Magnesium Bromide Benzene . You will work in a small group to carry out variations of the grignard reaction with phenyl magnesium. Eigenschaften und daten der substanz bzw. Also, we can say, c 6 h 5 mgbr. A grignard reagent has a formula \(\ce{rmgx}\) where \(\ce{x}\) is a halogen, and \(\ce{r}\) is an alkyl or aryl (based on a benzene ring) group. Phenylmagnesium bromide (c 6 h 5 mgbr) reacts with water and produce benzene (c 6 h 6) as the product. Experiment 7 is a group experiment. Phenylmagnesium bromide solution 1.0 m in thf;
from www.universalmedicalinc.com
Eigenschaften und daten der substanz bzw. Phenylmagnesium bromide solution 1.0 m in thf; You will work in a small group to carry out variations of the grignard reaction with phenyl magnesium. Also, we can say, c 6 h 5 mgbr. Phenylmagnesium bromide (c 6 h 5 mgbr) reacts with water and produce benzene (c 6 h 6) as the product. Experiment 7 is a group experiment. A grignard reagent has a formula \(\ce{rmgx}\) where \(\ce{x}\) is a halogen, and \(\ce{r}\) is an alkyl or aryl (based on a benzene ring) group.
IBI IB40075 Ethidium Bromide Solution 10mL
Magnesium Bromide Benzene Experiment 7 is a group experiment. Also, we can say, c 6 h 5 mgbr. Experiment 7 is a group experiment. You will work in a small group to carry out variations of the grignard reaction with phenyl magnesium. A grignard reagent has a formula \(\ce{rmgx}\) where \(\ce{x}\) is a halogen, and \(\ce{r}\) is an alkyl or aryl (based on a benzene ring) group. Eigenschaften und daten der substanz bzw. Phenylmagnesium bromide solution 1.0 m in thf; Phenylmagnesium bromide (c 6 h 5 mgbr) reacts with water and produce benzene (c 6 h 6) as the product.
From www.drsebiscellfood.com
Bromide Plus Powder Dr. Sebi's Cell Food Magnesium Bromide Benzene You will work in a small group to carry out variations of the grignard reaction with phenyl magnesium. Phenylmagnesium bromide (c 6 h 5 mgbr) reacts with water and produce benzene (c 6 h 6) as the product. Also, we can say, c 6 h 5 mgbr. Eigenschaften und daten der substanz bzw. Phenylmagnesium bromide solution 1.0 m in thf;. Magnesium Bromide Benzene.
From byjus.com
Phenyl magnesium bromide reacts with methanol to give Magnesium Bromide Benzene You will work in a small group to carry out variations of the grignard reaction with phenyl magnesium. Also, we can say, c 6 h 5 mgbr. A grignard reagent has a formula \(\ce{rmgx}\) where \(\ce{x}\) is a halogen, and \(\ce{r}\) is an alkyl or aryl (based on a benzene ring) group. Phenylmagnesium bromide (c 6 h 5 mgbr) reacts. Magnesium Bromide Benzene.
From sielc.com
Magnesium bromide 4(dimethylamino)benzen1ide (1/1/1) SIELC Magnesium Bromide Benzene You will work in a small group to carry out variations of the grignard reaction with phenyl magnesium. Phenylmagnesium bromide solution 1.0 m in thf; Eigenschaften und daten der substanz bzw. A grignard reagent has a formula \(\ce{rmgx}\) where \(\ce{x}\) is a halogen, and \(\ce{r}\) is an alkyl or aryl (based on a benzene ring) group. Experiment 7 is a. Magnesium Bromide Benzene.
From www.indiamart.com
Sodium Bromide 45, Bromide salt of sodium, NaBr, 7647156, Sedoneural Magnesium Bromide Benzene Also, we can say, c 6 h 5 mgbr. Eigenschaften und daten der substanz bzw. Experiment 7 is a group experiment. Phenylmagnesium bromide (c 6 h 5 mgbr) reacts with water and produce benzene (c 6 h 6) as the product. A grignard reagent has a formula \(\ce{rmgx}\) where \(\ce{x}\) is a halogen, and \(\ce{r}\) is an alkyl or aryl. Magnesium Bromide Benzene.
