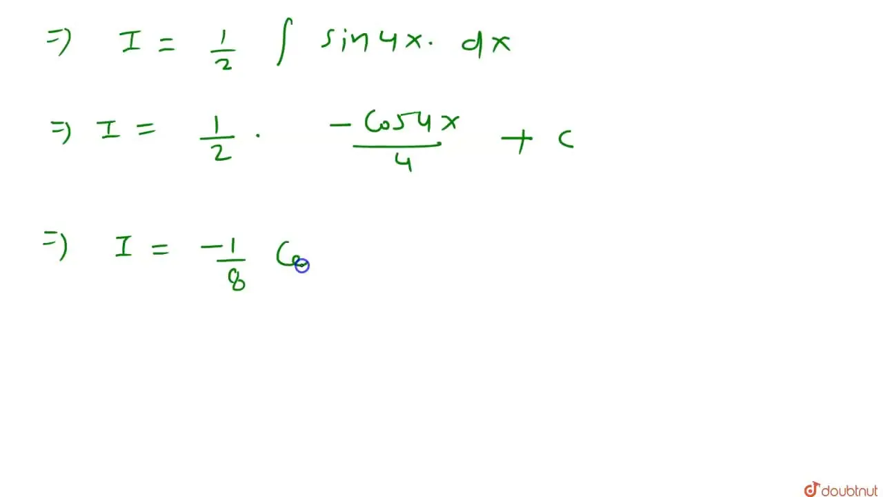
If Int Cos4X 1 Cot X Tan X Dx A Cos4X B Then . I = ∫ cos(4x)+1 cotx−tanx dx. Where a & b are constants, then if ∫ cos 4 x + 1 cot x − tan x d x = a cos 4 x + b; if ∫ cos 4 x + 1 cot x − tan x d x = a cos 4 x + b; = ∫ 2cos22x cosx sinx − sinx cosx dx. if ∫ cot x − tan x cos 4 x + 1 d x = a cos 4 x + b; Where a & b are constants, then ← prev question next question →. — the correct answer is: — best answer. The correct option is d −1 8cos4x. Where a & b are constants, then Integrate the function with respect to x. Our math solver supports basic math, pre. To solve the integral ∫ cos4x+1 cotx−tanx dx and express it in the form kcos4x+c, we.
from www.doubtnut.com
= ∫ 2cos22x cosx sinx − sinx cosx dx. Our math solver supports basic math, pre. Where a & b are constants, then if ∫ cot x − tan x cos 4 x + 1 d x = a cos 4 x + b; — the correct answer is: Integrate the function with respect to x. if ∫ cos 4 x + 1 cot x − tan x d x = a cos 4 x + b; I = ∫ cos(4x)+1 cotx−tanx dx. ← prev question next question →. The correct option is d −1 8cos4x.
[Gujrati] If Integration using rigonometric identities int (cos 4x
If Int Cos4X 1 Cot X Tan X Dx A Cos4X B Then Where a & b are constants, then The correct option is d −1 8cos4x. I = ∫ cos(4x)+1 cotx−tanx dx. Integrate the function with respect to x. if ∫ cos 4 x + 1 cot x − tan x d x = a cos 4 x + b; Where a & b are constants, then Where a & b are constants, then Where a & b are constants, then To solve the integral ∫ cos4x+1 cotx−tanx dx and express it in the form kcos4x+c, we. — best answer. Our math solver supports basic math, pre. if ∫ cos 4 x + 1 cot x − tan x d x = a cos 4 x + b; — the correct answer is: ← prev question next question →. if ∫ cot x − tan x cos 4 x + 1 d x = a cos 4 x + b; = ∫ 2cos22x cosx sinx − sinx cosx dx.
