Euler-Lagrange Equation Pdf . It speci es the conditions on the functional fto extremize the integral i( ) given. T) dt, with various types of. Learn how to use the lagrangian, a combination of kinetic and potential energies, to derive equations of motion for various physical systems.
from www.physicsforums.com
Learn how to use the lagrangian, a combination of kinetic and potential energies, to derive equations of motion for various physical systems. T) dt, with various types of. It speci es the conditions on the functional fto extremize the integral i( ) given.
EulerLagrange equation
Euler-Lagrange Equation Pdf T) dt, with various types of. T) dt, with various types of. It speci es the conditions on the functional fto extremize the integral i( ) given. Learn how to use the lagrangian, a combination of kinetic and potential energies, to derive equations of motion for various physical systems.
From www.scribd.com
11 Euler Lagrange Equation PDF Kinematics Theoretical Physics Euler-Lagrange Equation Pdf Learn how to use the lagrangian, a combination of kinetic and potential energies, to derive equations of motion for various physical systems. T) dt, with various types of. It speci es the conditions on the functional fto extremize the integral i( ) given. Euler-Lagrange Equation Pdf.
From www.researchgate.net
(PDF) EulerLagrange equation for a delay variational problem Euler-Lagrange Equation Pdf T) dt, with various types of. It speci es the conditions on the functional fto extremize the integral i( ) given. Learn how to use the lagrangian, a combination of kinetic and potential energies, to derive equations of motion for various physical systems. Euler-Lagrange Equation Pdf.
From www.slideserve.com
PPT Calculus of Variation and EulerLagrange Equation Lecture 4 Euler-Lagrange Equation Pdf Learn how to use the lagrangian, a combination of kinetic and potential energies, to derive equations of motion for various physical systems. It speci es the conditions on the functional fto extremize the integral i( ) given. T) dt, with various types of. Euler-Lagrange Equation Pdf.
From www.scribd.com
Lagrange's Equations PDF PDF Calculus Of Variations Euler Euler-Lagrange Equation Pdf T) dt, with various types of. Learn how to use the lagrangian, a combination of kinetic and potential energies, to derive equations of motion for various physical systems. It speci es the conditions on the functional fto extremize the integral i( ) given. Euler-Lagrange Equation Pdf.
From www.slideshare.net
Euler lagrange equation Euler-Lagrange Equation Pdf It speci es the conditions on the functional fto extremize the integral i( ) given. T) dt, with various types of. Learn how to use the lagrangian, a combination of kinetic and potential energies, to derive equations of motion for various physical systems. Euler-Lagrange Equation Pdf.
From www.scribd.com
Preface EulerLagrange Equation PDF Ordinary Differential Equation Euler-Lagrange Equation Pdf It speci es the conditions on the functional fto extremize the integral i( ) given. T) dt, with various types of. Learn how to use the lagrangian, a combination of kinetic and potential energies, to derive equations of motion for various physical systems. Euler-Lagrange Equation Pdf.
From www.researchgate.net
(PDF) Solvability of quasilinear eulerlagrange equations Euler-Lagrange Equation Pdf T) dt, with various types of. It speci es the conditions on the functional fto extremize the integral i( ) given. Learn how to use the lagrangian, a combination of kinetic and potential energies, to derive equations of motion for various physical systems. Euler-Lagrange Equation Pdf.
From www.youtube.com
Introduction to EulerLagrange Equations of Motion YouTube Euler-Lagrange Equation Pdf T) dt, with various types of. It speci es the conditions on the functional fto extremize the integral i( ) given. Learn how to use the lagrangian, a combination of kinetic and potential energies, to derive equations of motion for various physical systems. Euler-Lagrange Equation Pdf.
From www.researchgate.net
(PDF) Fractional Complex EulerLagrange Equation Nonconservative Systems Euler-Lagrange Equation Pdf It speci es the conditions on the functional fto extremize the integral i( ) given. Learn how to use the lagrangian, a combination of kinetic and potential energies, to derive equations of motion for various physical systems. T) dt, with various types of. Euler-Lagrange Equation Pdf.