From chemcraft.su
Lead(II) bromide, 99.5 pure chemcraft.su Magnesium Bromide Benzene Experiment 7 is a group experiment. Also, we can say, c 6 h 5 mgbr. Phenylmagnesium bromide solution 1.0 m in thf; Phenylmagnesium bromide (c 6 h 5 mgbr) reacts with water and produce benzene (c 6 h 6) as the product. A grignard reagent has a formula \(\ce{rmgx}\) where \(\ce{x}\) is a halogen, and \(\ce{r}\) is an alkyl or. Magnesium Bromide Benzene.
From www.chegg.com
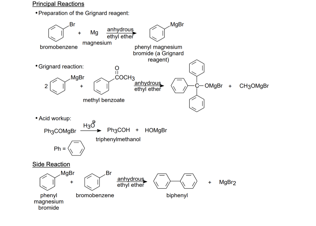
Solved Principal Reactions • Preparation of the Grignard Magnesium Bromide Benzene You will work in a small group to carry out variations of the grignard reaction with phenyl magnesium. Also, we can say, c 6 h 5 mgbr. A grignard reagent has a formula \(\ce{rmgx}\) where \(\ce{x}\) is a halogen, and \(\ce{r}\) is an alkyl or aryl (based on a benzene ring) group. Phenylmagnesium bromide (c 6 h 5 mgbr) reacts. Magnesium Bromide Benzene.
From chemizi.blogspot.com
Benzene to benzoic acidGattermannKoch reaction Magnesium Bromide Benzene Also, we can say, c 6 h 5 mgbr. A grignard reagent has a formula \(\ce{rmgx}\) where \(\ce{x}\) is a halogen, and \(\ce{r}\) is an alkyl or aryl (based on a benzene ring) group. Phenylmagnesium bromide solution 1.0 m in thf; Phenylmagnesium bromide (c 6 h 5 mgbr) reacts with water and produce benzene (c 6 h 6) as the. Magnesium Bromide Benzene.
From www.science-revision.co.uk
Halogenation of benzene rings Magnesium Bromide Benzene Eigenschaften und daten der substanz bzw. Also, we can say, c 6 h 5 mgbr. Phenylmagnesium bromide solution 1.0 m in thf; Experiment 7 is a group experiment. Phenylmagnesium bromide (c 6 h 5 mgbr) reacts with water and produce benzene (c 6 h 6) as the product. You will work in a small group to carry out variations of. Magnesium Bromide Benzene.
From www.numerade.com
SOLVED Benzene is often produced as a side product during Grignard Magnesium Bromide Benzene A grignard reagent has a formula \(\ce{rmgx}\) where \(\ce{x}\) is a halogen, and \(\ce{r}\) is an alkyl or aryl (based on a benzene ring) group. Phenylmagnesium bromide solution 1.0 m in thf; Also, we can say, c 6 h 5 mgbr. You will work in a small group to carry out variations of the grignard reaction with phenyl magnesium. Experiment. Magnesium Bromide Benzene.
From www.chemistryworld.com
Potassium bromide Podcast Chemistry World Magnesium Bromide Benzene Phenylmagnesium bromide solution 1.0 m in thf; Also, we can say, c 6 h 5 mgbr. Eigenschaften und daten der substanz bzw. You will work in a small group to carry out variations of the grignard reaction with phenyl magnesium. Experiment 7 is a group experiment. Phenylmagnesium bromide (c 6 h 5 mgbr) reacts with water and produce benzene (c. Magnesium Bromide Benzene.
From www.dreamstime.com
3D Image of Vinyl Bromide Skeletal Formula Stock Illustration Magnesium Bromide Benzene Also, we can say, c 6 h 5 mgbr. A grignard reagent has a formula \(\ce{rmgx}\) where \(\ce{x}\) is a halogen, and \(\ce{r}\) is an alkyl or aryl (based on a benzene ring) group. You will work in a small group to carry out variations of the grignard reaction with phenyl magnesium. Phenylmagnesium bromide (c 6 h 5 mgbr) reacts. Magnesium Bromide Benzene.
From www.chemkits.eu
Potassium bromide, 98.5, 7758023 Magnesium Bromide Benzene Eigenschaften und daten der substanz bzw. Phenylmagnesium bromide (c 6 h 5 mgbr) reacts with water and produce benzene (c 6 h 6) as the product. Also, we can say, c 6 h 5 mgbr. You will work in a small group to carry out variations of the grignard reaction with phenyl magnesium. Experiment 7 is a group experiment. Phenylmagnesium. Magnesium Bromide Benzene.