From www.youtube.com
Integration 1+cos4x/cotxtanx dx= YouTube If Int Cos4X 1 Cot X Tan X Dx A Cos4X B Then Where a & b are constants, then if ∫ cos 4 x + 1 cot x − tan x d x = a cos 4 x + b; Our math solver supports basic math, pre. = ∫ 2cos22x cosx sinx − sinx cosx dx. Where a & b are constants, then Where a & b are constants, then I. If Int Cos4X 1 Cot X Tan X Dx A Cos4X B Then.
From www.doubtnut.com
If int(1+cos4x)/(cotxtanx)dx=A.cos 4x+B, then If Int Cos4X 1 Cot X Tan X Dx A Cos4X B Then if ∫ cos 4 x + 1 cot x − tan x d x = a cos 4 x + b; Integrate the function with respect to x. = ∫ 2cos22x cosx sinx − sinx cosx dx. The correct option is d −1 8cos4x. — the correct answer is: Where a & b are constants, then Our math. If Int Cos4X 1 Cot X Tan X Dx A Cos4X B Then.
From www.youtube.com
∫(cos4x1/cotx tanx)dx, INTEGRATION OF (COS4X1/ COTXTAN X) YouTube If Int Cos4X 1 Cot X Tan X Dx A Cos4X B Then — the correct answer is: Where a & b are constants, then Our math solver supports basic math, pre. Integrate the function with respect to x. Where a & b are constants, then = ∫ 2cos22x cosx sinx − sinx cosx dx. — best answer. ← prev question next question →. if ∫ cot x − tan. If Int Cos4X 1 Cot X Tan X Dx A Cos4X B Then.
From www.doubtnut.com
[Bengali] If int (cos 4x+1)/(cot x tan x ) dx = A f(x) + B , then If Int Cos4X 1 Cot X Tan X Dx A Cos4X B Then I = ∫ cos(4x)+1 cotx−tanx dx. The correct option is d −1 8cos4x. if ∫ cos 4 x + 1 cot x − tan x d x = a cos 4 x + b; if ∫ cot x − tan x cos 4 x + 1 d x = a cos 4 x + b; ← prev question. If Int Cos4X 1 Cot X Tan X Dx A Cos4X B Then.
From www.youtube.com
If `int(cos 4x+1)/(cotxtanx)dx=a cos 4x+c,` then `a=` YouTube If Int Cos4X 1 Cot X Tan X Dx A Cos4X B Then if ∫ cot x − tan x cos 4 x + 1 d x = a cos 4 x + b; Where a & b are constants, then I = ∫ cos(4x)+1 cotx−tanx dx. — the correct answer is: = ∫ 2cos22x cosx sinx − sinx cosx dx. Our math solver supports basic math, pre. To solve the. If Int Cos4X 1 Cot X Tan X Dx A Cos4X B Then.
From www.teachoo.com
Example 39 Evaluate integral [root cot x + root tan x] dx If Int Cos4X 1 Cot X Tan X Dx A Cos4X B Then if ∫ cot x − tan x cos 4 x + 1 d x = a cos 4 x + b; Our math solver supports basic math, pre. if ∫ cos 4 x + 1 cot x − tan x d x = a cos 4 x + b; The correct option is d −1 8cos4x. Where a. If Int Cos4X 1 Cot X Tan X Dx A Cos4X B Then.
From www.doubtnut.com
int(1+cos4x)/(cotxtanx)\ dx If Int Cos4X 1 Cot X Tan X Dx A Cos4X B Then if ∫ cot x − tan x cos 4 x + 1 d x = a cos 4 x + b; To solve the integral ∫ cos4x+1 cotx−tanx dx and express it in the form kcos4x+c, we. — the correct answer is: if ∫ cos 4 x + 1 cot x − tan x d x =. If Int Cos4X 1 Cot X Tan X Dx A Cos4X B Then.