From www.researchgate.net
(PDF) A generalized stability of the general EulerLagrange functional Euler-Lagrange Equation Pdf T) dt, with various types of. Learn how to use the lagrangian, a combination of kinetic and potential energies, to derive equations of motion for various physical systems. It speci es the conditions on the functional fto extremize the integral i( ) given. Euler-Lagrange Equation Pdf.
From www.scribd.com
Revision Previous Lecture Was About Variational Principle Euler Euler-Lagrange Equation Pdf Learn how to use the lagrangian, a combination of kinetic and potential energies, to derive equations of motion for various physical systems. It speci es the conditions on the functional fto extremize the integral i( ) given. T) dt, with various types of. Euler-Lagrange Equation Pdf.
From www.slideserve.com
PPT Calculus of Variation and EulerLagrange Equation Lecture 4 Euler-Lagrange Equation Pdf It speci es the conditions on the functional fto extremize the integral i( ) given. T) dt, with various types of. Learn how to use the lagrangian, a combination of kinetic and potential energies, to derive equations of motion for various physical systems. Euler-Lagrange Equation Pdf.
From studylib.net
EulerLagrange Equations for charged particle in a field The Lagrangian Euler-Lagrange Equation Pdf It speci es the conditions on the functional fto extremize the integral i( ) given. Learn how to use the lagrangian, a combination of kinetic and potential energies, to derive equations of motion for various physical systems. T) dt, with various types of. Euler-Lagrange Equation Pdf.
From www.researchgate.net
(PDF) The Second EulerLagrange Equation of Variational Calculus on Euler-Lagrange Equation Pdf It speci es the conditions on the functional fto extremize the integral i( ) given. T) dt, with various types of. Learn how to use the lagrangian, a combination of kinetic and potential energies, to derive equations of motion for various physical systems. Euler-Lagrange Equation Pdf.
From www.youtube.com
Euler Lagrange Equation to Solve a Functional YouTube Euler-Lagrange Equation Pdf It speci es the conditions on the functional fto extremize the integral i( ) given. Learn how to use the lagrangian, a combination of kinetic and potential energies, to derive equations of motion for various physical systems. T) dt, with various types of. Euler-Lagrange Equation Pdf.
From mathyourworld.blogspot.com
Math Your World EulerLagrange Equation Euler-Lagrange Equation Pdf It speci es the conditions on the functional fto extremize the integral i( ) given. Learn how to use the lagrangian, a combination of kinetic and potential energies, to derive equations of motion for various physical systems. T) dt, with various types of. Euler-Lagrange Equation Pdf.
From www.scribd.com
Euler Lagrange Equations PDF EulerLagrange Equation Lagrangian Euler-Lagrange Equation Pdf It speci es the conditions on the functional fto extremize the integral i( ) given. Learn how to use the lagrangian, a combination of kinetic and potential energies, to derive equations of motion for various physical systems. T) dt, with various types of. Euler-Lagrange Equation Pdf.
From www.researchgate.net
(PDF) EulerLagrange Simple Example Euler-Lagrange Equation Pdf Learn how to use the lagrangian, a combination of kinetic and potential energies, to derive equations of motion for various physical systems. It speci es the conditions on the functional fto extremize the integral i( ) given. T) dt, with various types of. Euler-Lagrange Equation Pdf.
From www.academia.edu
(PDF) Mathematical formulation EulerLagrange equations derived from Euler-Lagrange Equation Pdf T) dt, with various types of. It speci es the conditions on the functional fto extremize the integral i( ) given. Learn how to use the lagrangian, a combination of kinetic and potential energies, to derive equations of motion for various physical systems. Euler-Lagrange Equation Pdf.
From www.slideserve.com
PPT Maple for Lagrangian Mechanics PowerPoint Presentation ID631668 Euler-Lagrange Equation Pdf T) dt, with various types of. It speci es the conditions on the functional fto extremize the integral i( ) given. Learn how to use the lagrangian, a combination of kinetic and potential energies, to derive equations of motion for various physical systems. Euler-Lagrange Equation Pdf.