From www.indiamart.com
BioTech Grade Powder Sodium Bromide for Petroleum Industry, for Magnesium Bromide Benzene Eigenschaften und daten der substanz bzw. Also, we can say, c 6 h 5 mgbr. Phenylmagnesium bromide solution 1.0 m in thf; You will work in a small group to carry out variations of the grignard reaction with phenyl magnesium. A grignard reagent has a formula \(\ce{rmgx}\) where \(\ce{x}\) is a halogen, and \(\ce{r}\) is an alkyl or aryl (based. Magnesium Bromide Benzene.
From www.numerade.com
SOLVEDPhenyl magnesium bromide reacts with methanol to give (a) a Magnesium Bromide Benzene Eigenschaften und daten der substanz bzw. You will work in a small group to carry out variations of the grignard reaction with phenyl magnesium. Experiment 7 is a group experiment. A grignard reagent has a formula \(\ce{rmgx}\) where \(\ce{x}\) is a halogen, and \(\ce{r}\) is an alkyl or aryl (based on a benzene ring) group. Phenylmagnesium bromide (c 6 h. Magnesium Bromide Benzene.
From www.universalmedicalinc.com
IBI IB40075 Ethidium Bromide Solution 10mL Magnesium Bromide Benzene Eigenschaften und daten der substanz bzw. You will work in a small group to carry out variations of the grignard reaction with phenyl magnesium. Experiment 7 is a group experiment. Phenylmagnesium bromide solution 1.0 m in thf; A grignard reagent has a formula \(\ce{rmgx}\) where \(\ce{x}\) is a halogen, and \(\ce{r}\) is an alkyl or aryl (based on a benzene. Magnesium Bromide Benzene.
From www.chemkits.eu
Sodium bromide, 99.8+, 7647156 Magnesium Bromide Benzene Phenylmagnesium bromide (c 6 h 5 mgbr) reacts with water and produce benzene (c 6 h 6) as the product. Phenylmagnesium bromide solution 1.0 m in thf; You will work in a small group to carry out variations of the grignard reaction with phenyl magnesium. A grignard reagent has a formula \(\ce{rmgx}\) where \(\ce{x}\) is a halogen, and \(\ce{r}\) is. Magnesium Bromide Benzene.
From www.rpicorp.com
E718001.0 Ethidium Bromide, Powder, 1 Gram Magnesium Bromide Benzene Eigenschaften und daten der substanz bzw. A grignard reagent has a formula \(\ce{rmgx}\) where \(\ce{x}\) is a halogen, and \(\ce{r}\) is an alkyl or aryl (based on a benzene ring) group. Experiment 7 is a group experiment. You will work in a small group to carry out variations of the grignard reaction with phenyl magnesium. Phenylmagnesium bromide (c 6 h. Magnesium Bromide Benzene.
From www.thistlescientific.co.uk
Ethidium Bromide solution 10mg/ml Thistle Scientific Magnesium Bromide Benzene A grignard reagent has a formula \(\ce{rmgx}\) where \(\ce{x}\) is a halogen, and \(\ce{r}\) is an alkyl or aryl (based on a benzene ring) group. You will work in a small group to carry out variations of the grignard reaction with phenyl magnesium. Phenylmagnesium bromide (c 6 h 5 mgbr) reacts with water and produce benzene (c 6 h 6). Magnesium Bromide Benzene.
From www.nanochemazone.com
1Dodecyl3methylimidazolium Bromide Low Price 45 High Purity Magnesium Bromide Benzene A grignard reagent has a formula \(\ce{rmgx}\) where \(\ce{x}\) is a halogen, and \(\ce{r}\) is an alkyl or aryl (based on a benzene ring) group. Experiment 7 is a group experiment. You will work in a small group to carry out variations of the grignard reaction with phenyl magnesium. Phenylmagnesium bromide (c 6 h 5 mgbr) reacts with water and. Magnesium Bromide Benzene.