From exoeysdzp.blob.core.windows.net
If Int(Cos4X+1)/(Cot XTan X)Dx=A Cos4X+B Then at John Netto blog If Int Cos4X 1 Cot X Tan X Dx A Cos4X B Then Our math solver supports basic math, pre. ← prev question next question →. To solve the integral ∫ cos4x+1 cotx−tanx dx and express it in the form kcos4x+c, we. I = ∫ cos(4x)+1 cotx−tanx dx. — best answer. Integrate the function with respect to x. if ∫ cos 4 x + 1 cot x − tan x d. If Int Cos4X 1 Cot X Tan X Dx A Cos4X B Then.
From www.doubtnut.com
int(cos 4x1)/(cot xtanx)dx is equal to If Int Cos4X 1 Cot X Tan X Dx A Cos4X B Then To solve the integral ∫ cos4x+1 cotx−tanx dx and express it in the form kcos4x+c, we. = ∫ 2cos22x cosx sinx − sinx cosx dx. — best answer. Where a & b are constants, then Our math solver supports basic math, pre. — the correct answer is: if ∫ cos 4 x + 1 cot x −. If Int Cos4X 1 Cot X Tan X Dx A Cos4X B Then.
From www.doubtnut.com
int(1+cos4x)/(cotxtanx)dx If Int Cos4X 1 Cot X Tan X Dx A Cos4X B Then = ∫ 2cos22x cosx sinx − sinx cosx dx. Where a & b are constants, then To solve the integral ∫ cos4x+1 cotx−tanx dx and express it in the form kcos4x+c, we. if ∫ cos 4 x + 1 cot x − tan x d x = a cos 4 x + b; — the correct answer is:. If Int Cos4X 1 Cot X Tan X Dx A Cos4X B Then.
From www.doubtnut.com
Evaluate int(1+cos4x)/(cotxtanx)\ dx If Int Cos4X 1 Cot X Tan X Dx A Cos4X B Then = ∫ 2cos22x cosx sinx − sinx cosx dx. ← prev question next question →. — best answer. if ∫ cos 4 x + 1 cot x − tan x d x = a cos 4 x + b; — the correct answer is: Where a & b are constants, then Integrate the function with respect to. If Int Cos4X 1 Cot X Tan X Dx A Cos4X B Then.
From www.doubtnut.com
[Telugu] int (1+cos4x)/(cotxtanx)dx= If Int Cos4X 1 Cot X Tan X Dx A Cos4X B Then if ∫ cos 4 x + 1 cot x − tan x d x = a cos 4 x + b; — the correct answer is: Where a & b are constants, then if ∫ cos 4 x + 1 cot x − tan x d x = a cos 4 x + b; I = ∫. If Int Cos4X 1 Cot X Tan X Dx A Cos4X B Then.
From exoeysdzp.blob.core.windows.net
If Int(Cos4X+1)/(Cot XTan X)Dx=A Cos4X+B Then at John Netto blog If Int Cos4X 1 Cot X Tan X Dx A Cos4X B Then Where a & b are constants, then Where a & b are constants, then To solve the integral ∫ cos4x+1 cotx−tanx dx and express it in the form kcos4x+c, we. — best answer. Our math solver supports basic math, pre. if ∫ cos 4 x + 1 cot x − tan x d x = a cos 4. If Int Cos4X 1 Cot X Tan X Dx A Cos4X B Then.
From exoeysdzp.blob.core.windows.net
If Int(Cos4X+1)/(Cot XTan X)Dx=A Cos4X+B Then at John Netto blog If Int Cos4X 1 Cot X Tan X Dx A Cos4X B Then = ∫ 2cos22x cosx sinx − sinx cosx dx. Our math solver supports basic math, pre. Where a & b are constants, then — best answer. if ∫ cot x − tan x cos 4 x + 1 d x = a cos 4 x + b; Where a & b are constants, then I = ∫ cos(4x)+1. If Int Cos4X 1 Cot X Tan X Dx A Cos4X B Then.