From www.researchgate.net
(PDF) The EulerLagrange Equations in Rotating Frames Euler-Lagrange Equation Pdf It speci es the conditions on the functional fto extremize the integral i( ) given. Learn how to use the lagrangian, a combination of kinetic and potential energies, to derive equations of motion for various physical systems. T) dt, with various types of. Euler-Lagrange Equation Pdf.
From www.slideserve.com
PPT PHYS 5326 Lecture 9 PowerPoint Presentation, free download Euler-Lagrange Equation Pdf It speci es the conditions on the functional fto extremize the integral i( ) given. T) dt, with various types of. Learn how to use the lagrangian, a combination of kinetic and potential energies, to derive equations of motion for various physical systems. Euler-Lagrange Equation Pdf.
From www.youtube.com
The Calculus of Variations and the EulerLagrange Equation YouTube Euler-Lagrange Equation Pdf Learn how to use the lagrangian, a combination of kinetic and potential energies, to derive equations of motion for various physical systems. It speci es the conditions on the functional fto extremize the integral i( ) given. T) dt, with various types of. Euler-Lagrange Equation Pdf.
From es.scribd.com
Ecuaciones de EulerLagrange PDF Ecuación de EulerLagrange Euler-Lagrange Equation Pdf It speci es the conditions on the functional fto extremize the integral i( ) given. Learn how to use the lagrangian, a combination of kinetic and potential energies, to derive equations of motion for various physical systems. T) dt, with various types of. Euler-Lagrange Equation Pdf.
From www.youtube.com
Derivation of the EulerLagrange Equation YouTube Euler-Lagrange Equation Pdf T) dt, with various types of. Learn how to use the lagrangian, a combination of kinetic and potential energies, to derive equations of motion for various physical systems. It speci es the conditions on the functional fto extremize the integral i( ) given. Euler-Lagrange Equation Pdf.
From www.physicsforums.com
EulerLagrange equation Euler-Lagrange Equation Pdf T) dt, with various types of. Learn how to use the lagrangian, a combination of kinetic and potential energies, to derive equations of motion for various physical systems. It speci es the conditions on the functional fto extremize the integral i( ) given. Euler-Lagrange Equation Pdf.
From www.chegg.com
Solved Derive EulerLagrange equation for the problem 1 min Euler-Lagrange Equation Pdf It speci es the conditions on the functional fto extremize the integral i( ) given. T) dt, with various types of. Learn how to use the lagrangian, a combination of kinetic and potential energies, to derive equations of motion for various physical systems. Euler-Lagrange Equation Pdf.
From www.researchgate.net
(PDF) Euler‐Lagrange Equation in Free Coordinates Euler-Lagrange Equation Pdf It speci es the conditions on the functional fto extremize the integral i( ) given. Learn how to use the lagrangian, a combination of kinetic and potential energies, to derive equations of motion for various physical systems. T) dt, with various types of. Euler-Lagrange Equation Pdf.
From www.researchgate.net
(PDF) Deducing Euler Lagrange Equation by a method of the Newton's Euler-Lagrange Equation Pdf Learn how to use the lagrangian, a combination of kinetic and potential energies, to derive equations of motion for various physical systems. T) dt, with various types of. It speci es the conditions on the functional fto extremize the integral i( ) given. Euler-Lagrange Equation Pdf.
From www.slideshare.net
Euler lagrange equation Euler-Lagrange Equation Pdf It speci es the conditions on the functional fto extremize the integral i( ) given. Learn how to use the lagrangian, a combination of kinetic and potential energies, to derive equations of motion for various physical systems. T) dt, with various types of. Euler-Lagrange Equation Pdf.
From www.scribd.com
EulerLagrange Equation PDF Calculus Of Variations Mechanical Euler-Lagrange Equation Pdf Learn how to use the lagrangian, a combination of kinetic and potential energies, to derive equations of motion for various physical systems. T) dt, with various types of. It speci es the conditions on the functional fto extremize the integral i( ) given. Euler-Lagrange Equation Pdf.