From www.coursehero.com
[Solved] Draw the reaction equation between magnesium and bromobenzene Magnesium Bromide Benzene Phenylmagnesium bromide solution 1.0 m in thf; Eigenschaften und daten der substanz bzw. Phenylmagnesium bromide (c 6 h 5 mgbr) reacts with water and produce benzene (c 6 h 6) as the product. You will work in a small group to carry out variations of the grignard reaction with phenyl magnesium. Experiment 7 is a group experiment. A grignard reagent. Magnesium Bromide Benzene.
From www.youtube.com
Phenyl magnesium bromide reacts with methanol to give (A) a mixture Magnesium Bromide Benzene A grignard reagent has a formula \(\ce{rmgx}\) where \(\ce{x}\) is a halogen, and \(\ce{r}\) is an alkyl or aryl (based on a benzene ring) group. Phenylmagnesium bromide solution 1.0 m in thf; Also, we can say, c 6 h 5 mgbr. Eigenschaften und daten der substanz bzw. Experiment 7 is a group experiment. You will work in a small group. Magnesium Bromide Benzene.
From hamptonresearch.com
Hampton Research Magnesium Bromide Benzene Eigenschaften und daten der substanz bzw. You will work in a small group to carry out variations of the grignard reaction with phenyl magnesium. Phenylmagnesium bromide (c 6 h 5 mgbr) reacts with water and produce benzene (c 6 h 6) as the product. Experiment 7 is a group experiment. Phenylmagnesium bromide solution 1.0 m in thf; A grignard reagent. Magnesium Bromide Benzene.
From www.biosynth.com
FA35367 1730252 Allyl magnesium bromide solution Magnesium Bromide Benzene Experiment 7 is a group experiment. You will work in a small group to carry out variations of the grignard reaction with phenyl magnesium. A grignard reagent has a formula \(\ce{rmgx}\) where \(\ce{x}\) is a halogen, and \(\ce{r}\) is an alkyl or aryl (based on a benzene ring) group. Phenylmagnesium bromide (c 6 h 5 mgbr) reacts with water and. Magnesium Bromide Benzene.
From byjus.com
What is the end product that is formed when Phenyl Magnesium Bromide Magnesium Bromide Benzene Phenylmagnesium bromide (c 6 h 5 mgbr) reacts with water and produce benzene (c 6 h 6) as the product. Phenylmagnesium bromide solution 1.0 m in thf; A grignard reagent has a formula \(\ce{rmgx}\) where \(\ce{x}\) is a halogen, and \(\ce{r}\) is an alkyl or aryl (based on a benzene ring) group. Experiment 7 is a group experiment. Eigenschaften und. Magnesium Bromide Benzene.
From www.firsthope.co.in
Methantheline Bromide Chemical Structure, Mechanism of Action, Uses Magnesium Bromide Benzene Phenylmagnesium bromide solution 1.0 m in thf; Experiment 7 is a group experiment. Phenylmagnesium bromide (c 6 h 5 mgbr) reacts with water and produce benzene (c 6 h 6) as the product. Also, we can say, c 6 h 5 mgbr. A grignard reagent has a formula \(\ce{rmgx}\) where \(\ce{x}\) is a halogen, and \(\ce{r}\) is an alkyl or. Magnesium Bromide Benzene.
From www.bhphotovideo.com
Photographers' Formulary Potassium Bromide (100g) 100930 100G Magnesium Bromide Benzene Phenylmagnesium bromide solution 1.0 m in thf; You will work in a small group to carry out variations of the grignard reaction with phenyl magnesium. Phenylmagnesium bromide (c 6 h 5 mgbr) reacts with water and produce benzene (c 6 h 6) as the product. Eigenschaften und daten der substanz bzw. Also, we can say, c 6 h 5 mgbr.. Magnesium Bromide Benzene.
From www.macsenlab.com
Pinaverium Bromide API 53251948 Manufacturer & Supplier Magnesium Bromide Benzene Phenylmagnesium bromide solution 1.0 m in thf; Phenylmagnesium bromide (c 6 h 5 mgbr) reacts with water and produce benzene (c 6 h 6) as the product. You will work in a small group to carry out variations of the grignard reaction with phenyl magnesium. Eigenschaften und daten der substanz bzw. Experiment 7 is a group experiment. A grignard reagent. Magnesium Bromide Benzene.