From www.youtube.com
If `int(1+cos4x)/(cotxtanx)dx=A.cos 4x+B`, then YouTube If Int Cos4X 1 Cot X Tan X Dx A Cos4X B Then Where a & b are constants, then = ∫ 2cos22x cosx sinx − sinx cosx dx. if ∫ cos 4 x + 1 cot x − tan x d x = a cos 4 x + b; — best answer. The correct option is d −1 8cos4x. Where a & b are constants, then I = ∫ cos(4x)+1. If Int Cos4X 1 Cot X Tan X Dx A Cos4X B Then.
From flectone.ru
Cos 4 x формула If Int Cos4X 1 Cot X Tan X Dx A Cos4X B Then if ∫ cos 4 x + 1 cot x − tan x d x = a cos 4 x + b; The correct option is d −1 8cos4x. Where a & b are constants, then — best answer. Where a & b are constants, then = ∫ 2cos22x cosx sinx − sinx cosx dx. — the correct. If Int Cos4X 1 Cot X Tan X Dx A Cos4X B Then.
From dxowyyear.blob.core.windows.net
What Is Cot X Equivalent To at Michael Hill blog If Int Cos4X 1 Cot X Tan X Dx A Cos4X B Then if ∫ cot x − tan x cos 4 x + 1 d x = a cos 4 x + b; I = ∫ cos(4x)+1 cotx−tanx dx. To solve the integral ∫ cos4x+1 cotx−tanx dx and express it in the form kcos4x+c, we. Our math solver supports basic math, pre. Where a & b are constants, then if. If Int Cos4X 1 Cot X Tan X Dx A Cos4X B Then.
From www.chegg.com
Solved If ∫cos4x+1cotxtanxdx=Af(x)+B, If Int Cos4X 1 Cot X Tan X Dx A Cos4X B Then Where a & b are constants, then Our math solver supports basic math, pre. = ∫ 2cos22x cosx sinx − sinx cosx dx. To solve the integral ∫ cos4x+1 cotx−tanx dx and express it in the form kcos4x+c, we. — best answer. if ∫ cos 4 x + 1 cot x − tan x d x = a. If Int Cos4X 1 Cot X Tan X Dx A Cos4X B Then.
From www.doubtnut.com
int(cos4x1)/(cotxtanx)dx is equal to If Int Cos4X 1 Cot X Tan X Dx A Cos4X B Then Our math solver supports basic math, pre. Integrate the function with respect to x. I = ∫ cos(4x)+1 cotx−tanx dx. Where a & b are constants, then To solve the integral ∫ cos4x+1 cotx−tanx dx and express it in the form kcos4x+c, we. if ∫ cos 4 x + 1 cot x − tan x d x = a. If Int Cos4X 1 Cot X Tan X Dx A Cos4X B Then.
From www.doubtnut.com
[Gujrati] If Integration using rigonometric identities int (cos 4x If Int Cos4X 1 Cot X Tan X Dx A Cos4X B Then I = ∫ cos(4x)+1 cotx−tanx dx. Where a & b are constants, then Our math solver supports basic math, pre. Where a & b are constants, then if ∫ cot x − tan x cos 4 x + 1 d x = a cos 4 x + b; — best answer. if ∫ cos 4 x +. If Int Cos4X 1 Cot X Tan X Dx A Cos4X B Then.
From www.doubtnut.com
int(cos 4x1)/(cot xtanx)dx is equal to If Int Cos4X 1 Cot X Tan X Dx A Cos4X B Then Our math solver supports basic math, pre. = ∫ 2cos22x cosx sinx − sinx cosx dx. Where a & b are constants, then if ∫ cot x − tan x cos 4 x + 1 d x = a cos 4 x + b; To solve the integral ∫ cos4x+1 cotx−tanx dx and express it in the form kcos4x+c,. If Int Cos4X 1 Cot X Tan X Dx A Cos4X B Then.
