. B.
From www.toppr.com
Arrange the following compounds in the increasing order of their acid Which Of The Following Alcohol Is Least Acidic In Nature A. B There are 2 steps to solve this one. Which of the following is the least acidic alcohol? Acidic strength is inversely proportional to edgs because after. Which of the following alcohols is the least acidic? Which of the following alcohols is the least acidic? write the structure of optically active alcohol having molecular formula c 4 h 10 o.. Which Of The Following Alcohol Is Least Acidic In Nature A. B.
From www.solutionspile.com
[Solved] Exercises 1. Consider the following a. Rank the Which Of The Following Alcohol Is Least Acidic In Nature A. B This is due to the presence of three alkyl groups which push electrons towards. Which of the following is the least acidic alcohol? Which of the following alcohols is the least acidic? Acidic strength is inversely proportional to edgs because after. Which of the following alcohols is the least acidic? write the structure of optically active alcohol having molecular. Which Of The Following Alcohol Is Least Acidic In Nature A. B.