From www.fishersci.co.uk
Bromoacetyl bromide, 98, Thermo Scientific Chemicals Fisher Scientific Magnesium Bromide Benzene Phenylmagnesium bromide solution 1.0 m in thf; Experiment 7 is a group experiment. Phenylmagnesium bromide (c 6 h 5 mgbr) reacts with water and produce benzene (c 6 h 6) as the product. Also, we can say, c 6 h 5 mgbr. A grignard reagent has a formula \(\ce{rmgx}\) where \(\ce{x}\) is a halogen, and \(\ce{r}\) is an alkyl or. Magnesium Bromide Benzene.
From www.rpicorp.com
E718005.0 Ethidium Bromide, Powder, 5 Grams Magnesium Bromide Benzene Eigenschaften und daten der substanz bzw. You will work in a small group to carry out variations of the grignard reaction with phenyl magnesium. Experiment 7 is a group experiment. A grignard reagent has a formula \(\ce{rmgx}\) where \(\ce{x}\) is a halogen, and \(\ce{r}\) is an alkyl or aryl (based on a benzene ring) group. Phenylmagnesium bromide (c 6 h. Magnesium Bromide Benzene.
From sielc.com
Vinyl bromide SIELC Technologies Magnesium Bromide Benzene You will work in a small group to carry out variations of the grignard reaction with phenyl magnesium. Phenylmagnesium bromide solution 1.0 m in thf; A grignard reagent has a formula \(\ce{rmgx}\) where \(\ce{x}\) is a halogen, and \(\ce{r}\) is an alkyl or aryl (based on a benzene ring) group. Eigenschaften und daten der substanz bzw. Phenylmagnesium bromide (c 6. Magnesium Bromide Benzene.
From byjus.com
Methyl cyanide on treatment with magnesium bromide followed by Magnesium Bromide Benzene Eigenschaften und daten der substanz bzw. Experiment 7 is a group experiment. Also, we can say, c 6 h 5 mgbr. A grignard reagent has a formula \(\ce{rmgx}\) where \(\ce{x}\) is a halogen, and \(\ce{r}\) is an alkyl or aryl (based on a benzene ring) group. Phenylmagnesium bromide (c 6 h 5 mgbr) reacts with water and produce benzene (c. Magnesium Bromide Benzene.
From www.alamy.com
Gel electrophoresis ethidium bromide hires stock photography and Magnesium Bromide Benzene A grignard reagent has a formula \(\ce{rmgx}\) where \(\ce{x}\) is a halogen, and \(\ce{r}\) is an alkyl or aryl (based on a benzene ring) group. Also, we can say, c 6 h 5 mgbr. Experiment 7 is a group experiment. Phenylmagnesium bromide solution 1.0 m in thf; You will work in a small group to carry out variations of the. Magnesium Bromide Benzene.
From synthonix.com
Synthonix, Inc > Grignards and Zincs > 402517 (4(Trifluoromethyl Magnesium Bromide Benzene Eigenschaften und daten der substanz bzw. A grignard reagent has a formula \(\ce{rmgx}\) where \(\ce{x}\) is a halogen, and \(\ce{r}\) is an alkyl or aryl (based on a benzene ring) group. You will work in a small group to carry out variations of the grignard reaction with phenyl magnesium. Also, we can say, c 6 h 5 mgbr. Experiment 7. Magnesium Bromide Benzene.
From www.numerade.com
What is the difference between (a) a bromine atom, (b) a bromine Magnesium Bromide Benzene Phenylmagnesium bromide solution 1.0 m in thf; Also, we can say, c 6 h 5 mgbr. A grignard reagent has a formula \(\ce{rmgx}\) where \(\ce{x}\) is a halogen, and \(\ce{r}\) is an alkyl or aryl (based on a benzene ring) group. Phenylmagnesium bromide (c 6 h 5 mgbr) reacts with water and produce benzene (c 6 h 6) as the. Magnesium Bromide Benzene.
From www.doubtnut.com
When phenyl magnesium bromide reacts with tbutanol, the product would Magnesium Bromide Benzene Eigenschaften und daten der substanz bzw. Phenylmagnesium bromide solution 1.0 m in thf; Experiment 7 is a group experiment. Also, we can say, c 6 h 5 mgbr. You will work in a small group to carry out variations of the grignard reaction with phenyl magnesium. Phenylmagnesium bromide (c 6 h 5 mgbr) reacts with water and produce benzene (c. Magnesium Bromide Benzene.