From www.doubtnut.com
If int (cos4x+1)/(cot x tanx)=Kcos4x+C, then If Int Cos4X 1 Cot X Tan X Dx A Cos4X B Then Integrate the function with respect to x. — best answer. ← prev question next question →. — the correct answer is: = ∫ 2cos22x cosx sinx − sinx cosx dx. To solve the integral ∫ cos4x+1 cotx−tanx dx and express it in the form kcos4x+c, we. Our math solver supports basic math, pre. Where a & b are. If Int Cos4X 1 Cot X Tan X Dx A Cos4X B Then.
From www.toppr.com
int cos4x + 1/cotx tanxdx = Maths Questions If Int Cos4X 1 Cot X Tan X Dx A Cos4X B Then — the correct answer is: if ∫ cot x − tan x cos 4 x + 1 d x = a cos 4 x + b; To solve the integral ∫ cos4x+1 cotx−tanx dx and express it in the form kcos4x+c, we. Integrate the function with respect to x. Where a & b are constants, then if. If Int Cos4X 1 Cot X Tan X Dx A Cos4X B Then.
From www.doubtnut.com
यदि int (cos 4x + 1)/(cot x tan x) dx = k cos 4x + c तब If Int Cos4X 1 Cot X Tan X Dx A Cos4X B Then The correct option is d −1 8cos4x. = ∫ 2cos22x cosx sinx − sinx cosx dx. if ∫ cot x − tan x cos 4 x + 1 d x = a cos 4 x + b; — best answer. Where a & b are constants, then — the correct answer is: ← prev question next question. If Int Cos4X 1 Cot X Tan X Dx A Cos4X B Then.
From www.teachoo.com
Example 3 (ii) Find the integral ∫ cosec x (cosec x + cot x) dx If Int Cos4X 1 Cot X Tan X Dx A Cos4X B Then Where a & b are constants, then The correct option is d −1 8cos4x. Where a & b are constants, then — best answer. I = ∫ cos(4x)+1 cotx−tanx dx. if ∫ cos 4 x + 1 cot x − tan x d x = a cos 4 x + b; if ∫ cos 4 x +. If Int Cos4X 1 Cot X Tan X Dx A Cos4X B Then.
From exoeysdzp.blob.core.windows.net
If Int(Cos4X+1)/(Cot XTan X)Dx=A Cos4X+B Then at John Netto blog If Int Cos4X 1 Cot X Tan X Dx A Cos4X B Then Our math solver supports basic math, pre. I = ∫ cos(4x)+1 cotx−tanx dx. Where a & b are constants, then Integrate the function with respect to x. if ∫ cos 4 x + 1 cot x − tan x d x = a cos 4 x + b; Where a & b are constants, then = ∫ 2cos22x cosx. If Int Cos4X 1 Cot X Tan X Dx A Cos4X B Then.
From www.doubtnut.com
यदि int (cos 4x+1)/(cotxtanx) dx=A cos 4x +B, तब If Int Cos4X 1 Cot X Tan X Dx A Cos4X B Then Our math solver supports basic math, pre. if ∫ cot x − tan x cos 4 x + 1 d x = a cos 4 x + b; Where a & b are constants, then The correct option is d −1 8cos4x. Integrate the function with respect to x. Where a & b are constants, then — best. If Int Cos4X 1 Cot X Tan X Dx A Cos4X B Then.
From www.toppr.com
If int cos4x+1cotxtanx dx = Acos4x + B , then If Int Cos4X 1 Cot X Tan X Dx A Cos4X B Then if ∫ cos 4 x + 1 cot x − tan x d x = a cos 4 x + b; = ∫ 2cos22x cosx sinx − sinx cosx dx. Where a & b are constants, then ← prev question next question →. if ∫ cot x − tan x cos 4 x + 1 d x =. If Int Cos4X 1 Cot X Tan X Dx A Cos4X B Then.