From www.slideserve.com
PPT PHYS 5326 Lecture 13 PowerPoint Presentation, free download Euler-Lagrange Equation Pdf Learn how to use the lagrangian, a combination of kinetic and potential energies, to derive equations of motion for various physical systems. T) dt, with various types of. It speci es the conditions on the functional fto extremize the integral i( ) given. Euler-Lagrange Equation Pdf.
From www.scribd.com
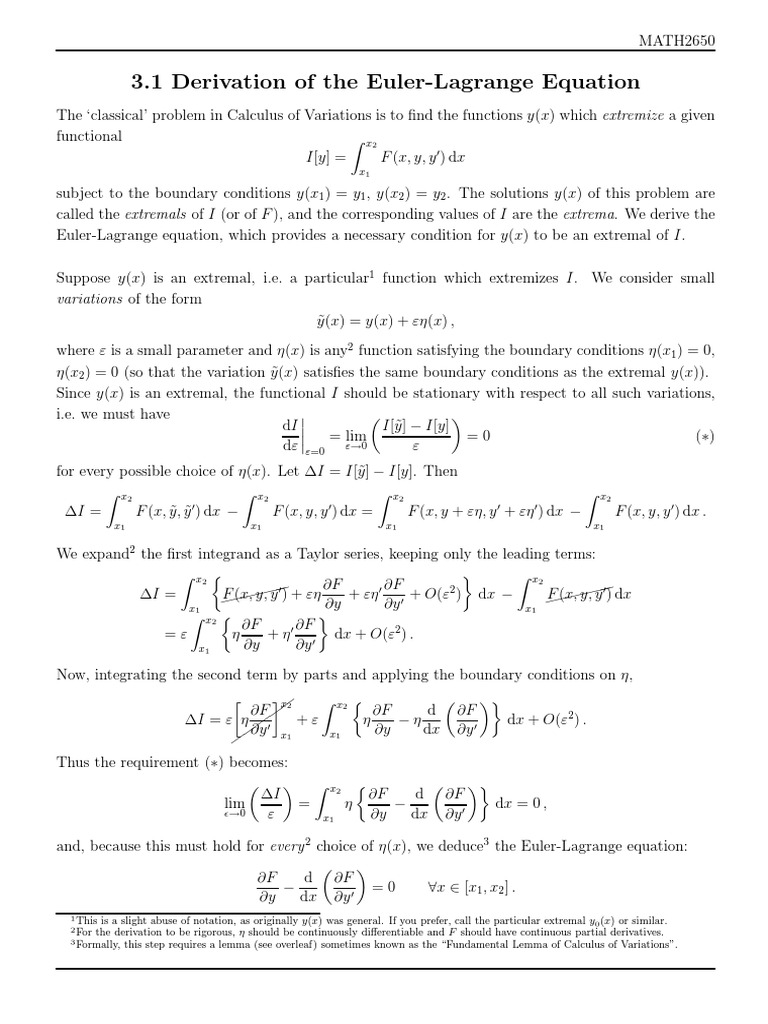
3.1 Derivation of The EulerLagrange Equation PDF Calculus Of Euler-Lagrange Equation Pdf T) dt, with various types of. It speci es the conditions on the functional fto extremize the integral i( ) given. Learn how to use the lagrangian, a combination of kinetic and potential energies, to derive equations of motion for various physical systems. Euler-Lagrange Equation Pdf.
From www.scribd.com
Euler Lagrange Equation PDF Calculus Of Variations EulerLagrange Euler-Lagrange Equation Pdf Learn how to use the lagrangian, a combination of kinetic and potential energies, to derive equations of motion for various physical systems. T) dt, with various types of. It speci es the conditions on the functional fto extremize the integral i( ) given. Euler-Lagrange Equation Pdf.
From www.researchgate.net
(PDF) qEuler Lagrange Equation Euler-Lagrange Equation Pdf Learn how to use the lagrangian, a combination of kinetic and potential energies, to derive equations of motion for various physical systems. T) dt, with various types of. It speci es the conditions on the functional fto extremize the integral i( ) given. Euler-Lagrange Equation Pdf.