From dxowyyear.blob.core.windows.net
What Is Cot X Equivalent To at Michael Hill blog If Int Cos4X 1 Cot X Tan X Dx A Cos4X B Then Where a & b are constants, then To solve the integral ∫ cos4x+1 cotx−tanx dx and express it in the form kcos4x+c, we. — best answer. if ∫ cot x − tan x cos 4 x + 1 d x = a cos 4 x + b; Our math solver supports basic math, pre. The correct option is. If Int Cos4X 1 Cot X Tan X Dx A Cos4X B Then.
From www.toppr.com
If int cos4x + 1cotx tanxdx = Acos 4x + B ; where A & B are constants If Int Cos4X 1 Cot X Tan X Dx A Cos4X B Then — the correct answer is: Integrate the function with respect to x. The correct option is d −1 8cos4x. Our math solver supports basic math, pre. — best answer. To solve the integral ∫ cos4x+1 cotx−tanx dx and express it in the form kcos4x+c, we. = ∫ 2cos22x cosx sinx − sinx cosx dx. Where a & b. If Int Cos4X 1 Cot X Tan X Dx A Cos4X B Then.
From www.doubtnut.com
int ( cos 4x + 1 )/( cot x tan x ) dx का मान ज्ञात कीजिए If Int Cos4X 1 Cot X Tan X Dx A Cos4X B Then — the correct answer is: Our math solver supports basic math, pre. To solve the integral ∫ cos4x+1 cotx−tanx dx and express it in the form kcos4x+c, we. Where a & b are constants, then if ∫ cos 4 x + 1 cot x − tan x d x = a cos 4 x + b; ← prev. If Int Cos4X 1 Cot X Tan X Dx A Cos4X B Then.
From www.doubtnut.com
[Bengali] If int (cos 4x + 1)/(cot x tan x) dx = A cos 4x + B, then If Int Cos4X 1 Cot X Tan X Dx A Cos4X B Then The correct option is d −1 8cos4x. ← prev question next question →. if ∫ cot x − tan x cos 4 x + 1 d x = a cos 4 x + b; Integrate the function with respect to x. Our math solver supports basic math, pre. = ∫ 2cos22x cosx sinx − sinx cosx dx. Where a. If Int Cos4X 1 Cot X Tan X Dx A Cos4X B Then.
From www.toppr.com
int1 + cos 4x/cot x tan xdx If Int Cos4X 1 Cot X Tan X Dx A Cos4X B Then = ∫ 2cos22x cosx sinx − sinx cosx dx. Our math solver supports basic math, pre. Integrate the function with respect to x. if ∫ cos 4 x + 1 cot x − tan x d x = a cos 4 x + b; if ∫ cot x − tan x cos 4 x + 1 d x. If Int Cos4X 1 Cot X Tan X Dx A Cos4X B Then.
From www.doubtnut.com
int (1+cos4x)/(cotxtanx)dx का मान ज्ञात कीजिए If Int Cos4X 1 Cot X Tan X Dx A Cos4X B Then Integrate the function with respect to x. — best answer. — the correct answer is: if ∫ cos 4 x + 1 cot x − tan x d x = a cos 4 x + b; Our math solver supports basic math, pre. Where a & b are constants, then if ∫ cot x − tan. If Int Cos4X 1 Cot X Tan X Dx A Cos4X B Then.
From exoeysdzp.blob.core.windows.net
If Int(Cos4X+1)/(Cot XTan X)Dx=A Cos4X+B Then at John Netto blog If Int Cos4X 1 Cot X Tan X Dx A Cos4X B Then — the correct answer is: if ∫ cos 4 x + 1 cot x − tan x d x = a cos 4 x + b; Where a & b are constants, then Our math solver supports basic math, pre. Where a & b are constants, then I = ∫ cos(4x)+1 cotx−tanx dx. if ∫ cot x. If Int Cos4X 1 Cot X Tan X Dx A Cos4X B Then.